UPTET Exam  >  UPTET Test  >  UP LT Grade Teacher Mock Test Series 2026  >  UP LT Grade Teacher Mathematics Mock Test - 1 - UPTET MCQ

UP LT Grade Teacher Mathematics Mock Test - 1 Free Online Test 2026


Full Mock Test & Solutions: UP LT Grade Teacher Mathematics Mock Test - 1 (150 Questions)

You can boost your UPTET 2026 exam preparation with this UP LT Grade Teacher Mathematics Mock Test - 1 (available with detailed solutions).. This mock test has been designed with the analysis of important topics, recent trends of the exam, and previous year questions of the last 3-years. All the questions have been designed to mirror the official pattern of UPTET 2026 exam, helping you build speed, accuracy as per the actual exam.

Mock Test Highlights:

  • - Format: Multiple Choice Questions (MCQ)
  • - Duration: 120 minutes
  • - Total Questions: 150
  • - Analysis: Detailed Solutions & Performance Insights
  • - Sections covered: General Studies, Mathematics

Sign up on EduRev for free and get access to these mock tests, get your All India Rank, and identify your weak areas to improve your marks & rank in the actual exam.

UP LT Grade Teacher Mathematics Mock Test - 1 - Question 1

Match List - I with List - II:

Choose the correct answer from the options given below:

Detailed Solution: Question 1

Non-Cooperation Movement (1920) → (II): Launched by Mahatma Gandhi as a mass movement against British rule after the Jallianwala Bagh Massacre. It aimed at boycotting British goods, institutions, and services.
Quit India Movement (1942) → (I): Launched by Mahatma Gandhi with the slogan "Do or Die" to demand an immediate end to British rule in India.
Civil Disobedience Movement (1930) → (III): Started with the Dandi March led by Gandhi to break the salt monopoly of the British.
Partition of Bengal (1905) → (IV): Implemented by Lord Curzon to divide Bengal based on religious lines, leading to widespread protests and the Swadeshi Movement.

UP LT Grade Teacher Mathematics Mock Test - 1 - Question 2

With reference to the religious practices in India, the "Sthanakvasi" sect belongs to(Pre18 Set-D)

[2018]

Detailed Solution: Question 2

Sthanakvasi don't differ much from the other Svetambara Jainas, hence now-a-days they invariably call themselves as Svetambara Sthanakvasi.

UP LT Grade Teacher Mathematics Mock Test - 1 - Question 3

Under which among the following treaties, the British East India Company secured the Diwani right of Bengal, Bihar and Orissa ?

Detailed Solution: Question 3

Treaty of Allahabad ( 16 August 1765), it was the outcome of the Battle of Buxar (1764). Robert Clive (Governor General of Bengal) made a separate treaty with Mughal Emperor Shah Alam II and Nawab of Awadh Shuja-ud-daullah. A/c to this treaty, Mughal Emperor granted Fiscal Rights (Diwani) to the East India Company at Bengal, Bihar and Orissa.

UP LT Grade Teacher Mathematics Mock Test - 1 - Question 4

What is the highest law in a country that sets the framework for its government?

Detailed Solution: Question 4

The Constitution is the highest law in a country, which sets the rules and framework for the government and its functions.

UP LT Grade Teacher Mathematics Mock Test - 1 - Question 5

Bharachukki Falls are in which state of India?

Detailed Solution: Question 5

The Bharachukki Falls is situated at a distance of about 130 km from Bangalore. This waterfall is actually a part of the Shivanasamudram Falls.

UP LT Grade Teacher Mathematics Mock Test - 1 - Question 6

 Which of the following explains the term economic growth?

Detailed Solution: Question 6

There is no single definition that can define the term economic growth. However, there are various indicators that explain the term.
 

UP LT Grade Teacher Mathematics Mock Test - 1 - Question 7

Family plays an important role in socialization of the young generation. In this regard, the family is an agency of:

Detailed Solution: Question 7

The correct answer is primary socialisation 

Explanation:

Socialization is the process through which communities transact or educate their members about the norms and values of society to be socially acceptable. Socialization is a combination of personality development and cultural development.

