UPTET Exam  >  UPTET Test  >  UP LT Grade Teacher Mock Test Series 2026  >  UP LT Grade Teacher Mathematics Mock Test - 4 - UPTET MCQ

UP LT Grade Teacher Mathematics Mock Test - 4 Free Online Test 2026


Full Mock Test & Solutions: UP LT Grade Teacher Mathematics Mock Test - 4 (150 Questions)

You can boost your UPTET 2026 exam preparation with this UP LT Grade Teacher Mathematics Mock Test - 4 (available with detailed solutions).. This mock test has been designed with the analysis of important topics, recent trends of the exam, and previous year questions of the last 3-years. All the questions have been designed to mirror the official pattern of UPTET 2026 exam, helping you build speed, accuracy as per the actual exam.

Mock Test Highlights:

  • - Format: Multiple Choice Questions (MCQ)
  • - Duration: 120 minutes
  • - Total Questions: 150
  • - Analysis: Detailed Solutions & Performance Insights
  • - Sections covered: General Studies, Mathematics

Sign up on EduRev for free and get access to these mock tests, get your All India Rank, and identify your weak areas to improve your marks & rank in the actual exam.

UP LT Grade Teacher Mathematics Mock Test - 4 - Question 1

Who is responsible for enforcing the laws in a country?

Detailed Solution: Question 1

The police are responsible for enforcing the laws and maintaining law and order in a country.

UP LT Grade Teacher Mathematics Mock Test - 4 - Question 2

Which of the following have tap root ?

Detailed Solution: Question 2

Roots are mainly of two types: tap root and fibrous roots.
Plants having leaves with reticulate venation have tap roots while plants having leaves with parallel venation have fibrous roots.

UP LT Grade Teacher Mathematics Mock Test - 4 - Question 3

Geology' is related to 'Rocks' in the same way as 'Cytology' is related to '______'.

Detailed Solution: Question 3

Geology is related to rocks because geology is the study of rocks. In the same way, 'cytology' is related to 'cells' because cytology is the study of cells.

UP LT Grade Teacher Mathematics Mock Test - 4 - Question 4

Mahatma Gandhi worked as an editor in which of the following newspapers?

A. Indian Opinion

B. The Leader

C. Independent

Detailed Solution: Question 4

  • Mahatma Gandhi worked as an editor in Indian Opinion.
  • The newspaper existed between 1903 and 1915 and was a tool to fight racial discrimination and win civil rights for the Indian immigrant community in South Africa.
  • The newspaper was published in English & Gujarati and for a short period in Hindi & Tamil.
  • The other newspapers associated with Mahatma Gandhi are Navjeevan, Young India, and Harijan.
  • The Leader was founded by Madan Mohan Malviya and C.Y. Chintamani was the editor.

Hence, the correct option is (D).

UP LT Grade Teacher Mathematics Mock Test - 4 - Question 5

Monoid is a group if 

Detailed Solution: Question 5

Given : 

A monoid is a group if 

Explanation: 

A group is a set and a binary operation such that. For all x, y ∈ G, x * y ∈ G (closure).

There exists an identity element e ∈ G with x * e = e * x = x for all x ∈ G (identity).

For all x , y , z ∈ G we have (x * y) * z = x * (y * z) (associativity).

There exists an Inverse element c such that x * c = e = c * x for all x ∈ G (Inverse)

Now,

Monoid ⇒ Associative binary operation and identity

∴ A monoid(B,*) is called Group if to each element there exists an element c such that (a*c)=(c*a)=e. Here e is called an identity element and c is defined as the inverse of the corresponding element.

∴ option 1 is correct 

UP LT Grade Teacher Mathematics Mock Test - 4 - Question 6

 

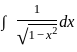
Detailed Solution: Question 6

Calculation:

Given

 

Applying substitution method of integration,

let x = sin(u)-------(1)

Differentiating equation (1) both sides with respect to u we get,

dx = cos(u) du

Now substituting the value of x and dx in the integral we get,

We know, the trigonometric identity as,

sin2(u) + cos2(u) = 1

cos2(u) = 1 - sin2(u)

Substituting above identity in above integral we get,

UP LT Grade Teacher Mathematics Mock Test - 4 - Question 7

If cot x =  then find the value of   

Detailed Solution: Question 7

Formula used:

  1. cot θ = Base / Perpendicular
  2. sin θ = Perpendicular / Hypotenuse
  3. cos θ = Base / Hypotenuse

In a right-angle triangle,

Hypotenuse2 = Base2 + Perpendicular2


Alternate Method

UP LT Grade Teacher Mathematics Mock Test - 4 - Question 8

What is the domain of the function f(x) = sin-1 (x + 1) ?

