UPTET Exam  >  UPTET Test  >  UP LT Grade Teacher Mock Test Series 2026  >  UP LT Grade Teacher Mathematics Mock Test - 3 - UPTET MCQ

UP LT Grade Teacher Mathematics Mock Test - 3 Free Online Test 2026


Full Mock Test & Solutions: UP LT Grade Teacher Mathematics Mock Test - 3 (150 Questions)

You can boost your UPTET 2026 exam preparation with this UP LT Grade Teacher Mathematics Mock Test - 3 (available with detailed solutions).. This mock test has been designed with the analysis of important topics, recent trends of the exam, and previous year questions of the last 3-years. All the questions have been designed to mirror the official pattern of UPTET 2026 exam, helping you build speed, accuracy as per the actual exam.

Mock Test Highlights:

  • - Format: Multiple Choice Questions (MCQ)
  • - Duration: 120 minutes
  • - Total Questions: 150
  • - Analysis: Detailed Solutions & Performance Insights
  • - Sections covered: General Studies, Mathematics

Sign up on EduRev for free and get access to these mock tests, get your All India Rank, and identify your weak areas to improve your marks & rank in the actual exam.

UP LT Grade Teacher Mathematics Mock Test - 3 - Question 1

Gandhi—Irvine was compromised —

Detailed Solution: Question 1

The Gandhi-Irwin Pact, also known as the Delhi Pact, was signed on 5th March 1931 between Mahatma Gandhi and Lord Irwin, who was the Viceroy of India at that time. The pact was a compromise reached during the Civil Disobedience Movement, allowing for the release of political prisoners and permitting Indians to participate in the Second Round Table Conference in London to discuss constitutional reforms.

UP LT Grade Teacher Mathematics Mock Test - 3 - Question 2

By which among the following acts, the East India Company lost its monopoly of trade with China?

Detailed Solution: Question 2

Charter Act 1833 or the Saint Helena Act 1833  was passed by the British Parliament to renew the charter of East India Company which was last renewed in 1813. Via this act, the charter was renewed for 20 years but the East India Company was deprived of its commercial privileges which it enjoyed so far.

UP LT Grade Teacher Mathematics Mock Test - 3 - Question 3

Under which of the following Acts is the National Population Register being created? 

Detailed Solution: Question 3

It is compulsory for every citizen of the country to register in a National Register of Indian Citizens (NRIC) as per Section 14A of the Citizenship Act 1955 as amended in 2004. It is a Register of usual residents of the country.The objective of NPR is to create a comprehensive identity database of every usual resident in the country.

UP LT Grade Teacher Mathematics Mock Test - 3 - Question 4

What is the significance of the Tropic of Cancer in relation to India?

Detailed Solution: Question 4

Correct option is A. It divides India into northern and southern parts
The Tropic of Cancer passes through the central part of India, approximately dividing the country into two halves, namely the northern and southern halves. This line of latitude is significant for India's geography and climate, as it marks the northern boundary of the tropical region and influences various climatic phenomena such as the monsoon. However, it does not act as the standard Time Meridian of India, nor is it the southernmost point of the Indian mainland, nor does it serve as the northern boundary of India.

UP LT Grade Teacher Mathematics Mock Test - 3 - Question 5

Which river is the longest in India?

Detailed Solution: Question 5

The Ganges River, originating from Gangotri Glacier, is the longest river in India, measuring around 2525 km in length.

UP LT Grade Teacher Mathematics Mock Test - 3 - Question 6

Large source of water is _______.

UP LT Grade Teacher Mathematics Mock Test - 3 - Question 7

The antiparticle of an electron is -

Detailed Solution: Question 7

Every type of particle has a corresponding antiparticle, for example; the positron is the antiparticle of the electron. the antiproton is the antiparticle of the proton. the antineutron is the antiparticle of the neutron. the antineutrino is the antiparticle of the neutrino.

UP LT Grade Teacher Mathematics Mock Test - 3 - Question 8

Match the following:

Detailed Solution: Question 8

Concept

  • Pollution is any undesirable change in physical, chemical, or biological characteristics of air, land, water, or soil.
  • Agents that bring about such an undesirable change are called pollutants.
  • Pollution can be broadly classified into 4 types Air pollution, Water pollution, Noise pollution & Soil pollution.

Explanation

  • In order to control environmental pollution, the Government of India has passed the Environment (Protection) Act, 1986 to protect and improve the quality of our environment (air, water, and soil).
  • In India, the Air (Prevention and Control of Pollution) Act came into force in 1981 but was amended in 1987 to include noise as an air pollutant.
  • Realizing the importance of maintaining the cleanliness of the water bodies, the Government of India has passed the Water (Prevention and Control of Pollution) Act, 1974 to safeguard our water resources.