It is an act which ensures the:

  • transmission of manners and culture.
  • adaptation of social norms and values.
  • internalization of attitudes and customs of society.

All types of socialization may be classified into two broad groups, viz. primary socialization and secondary socialization. This division is based on the primary and secondary needs of individuals.

Important Points

Let's understand in brief the types of Socialization:

Hence, it could be concluded that family plays a primary role in the socialization of the child.

UP LT Grade Teacher Mathematics Mock Test - 1 - Question 8

Which of the following vitamins help in the absorption of calcium?

Detailed Solution: Question 8

Vitamin D is necessary for developing and maintaining strong, healthy bones and absorption.

UP LT Grade Teacher Mathematics Mock Test - 1 - Question 9

What is a key feature of the Sawalkote Hydroelectric Project?

Detailed Solution: Question 9

A key feature of the Sawalkote Hydroelectric Project is its expected capacity of 1,856 Megawatts. This project is aimed at asserting control over water resources in Jammu and Kashmir and is significant for India's energy infrastructure development.

UP LT Grade Teacher Mathematics Mock Test - 1 - Question 10

Evaluate: ∫e5 log x dx

Detailed Solution: Question 10

Concept Used:

1. a logx = log (xa)

2. elog(n) = n

3. ∫xndx = 

Application:

We have,

I = e5 log x

or, I =  = x5

Hence, ∫x5 dx = x6/6 + C

UP LT Grade Teacher Mathematics Mock Test - 1 - Question 11

(G, o) → (G', o') is a Group Homomorphism if 

Detailed Solution: Question 11

Explanations:

Group Homorphisms :

Let (G,o) & (G’,o’) be 2 groups, a mapping “f ” from a group (G,o) to a group (G’,o’) is said to be a homomorphism

if –f(a o b) = f(a) o' f(b) for all a, b ∈ G

∴ option 1 is correct 

UP LT Grade Teacher Mathematics Mock Test - 1 - Question 12

D, E and F finish the puzzle in a competition with the probability of ¾, 4/9 and 2/5 respectively. Find the probability that at least one of them will finish the competition.

Detailed Solution: Question 12

Given:

D, E and F finish the puzzle in a competition with the probability of ¾, 4/9 and 2/5 respectively.

Concepts used:

Probability that at least one of them will finish the competition = 1 - P (No one will finish the competition)

Calculation:

D, E and F finish the puzzle in a competition with the probability of ¾, 4/9 and 2/5 respectively.

⇒ P (No one will finish the competition) = {1 – (3/4)} × {1 – (4/9)} × {1 – (2/5)} = 1/4 × 5/9 × 3/5 = 1/12

Probability that at least one of them will finish the competition = 1 - P (No one finishes the competition)

⇒ Probability that at least one of them finishes the competition = 1 – (1/12) = 11/12

∴ Probability that at least one of them will finish the competition is 11/12.

UP LT Grade Teacher Mathematics Mock Test - 1 - Question 13

The trace of the Matrix is 

Detailed Solution: Question 13

Given:

Concept used:

Trace of the Matrix: Sum of the diagonal Elements of the Matrix.

Calculations:

A=[2432]

The diagonal elements are 2, 2

⇒ Sum of the diagonal elements is 2 + 2 = 4

∴ Trace = 4 

UP LT Grade Teacher Mathematics Mock Test - 1 - Question 14

A vector perpendicular to any vector that lies on the plane defined by x + y + z = 5 , is 

Detailed Solution: Question 14

Let ϕ = x + y + z - 5

⇒ 

⇒ 

UP LT Grade Teacher Mathematics Mock Test - 1 - Question 15

Find the coordinates of the vertices in the hyperbola x249−y236=1

Detailed Solution: Question 15

Concept:

Hyperbola:

>

UP LT Grade Teacher Mathematics Mock Test - 1 - Question 16

In a G.P. sixth term is 32 and eighth term is 128, then find the value of common ratio (r).