Detailed Solution: Question 8

Concept:

The domain is the range of inverse trigonometric functions.

Calculation:

Given: f(x) = sin-1 (x + 1) 

⇒ y = sin-1 (x + 1) 

The given function can be written as sin y = x + 1

We know that sin y is a function that oscillates between -1 and 1 i.e it

can take all real numbers as a value in the interval [-1 , 1]

So, -1 ≤ sin y ≤ 1

⇒ -1 ≤ x + 1 ≤ 1

⇒ -1 - 1 ≤ x + 1 - 1 ≤ 1 - 1

⇒ -2 ≤ x ≤ 0

∴ x ∈ [-2, 0]

UP LT Grade Teacher Mathematics Mock Test - 4 - Question 9

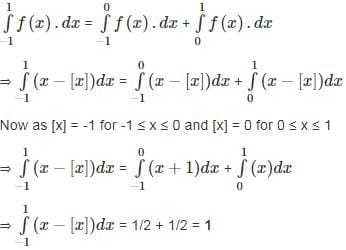
Let f(x) = x-[x]. for every real number x, where [x] is the greatest integer less than or equal to x. Then the value of  is 

Detailed Solution: Question 9

Concept:

Greatest Integer Function (GIF) gives the greatest integer less than or equal to the given value of x.

Formula:

If I  ≤ x ≤ (I + 1), then [x] = I where I is an integer

Calculation:

UP LT Grade Teacher Mathematics Mock Test - 4 - Question 10

If 12 x2 - 10 xy + 2y2 + 11 x - 5y + λ = 0 represent a pair of straight lines then the values of λ is:

Detailed Solution: Question 10

Concept:

Let second-degree equation be,

ax+ by+ 2hxy + 2gx + 2fy + c = 0

Discriminant is calculated as:

Δ = 

Δ = abc + 2fgh - af- bg- ch2

Case: 1

If discriminant (Δ) of this equation doesn’t equal to zero (Δ ≠ 0)

  • If h2 – ab > 0, it represents a hyperbola and a rectangular hyperbola (a + b = 0).
  • If h2 – ab = 0, it represents a parabola.
  • If h2 – ab < 0, it represents an ellipse. (a ≠ b)
  • If h2 – ab < 0, it represents a circle. (a = b)

Case: 2

If discriminant (Δ) of this equation is equal to zero (Δ = 0)

  • If h2 – ab > 0, it represents two distinct real lines or pair of perpendicular straight lines
  • If h2 – ab = 0, it represents a parallel lines.
  • If h2 – ab < 0, it represents non-real lines.

Calculation:

Given: Second degree equation, 12 x2 - 10 xy + 2y2 + 11 x - 5y + λ = 0

Compare with second-degree equation ax+ 2hxy + by2 + 2gx + 2fy + c = 0

So, a = 12, h = - 5, b = 2, g = 5.5, f = -2.5, c = λ

The given equation represents the pair of straight lines so;

Δ = 0

abc + 2fgh - af- bg- ch2 = 0

24λ + 137.5 - 75 - 60.5 - 25λ = 0

λ = 2

UP LT Grade Teacher Mathematics Mock Test - 4 - Question 11

If sin2β - sin30° = 0 and β is an acute angle, find the value of β.

Detailed Solution: Question 11

Given:

sinβ - sin 30° = 0

Concept used:

⇒ sin 30° = 1/2

⇒ sin 45° = 1/√2

Calculations:

⇒ sin2β - sin 30° = 0

⇒ sinβ = sin 30° 

⇒ sinβ = 1/2

Square rooting both sides,

⇒ sinβ = 1/√ 2

⇒ sinβ = sin 45°

∴ The value of β is 45°.

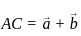
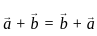
UP LT Grade Teacher Mathematics Mock Test - 4 - Question 12

In a parallelogram for any two vectors  vector addition will fulfill ________.

Detailed Solution: Question 12

Consider the parallelogram ABCD as in figure. The diagonal AC is common to both the triangles ABC and ADC.

Given AB=aandBC=b. In a parallelogram, the opposite sites are equal and parallel and hence,

According to Triangle law, in ∆ABC, the diagonal

Also for the ∆ADC,

Therefore, since AC is the common diagonal, which satisfies Commutative property.