UP LT Grade Teacher Mathematics Mock Test - 3 - Question 9

Which sector is likely to be most affected by the U.S. tariffs imposed on Indian imports?

Detailed Solution: Question 9

The Textiles and Apparel sector is likely to be most affected by the U.S. tariffs. This sector operates on thin margins, making it particularly vulnerable to price increases resulting from tariffs. The impact could lead to higher costs for consumers and reduced competitiveness in the U.S. market.

UP LT Grade Teacher Mathematics Mock Test - 3 - Question 10

Compute the angle between the two vectors 2i + 4j - k and 4i - j + k.

Detailed Solution: Question 10

CONCEPT:

  • If the two vectors are assumed as a̅  and b̅  then the dot created is articulated as a̅. b̅.
  • The angle between the two vectors is θ.

  • We know that the dot product of two product is given as:

  • Thus, the angle between two vectors formula is given by:

Where θ is the angle between a̅ and b̅.

CALCULATION:

Given

a̅ = 2i + 4j - k and b̅ = 4i -j + k.

The dot product is defined as:

a̅ ⋅ b̅ = (2i + 4j - k) ⋅ (4i -j + k) = (2) (4) + (4)(-1) + (-1)(1) = 8 - 4 -1 = 3

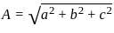
The magnitude of vectors is given by:

UP LT Grade Teacher Mathematics Mock Test - 3 - Question 11

The equation of a right circular cone whose vertex is origin, axis z - axis and semivertical angle α is 

Detailed Solution: Question 11

Given:

Equation of right circular cone whose vertex is origin, axis Z - axis and semi - vertical Angle α is

Calculations:

Let us assume the right circular cone with base radius R and height H, centered at the origin and its axis is along the axis, and axes pass through the base.

In this scenario, we can express it as a series of circles or disks placed one on top of the other, uniformly decreasing in the radius from bottom to top.

So the circle's radius at a height h from the top will be , where Unexpected text node: 'θ' is the semi-vertical angle.

The equation of such a circle will be x2 + y2 = r2

The equation of such a circle will be x2 + y2 = z2 tan2(θ)

: a particular case for equation of cone which is x2 + y2 = z2 tan2 α

UP LT Grade Teacher Mathematics Mock Test - 3 - Question 12

The maximum value of (logx)x is

Detailed Solution: Question 12

Concept:

Differentiation formula

Quotient rule:

Calculation:

f(x) = 

⇒ f'(x) = 

⇒ f′(x) = 0 at x = e

⇒ f′(x) > 0 when x < e

⇒ f′(x) < 0 when x > e

So, f(x) is maxima at x = e

⇒  f(e) = 

∴ The maximum value of  is 

UP LT Grade Teacher Mathematics Mock Test - 3 - Question 13

What is ∫ex{1 + ln x + x ln x}dx equal to ?

Detailed Solution: Question 13

Concept:

Integral of the product of two functions

Calculation:

Given, I = ∫ex{1 + ln x + x ln x}dx

⇒ I = ∫edx + ∫ ex ln x dx + ∫ ex ln x dx

⇒ I = ex + ∫ ex ln x dx + ∫ ex ln x dx

Computing the last integral ∫ ex ln x dx by taking f(x) = x ln x and g(x) = ex

⇒ I = ex + ∫ ex ln x dx + [x ln x ∫ edx - ∫(x ln x)' ∫ edx dx]

⇒ I = ex + ∫ ex ln x dx + x ln x ex - ∫(1 + ln x)edx

⇒ I = ex + ∫ ex ln x dx + x ln x ex - ∫edx - ∫eln x dx

⇒ I = ex + x ln x ex - e

⇒ I = x ln x ex + c

∴ The correct option is (1).

UP LT Grade Teacher Mathematics Mock Test - 3 - Question 14

From mean value theorem f (b) - f (a) = (b - a) f' (x1) ; a < b if f (x) =  then x1 =

Detailed Solution: Question 14

Concept:

Mean value theorem for integrals:

Let f be continuous on [a, b]. Then there is a point x1 in (a, b) such that,

f' (x1) = [f (b) - f (a)]/(b - a) 

Calculation:

Givenf (x) = 1x

UP LT Grade Teacher Mathematics Mock Test - 3 - Question 15

If θ is the angle between any two vectors  and , then  then θ is equal to

Detailed Solution: Question 15

Given:

If θ is the angle between any two vectors  and 

Formula Used:

|a→×b→|=|a→||b→|sinθ

Calculation:

UP LT Grade Teacher Mathematics Mock Test - 3 - Question 16

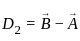
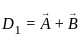
If 2î + 4ĵ - 5k̂ and î + 2ĵ + 3k̂ are two different sides of rhombus. Find the length of diagonals.

Detailed Solution: Question 16

Concept:

If aî + bĵ + ck̂ and pî + qĵ + rk̂ are 2 different sides of the rhombus.