Detailed Solution: Question 16

Concept:

In a G.P.,

nth term is calculated by: a= arn-1, where a = first term and r = common ratio.

Application:

In a G.P., If sixth term is 32

⇒ a= ar6-1 = 32

⇒ ar5 = 32......(equation 1)

And the eighth term is 128

⇒ a8 = ar8-1 = 128

⇒ ar7 = 128....(equation 2)

Dividing equation 1 by equation 2, we get,

r2 = 4

⇒ r = 2

UP LT Grade Teacher Mathematics Mock Test - 1 - Question 17

In a group of 60 people, 25 speaks Hindi and 15 speaks both Hindi and English. All the people speak at least one of the two languages. How many people speak English?

Detailed Solution: Question 17

Total people = 60

Hindi speaking people = 25

Both speaking people = 15

Only English speaking people = 60 - 25 = 35

So total English speaking people = 15 + 35 = 50

Below is the Venn diagram and shaded area represents the English speaking people.

Hence, correct answer is '50'.

UP LT Grade Teacher Mathematics Mock Test - 1 - Question 18

For any two real number, an operation defined
by a * b = 1 + ab is–

Detailed Solution: Question 18

Given:

For any two real number, an operation defined
by a * b = 1 + ab

Concept used:

a * b = b * a for all a, b ∈ G (commutative property)

a * (b * c) = (a * b) * c for all a, b, c ∈ G (associative property)

Calculation:

1) Commutive property:

a * b = 1 + ab = 1 + ba = b * a

⇒ commutativity satisfied 

2) Associative property:

(a * b) * c = (1 + ab) * c = 1 + (1 + ab)c = 1 + c + abc

a * (b * c) = a * (1 + bc) = 1 + a(1 + bc) = 1 + a + abc

a * (b * c) ≠ (a * b) * c

⇒ associativity not satisfied

∴ option 3 is correct 

UP LT Grade Teacher Mathematics Mock Test - 1 - Question 19

Find the HCF of 65 x3y4z5, 117 x2y3z3, 156 x6y5z7.

Detailed Solution: Question 19

Given:

65 x3y4z5, 117 x2y3z3, 156 x6y5z7

Calculation:

65 = 13 × 5,

117 = 13 × 9

156 = 13 × 12

So, the HCF of 65, 117, and 156 is 13.

Again,

The HCF of x2, x3, and x6 = x2

The HCF of y3, y4, and y5 = y3

The HCF of z3, z5, and z7 = z3

The HCF of  x3y4z5, x2y3z3, and x6y5z7 = x2y3z3

So, the HCF of 65 x3y4z5, 117 x2y3z3, 156 x6y5z7 is 13x2y3z3

∴ The HCF is 13x2y3z3

UP LT Grade Teacher Mathematics Mock Test - 1 - Question 20

If 17P = 9Q = 7R, then P ∶ Q ∶ R is:

Detailed Solution: Question 20

Given:

17P = 9Q = 7R

Calculation:

LCM (17, 9, 7) = 1071

17P = 9Q = 7R

⇒ 

⇒ 

Now, P ∶ Q ∶ R = 63 : 119 : 153

∴ P ∶ Q ∶ R is 63 : 119 : 153.

UP LT Grade Teacher Mathematics Mock Test - 1 - Question 21

Find the domain of following function, f(x) = .

Detailed Solution: Question 21

Calculation:

The function f(x) is define, if

4 - x2 ≠ 0

22 - x2 ≠ 0

⇒ (2 - x)(2 + x) ≠ 0

⇒ x ≠ 2, -2

⇒ Domain D = R - {-2, 2}

∴ The correct option is (2)

UP LT Grade Teacher Mathematics Mock Test - 1 - Question 22

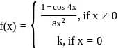
The value of ‘k’ for which the function  continuous at x = 0 is 

Detailed Solution: Question 22


UP LT Grade Teacher Mathematics Mock Test - 1 - Question 23

Find the area of the region (in sq.units) bounded by the curve y2 = 2y - x & y - axis.

Detailed Solution: Question 23

Calculation:

Given, Curves are y2 = 2y - x and y-axis.