UP LT Grade Teacher Mathematics Mock Test - 4 - Question 13

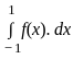
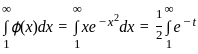
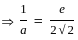
The series  is 

Detailed Solution: Question 13

Concept used:

Integral test:

Let f(x) be positive decreasing continuous function such that f(n) = an

then series ais Convergent iff f(x) dx converges

Calculations:

(n) (say);

ϕ (n) is +ve and decreases as n increases. So let us apply the integral test.

 dt {t = x2, dt = 2xdx}

UP LT Grade Teacher Mathematics Mock Test - 4 - Question 14

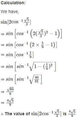
Detailed Solution: Question 14

Given:

Formula Used:

2cos-1x = cos-1(2x2 - 1)

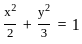
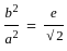
UP LT Grade Teacher Mathematics Mock Test - 4 - Question 15

The equation of the ellipse in the standard form whose length of the latus rectum is 4 and whose distance between the foci is 4√2, is

Detailed Solution: Question 15

Concept:

Length of latus rectum of an ellipse  is given by 

Distance between the foci of the ellipse is given by 2ae.

Calculation:

Given that distance between the foci = 4√2

⇒ 2ae = 4√2

Given the length of latus rectum is 4.

Substituting the value of ,

We know eccentricity of the ellipse is given by,


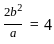
UP LT Grade Teacher Mathematics Mock Test - 4 - Question 16

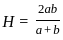
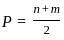
If the arithmetic, geometric and harmonic means between two distinct positive real numbers be A, G and H respectively, then the relation between them is

Detailed Solution: Question 16

Concept:

Arithmetic mean

Consider any two numbers, say m and n

And P is the arithmetic mean between two numbers.

The sequence will be m, P, and n in A.P.

P – m = n – P

 = (Sum of the numbers)/(number of terms)

Geometric mean

If a, b and c are three quantities in GP, then and b is the geometric mean of a and c.

This can be written as b2 = ac or b =√ac.

Harmonic Mean

Harmonic mean is calculated as the reciprocal of the arithmetic mean of the reciprocals.

The formula to calculate the harmonic mean is given by:

Harmonic Mean = n[(1a)+(1b)+(1c)+(1d)+...]

Calculation:

Given:

AM = A, GM = G, And HM = H

Let a and b be the two distinct positive real numbers

Then , G = √(ab),

UP LT Grade Teacher Mathematics Mock Test - 4 - Question 17

Two equal forces are acting on a particle. If the particle has to remain in equilibrium, the angle in degrees between the forces should be:

Detailed Solution: Question 17

Explanation:

Equilibrium of Concurring Forces

  • Any number of forces acting upon a point or particle are said to be concurring forces. If the resultant of any system of concurring forces is zero, the forces are said to be in equilibrium.
  • The effect of the resultant force is to cause acceleration of the particle. When the forces are in equilibrium, then, the particle has no acceleration, and if the particle is at rest it is said to be in static equilibrium.
  • But if the resultant force is zero, all the concurring forces must evidently reduce to two equal and opposite forces, or, what is the same thing, any one of the forces must be equal and opposite to the resultant of all the others.
  • Hence the algebraic sum of the components of all the forces in any three rectangular directions must be zero.
  • We have then, for the conditions of equilibrium of concurring forces
  • Fx = ΣF cos α = 0, Fy = ΣF cos β = 0, Fz = ΣF cos γ = 0.

We obtain, then, the following obvious results from the condition for equilibrium of concurring forces, which will be found useful in special cases :

  1. If two concurring forces are in equilibrium, they must be equal in magnitude and opposite in direction.
  2. If three concurring forces are in equilibrium, they must all act in the same plane. For the resultant of any two must act in their plane and be equal and opposite to the third.
  3. If three concurring forces are represented in magnitude and direction by the sides of a triangle taken the same way round, the resultant is zero and the forces are in equilibrium.
  4. Hence, if three concurring forces are in equilibrium, each one is proportional to the sine of the angle between the other two.
  5. If three concurring forces are in equilibrium and their directions are represented by the sides of a triangle taken the same way round, their magnitudes will also be represented by the sides of that triangle, and rice versa.

UP LT Grade Teacher Mathematics Mock Test - 4 - Question 18

For what value of μ do the simultaneous equations 5x + 7y = 2, 15x + 21y = μ have no solution?

Detailed Solution: Question 18

Concept:

System of equations

a1x + b1y = c1

a2x + b2y = c2

For unique solution

For Infinite solution

For no solution

a1a2=b1b2c1c2

Calculation:

Given:

5x + 7y = 2, 15x + 21y = μ

Here For no solution

515=7212μ

Hence for no solution μ ≠ 6

UP LT Grade Teacher Mathematics Mock Test - 4 - Question 19

If B is non-singular matrix and A is a square matrix, then det (B-1 AB) is equal to

Detailed Solution: Question 19

Given:

A is a square matrix and B is non-singular matrix, so B is invertible and a square matrix

Calculations:

det(B-1 AB)

= det(B-1 BA)

= det(InA) (where In is an identity matrix of order n)

= det(A)

∴ option C is correct 

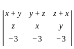
UP LT Grade Teacher Mathematics Mock Test - 4 - Question 20

Find the value of 

Detailed Solution: Question 20

Concept:

Property of determinant of a matrix:

  • Let A be a matrix of order n × n then det(kA) = kdet(A)
  • If A and B are two square matrices then |AB| = |A||B|

  • The determinant of a Matrix with two Identical rows or columns is equal to 0. 