Suppose  and B = 

Then anyone diagonal of the rhombus is given by 

The other diagonal is given by 

The magnitude of the vector  

Calculation:


UP LT Grade Teacher Mathematics Mock Test - 3 - Question 17

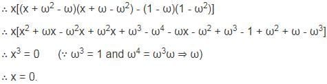
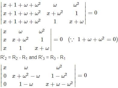
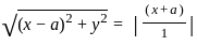
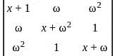
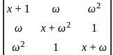
If ω is a cube root of unity, then a root of the equation is  = 0

 

Detailed Solution: Question 17

Concept:

If ω is the cube root of unity, i.e. ω3 = 1.

then 1 + ω + ω2 = 0.

ω4 = ω3ω = ω [∵ ω3 =1]

Calculation:

Given:

= 0

C'1 = C1 + C2


Expanding along first column:

UP LT Grade Teacher Mathematics Mock Test - 3 - Question 18

The value of ω15 + ω20 + ω25 is

Detailed Solution: Question 18

Calculation:

ω15 + ω20+ ω25

= ω15 (1+ ω5 +ω10)

= ω15 × (1 + ω32 +ω9.ω)

= (ω3)5 × (1 + ω2 + ω)

= 1 × (1 + ω + ω2)

= 1× 0

= 0 

UP LT Grade Teacher Mathematics Mock Test - 3 - Question 19

The frequency curve (assuming unimodal) corresponding to the data obtained in an experiment is skewed to the left. What conclusion can be drawn from the curve ?

Detailed Solution: Question 19

Concept:

Mean: Mean (average) is the sum of all quantities divided by no of quantities of the data set.

Mode: It is the most repeated value in the data set.

Median: Median is the middlemost value of the data set.

Skewness:

  • The skewness is a measure of the asymmetry of the probability distribution assuming a unimodal
  • distribution (assuming there is only one peak in the distribution of values). We can say that the
  • skewness indicates how much our underlying distribution deviates from the normal distribution
  • since the normal distribution has a skewness of 0. Generally, we have three types of skewness.

Symmetrical: When the skewness is close to 0 and the mean is almost the same as the median

Negative skew:

  • When the left tail of the histogram of the distribution is longer and the majority of the observations are concentrated on the right tail.
  • In this case, we can use also the term "left-skewed" or "left-tailed" and the median is greater than the mean.

Positive skew:

  • When the right tail of the histogram of the distribution is longer and the majority of the observations are concentrated on the left tail.
  • In this case, we can use also the term "right-skewed" or "right-tailed" and the median is less than the mean.

Explanation:

  • We know that when the left tail of the histogram of the distribution is longer and the majority of the observations are concentrated on the right tail. In this case, we can use also the term "left-skewed" or "left-tailed". and the median is greater than the mean.
  • So, the frequency curve corresponding to the data obtained is skewed to the left and the graph obtained is as below:

For the above left-skewed curve, Mode > Median > Mean.

∴ Mode > Median > Mean for left-skewed curve.

UP LT Grade Teacher Mathematics Mock Test - 3 - Question 20

The focal distance of a point on the parabola y2 = 8x is 10. Its coordinates are.

Detailed Solution: Question 20

Concept:

The equation of parabola is y2 = 4ax and focal distance is x + a.

Solution:

Given that, The focal distance of a point on the parabola y2 = 8x is 10.

y2 = 8x

⇒ 4a = 8 ⇒ a = 2

Now The focal distance is x + a = 10

⇒ x = 10 - 2 ⇒ x = 8

and y2 = 8 × 8 = 82 ⇒ y = ± 8

So, its coordinates are (8,± 8)

∴ The correct option is (4)

UP LT Grade Teacher Mathematics Mock Test - 3 - Question 21

The maximum value of the function f(x) = (x - 1) (x - 2) (x - 3) is -

Detailed Solution: Question 21

Given:

f(x) = (x - 1)(x - 2)(x - 3)

Concept:

For maximum value of a differentiable function f(x) -

  • f'(x) = 0
  • f''(x) < 0 at x where f'(x) = 0

Solution:

f(x) = (x - 1)(x - 2)(x - 3)

⇒ f(x) = x3 - 6x2 + 11x - 6

⇒ f'(x) = 3x2 - 12x + 11

Putting f'(x) = 0

⇒ 3x2 - 12x + 11 = 0

⇒ x = 2 ± √(1/3)

⇒ x ≈ 1.423 , 2.577

Now, f''(x) = 6x - 12

f"(1.423) < 0

Hence, the maximum value occur at x = 2 - √(1/3)

⇒ f(2 ± √(1/3)) = (1 - √(1/3))(-√(1/3))(-1 - √(1/3))

UP LT Grade Teacher Mathematics Mock Test - 3 - Question 22

The value of the fraction  is:

Detailed Solution: Question 22

Given:

UP LT Grade Teacher Mathematics Mock Test - 3 - Question 23

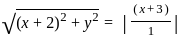
The equation of parabola whose focus (- 2, 0) and the directrix x + 3 = 0 is:-

Detailed Solution: Question 23

Concept:

  • A parabola is a U-shaped plane curve where any point is at an equal distance from a fixed point (known as the focus) and from a fixed straight line which is known as the directrix.
  • The simplest equation of a parabola is y= x when the directrix is parallel to the y-axis.
  • The four equations of a parabola are given as: y2 = 4ax, y2 = – 4ax, x2 = 4ay, and x2 = – 4ay.