⇒ x = 2y - y2 ...(1) and x = 0 ....(2)

From (1) and (2), we get,

2y - y2 = 0

⇒ y(2 - y) = 0

⇒ y = 0 or y = 2

Thus the curve meets the y-axis at (0,0) and (0,2)

So, the required area = 

UP LT Grade Teacher Mathematics Mock Test - 1 - Question 24

Detailed Solution: Question 24

Concept:

If f(x) =  such that, 

,

{ form }

then, by L's hospital Rule,

Calculation:


∴ The correct answer is option (4).

UP LT Grade Teacher Mathematics Mock Test - 1 - Question 25

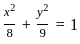
The foci of an ellipse are (±3, 0) and its eccentricity is 1/3, find its equation.

Detailed Solution: Question 25

Concept:

The general equation of the ellipse is:

Here, coordinates of foci are (±ae, 0).

Also, we have b2 = a2(1 - e2), where e is the eccentricity.

Calculation:

Since the coordinates of the foci are (±3, 0).

⇒ ae = 3

⇒ a × (1/3) = 3 (∵ e = 1/3)

⇒ a = 9

Now, b2 = a2(1 - e2)

b2=81(119)

⇒ b2 = 72

On putting the value of a2 and b2 in the general equation of an ellipse, we get

Hence, the equation of the ellipse is .

UP LT Grade Teacher Mathematics Mock Test - 1 - Question 26

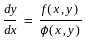
What is the solution of the differential equation (x + y) (dx - dy) = dx + dy?

Detailed Solution: Question 26

Concept:

If the differential equation is in the form  where f(x, y) and ϕ(x, y) are homogeneous functions of the same degree in x and y

To solve this homogeneous equation

(i) Put y = vx, then 

(ii) Separate the variables v and x and integrate

Calculation:

The given differential equation is

(x + y) (dx – dy) = dx + dy

⇒ (x + y) dx – (x + y) dy = dx + dy

⇒ (x + y – 1) dx = (x + y + 1) dt

Let,  

UP LT Grade Teacher Mathematics Mock Test - 1 - Question 27

If x2 + 2pxy - y2 = 0 and x2 - 2qxy - y2 = 0 bisect angles between each other, then

Detailed Solution: Question 27

The equation for the angle bisector for ax2 + 2hxy + by2 = 0 is given by

Given:

x2 + 2pxy - y2 = 0 and x2 - 2qxy - y2 = 0 bisect angles between each other.

Calculation:

The equation of the bisectors of the angles between the lines x2 + 2pxy - y2 = 0

This is same as x2 - 2qxy - y2 = 0. Therefore

Comparing (ii) and (iii), we get

1/p = q

=> pq = 1

=> pq - 1 = 0

∴ option 2 is correct 

UP LT Grade Teacher Mathematics Mock Test - 1 - Question 28

The lines 2x = 3y = -z and 6x = -y = -4z

Detailed Solution: Question 28

Concept:

Any number proportional to direction cosines is called direction ratio.

The angle between two two lines is given by

,

where, (a1, b1, c1) = direction ratios of line 1

and (a2, b2, c2) = direction ratios of line 2


UP LT Grade Teacher Mathematics Mock Test - 1 - Question 29

10 girls are jumping rope. 10 more girls join them. Now, how many girls are jumping rope

Detailed Solution: Question 29

10 + 10 = 20

UP LT Grade Teacher Mathematics Mock Test - 1 - Question 30

At Primary stage, which method for teaching of writing is useful?

Detailed Solution: Question 30

Various methods including the French method, Kindergarten method, and Play way method can be useful for teaching writing at the primary stage.

View more questions
5 tests
Information about UP LT Grade Teacher Mathematics Mock Test - 1 Page
In this test you can find the Exam questions for UP LT Grade Teacher Mathematics Mock Test - 1 solved & explained in the simplest way possible. Besides giving Questions and answers for UP LT Grade Teacher Mathematics Mock Test - 1, EduRev gives you an ample number of Online tests for practice
Download as PDF