You can boost your UPTET 2026 exam preparation with this UP LT Grade Teacher Mathematics Mock Test - 2 (available with detailed solutions).. This mock test has been designed with the analysis of important topics, recent trends of the exam, and previous year questions of the last 3-years. All the questions have been designed to mirror the official pattern of UPTET 2026 exam, helping you build speed, accuracy as per the actual exam.
Mock Test Highlights:
Sign up on EduRev for free and get access to these mock tests, get your All India Rank, and identify your weak areas to improve your marks & rank in the actual exam.
Match List - I with List - II.

Choose the correct answer from the options given below:
Detailed Solution: Question 1
Which one of the following is a dedicated web portal launched by the Union Human Resource Development Minister Prakash Javadekar, for the Sarva Shiksha Abhiyan (SSA) on 18th January 2017?
Detailed Solution: Question 2
Detailed Solution: Question 3
Which of the following is a radioactive element?
Detailed Solution: Question 4
Detailed Solution: Question 5
Detailed Solution: Question 6
Detailed Solution: Question 7
Members of Parliament Local Area Development Scheme (MPLADS) scheme is suspended for two years to boost the funding available for the COVID-19 fight. Before this, MPLADS funds were utilized for which of the following?
Purchase of Ambulances for sick/injured animals in Wildlife Sanctuaries and National Parks.
Purchase of books for schools, colleges, and public libraries belonging to Central, States, UTs, and Local Self-Government.
Helping poor families with the marriage of their first daughter
Detailed Solution: Question 8
What does the International Monetary Fund (IMF) predict for global economic growth in 2025?
Detailed Solution: Question 9
What is a significant concern raised by the Supreme Court regarding the Special Intensive Revision (SIR) of electoral rolls in Bihar?
Detailed Solution: Question 10
Detailed Solution: Question 11
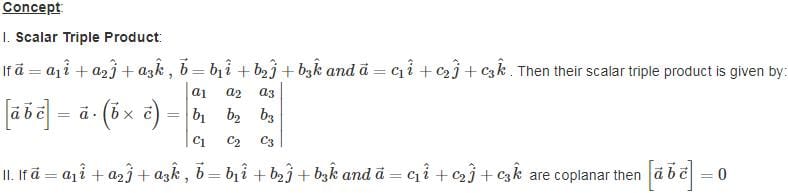
A particle is projected with a velocity v so that its horizontal range twice the greatest height attained. The horizontal range is
Detailed Solution: Question 12
In a triangle ABC, if the three sides are a = 5, b = 7 and c = 3, what is angle B?
Detailed Solution: Question 13
Detailed Solution: Question 14
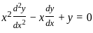
If y = sin (ln x), then which one of the following is correct?
Detailed Solution: Question 15
Detailed Solution: Question 16
The following simultaneous equations:
x + y + z = 3
x + 2y + 3z = 4
x + 4y + kz = 6
Will not have a unique solution for k equal to
Detailed Solution: Question 17
Detailed Solution: Question 18
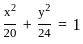
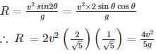
What is the equation of the ellipse having foci (±2, 0) and the eccentricity 14?
Detailed Solution: Question 19
Detailed Solution: Question 20
The function f(x)=ax+bx;a,b,x>0 takes on the least value at x equal to
Detailed Solution: Question 21
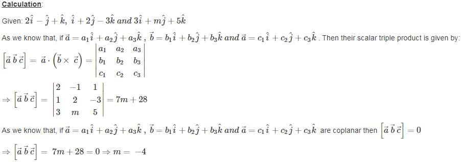
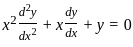
What is the value of m, if the vectors 2i^−j^+k^,i^+2j^−3k^and3i^+mj^+5k^ are coplanar?
Detailed Solution: Question 22
For the given figure, ABCD is a cyclic quadrilateral with AB as the diameter of the circle. If ∠ADC = 2∠CBA, then find the value of ∠CAB.
Detailed Solution: Question 23
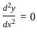
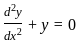
If
, then the solution of the equation is
Detailed Solution: Question 24
Detailed Solution: Question 25
Detailed Solution: Question 26
Detailed Solution: Question 27
A taxi-driver, filled his car petrol tank with 40 litres of petrol on Monday. The next day, he filled the tank with 50 litres of petrol. If the petrol costs Rs.44 per litre, how much did he spend in all on petrol?
Detailed Solution: Question 28
A total of 576 buttons and pins were shared equally among; some children. Each child received 4 buttons and 5 pins. How many children and buttons were there respectively?
Detailed Solution: Question 29
Detailed Solution: Question 30