⇒ (x - a)2 + y2 = (x + a)2

⇒ y2 = 4ax ( standard equation of parabola)

Calculation:

Let focus be S = (- 2, 0) and the directrix given by x + 3 = 0 

Let P(x, y) be any point on the parabola and PM be the line perpendicular line drawn from P to directrix as shown in the below image.

According to definition of parabola we have,

Distance between SP = |PM|

Using the distance formula we have

Squaring on both sides we get,

(x + 2)2 + y2 = (x + 3)2

⇒ x2 + 4 + 4x + y2 = x2 + 9 + 6x

⇒ y2 - 2x - 5 = 0 or

⇒ y2​ = 2x + 5

∴ The equation of the parabola is y2​ = 2x + 5.

Hence, the correct answer is option 3).

UP LT Grade Teacher Mathematics Mock Test - 3 - Question 24

Given that  A is a square matrix of order 3 and |A| = -2 then the determinant of A-1 is .

Detailed Solution: Question 24

Given:

A is a square matrix of order 3 and |A| = -2

Concept used:

 = 

Calculations:

∵ AA-1 = I

⇒ |AA-1| = 1 

⇒ |A| |A-1| = 1

∴ |A-1 |  = 

Given that , |A| = -2

 

∴ option 2 is correct 

UP LT Grade Teacher Mathematics Mock Test - 3 - Question 25

Figure-out the number of ways can 5 women and 3 men be seated in a row so that two men are together?

Detailed Solution: Question 25

Given:

There are 5 women and 3 men.

Two particular men sit together.

Concept:

These types of questions are usually done by taking two particular men as a single unit, applying permutations within them, and then making permutations of all the units.

Formula:

Ways of arranging n distinct things taken all at a time = n!

Explanation:

Let the two particular men be M1 and M2

Number of ways of choosing and arranging the 2 men out of 3 = 3C× 2! = 6

Now, taking these chosen 2 men as a single unit, the number of ways of arranging 1 man, 2 men as a single unit, and 5 women taking at a time = (3- 2 +1 + 5)! = 7! = 5040 

So, the number of ways can 5 women and 3 men are seated in a row so that two men are together = 3C× 2! × (3- 2 +1+ 5)! = 6 × 5040 = 30240

UP LT Grade Teacher Mathematics Mock Test - 3 - Question 26

A man buys toffees at 10 for Rs. 3 and sells at 8 for Rs. 3. What is his gain percent?

Detailed Solution: Question 26

UP LT Grade Teacher Mathematics Mock Test - 3 - Question 27

 The cost of an antique vase is Rs. 80. Find the cost of 5 such antique vases.

Detailed Solution: Question 27

Cost of one = Rs 80

Cost of 5 = 80*5 = 400

UP LT Grade Teacher Mathematics Mock Test - 3 - Question 28

Bhanu has 4 times as much money as Shekhar. If Shekhar receives Rs. 22.50 from Bhanu, they would have an equal amount of money. How much money does Shekhar have at first?

Detailed Solution: Question 28

UP LT Grade Teacher Mathematics Mock Test - 3 - Question 29

A teacher is observing students working in groups. Her observation is focused on collaboration and cooperation in the group, concentration and interest of each student, and participation of individual students in the activity. Through this activity, she is trying to:

Detailed Solution: Question 29

The teacher's observation is aimed at understanding the ongoing process of students' learning, which aligns with formative assessment, intended to improve the learning process.

UP LT Grade Teacher Mathematics Mock Test - 3 - Question 30

The mutual relationship between education and teaching is

Detailed Solution: Question 30

Education is a broader concept encompassing lifelong learning and global perspectives, while teaching is a more focused activity typically occurring in classroom settings and deriving its goals from broader educational aims.

View more questions
5 tests
Information about UP LT Grade Teacher Mathematics Mock Test - 3 Page
In this test you can find the Exam questions for UP LT Grade Teacher Mathematics Mock Test - 3 solved & explained in the simplest way possible. Besides giving Questions and answers for UP LT Grade Teacher Mathematics Mock Test - 3, EduRev gives you an ample number of Online tests for practice
Download as PDF