Calculation:

Given:

(x + y)[-3x + 3y] - (y + z)[-3z + 3y] + (z + x)[-3z + 3x]

⇒ -3x+ 3xy - 3xy + 3y+ 3yz - 3y+ 3z-3yz - 3z+3xz - 3xz + 3x2

Δ = 0

UP LT Grade Teacher Mathematics Mock Test - 4 - Question 21

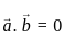
If two vectors  are perpendicular, the value of P is

Detailed Solution: Question 21

Concept:

If two vectors are perpendicular, then their dot product is zero i.e. 

CALCULATION:

Given: The wo vectors  are perpendicular,

As we know that, if two vectors are perpendicular, then their dot product is zero i.e. 

⇒ (3i + 4j – 7k) . (pi – 6j + 3k) = 0

3p – 24 – 21 = 0

3p = 45

p = 15

Hence, option D is the correct answer.

UP LT Grade Teacher Mathematics Mock Test - 4 - Question 22

If  and are collinear vectors, then what are the possible values of p and q respectively?

Detailed Solution: Question 22

Concept:

For two vectors  to be collinear,​  where λ is a scalar.

UP LT Grade Teacher Mathematics Mock Test - 4 - Question 23

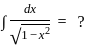
The domain of the function  is

Detailed Solution: Question 23

Concept:

For a square root function given by f(x) = √x to have real values, the radicand x must be positive

or equal to zero.

x ≥ 0

Solution:

By using above concept,

x - 1 ≥ 0 and 6 - x ≥ 0

 x ≥ 1 and x ≤ 6

 1 ≤ x ≤ 6

∴ The domain of the given function is [1, 6].

UP LT Grade Teacher Mathematics Mock Test - 4 - Question 24

A box contains 5 black balls, 4 yellow balls and 11 pink balls. A ball is drawn at random from the box. Find the probability that the ball drawn is neither black nor pink.

Detailed Solution: Question 24

Total number of balls = (5 + 4 + 11) = 20 balls

S = Sample space that one ball is drawn out of the box

∴ n(S) = 20

Let E = event that the ball drawn is neither black nor pink = event that the ball drawn is yellow

Thus, n(E) = 4

Probability of occurrence of event;

UP LT Grade Teacher Mathematics Mock Test - 4 - Question 25

When should comprehensive questions be asked if the lesson is divided into small units?

Detailed Solution: Question 25

Comprehensive questions should be asked at the end of each unit when the lesson is divided into small units. This allows for a thorough understanding of the material covered in that specific unit.

UP LT Grade Teacher Mathematics Mock Test - 4 - Question 26

Which of the following processes is responsible for creating fear and anxiety in the students in understanding Mathematics?

Detailed Solution: Question 26

Visualization and representation can create fear and anxiety as they often require students to understand and manipulate abstract concepts, which can be challenging.

UP LT Grade Teacher Mathematics Mock Test - 4 - Question 27

Comparison questions can be asked

Detailed Solution: Question 27

Comparison questions can be asked both in the beginning and in the end.

UP LT Grade Teacher Mathematics Mock Test - 4 - Question 28

It is observed that to a problem like ‘show that the sum of two odd numbers is an even number', most of the students replied by quoting one example, say, 5 + 7 = 12. Students answered this question inappropriately as

Detailed Solution: Question 28

Students' reliance on a single example to generalize indicates they believe a statement true for one set of numbers is always true, showing a lack of understanding of general proof methods.

UP LT Grade Teacher Mathematics Mock Test - 4 - Question 29

What are the devices used to make teaching method more effective known as?

Detailed Solution: Question 29

The devices used to make teaching methods more effective are known as techniques of teaching.

UP LT Grade Teacher Mathematics Mock Test - 4 - Question 30

At which level of Van Hiele theory do students define a figure using a minimum set of properties, give informal arguments, and discover new properties by deduction?

Detailed Solution: Question 30

At the Abstract/Relational level, students define figures using minimal properties, provide informal arguments, and discover new properties through deduction.

View more questions
5 tests
Information about UP LT Grade Teacher Mathematics Mock Test - 4 Page
In this test you can find the Exam questions for UP LT Grade Teacher Mathematics Mock Test - 4 solved & explained in the simplest way possible. Besides giving Questions and answers for UP LT Grade Teacher Mathematics Mock Test - 4, EduRev gives you an ample number of Online tests for practice
Download as PDF