You can boost your UPTET 2026 exam preparation with this UP LT Grade Teacher Mathematics Mock Test - 5 (available with detailed solutions).. This mock test has been designed with the analysis of important topics, recent trends of the exam, and previous year questions of the last 3-years. All the questions have been designed to mirror the official pattern of UPTET 2026 exam, helping you build speed, accuracy as per the actual exam.
Mock Test Highlights:
Sign up on EduRev for free and get access to these mock tests, get your All India Rank, and identify your weak areas to improve your marks & rank in the actual exam.
What is the name of the meeting where representatives discuss and make decisions about new laws?
Detailed Solution: Question 1
Directions: The following question consists of two sets of words. Each word in the two sets is related to the other in the same way. Find out the relationship in the first set of two words and then select the alternative that best fits the blank in the second set of words.
Plane : Pilot : : Ship : ?
Detailed Solution: Question 2
What is the conservation status of the Mithun (Bos frontalis) according to the IUCN Red List?
Detailed Solution: Question 3
Detailed Solution: Question 4
Detailed Solution: Question 5
Detailed Solution: Question 6
Detailed Solution: Question 7
The rule of combination of a set G of elements e, a, b, c under an operation * is displayed in the adjoining operation table. Then for the group (G, *), the true statement is:

Detailed Solution: Question 8
Detailed Solution: Question 9
Detailed Solution: Question 10
Detailed Solution: Question 11
In the following figure, if
is perpendicular on
PB = 10, and PM = 8, then the value of AB is:
Detailed Solution: Question 12
Detailed Solution: Question 13
Detailed Solution: Question 14
Detailed Solution: Question 15
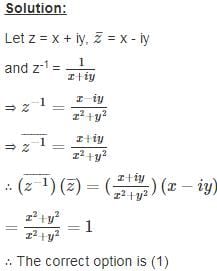
If z is a complex number, then (z−1¯)(z¯) = ?
Detailed Solution: Question 16
Detailed Solution: Question 17
Detailed Solution: Question 18
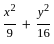
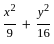
= 1 at which the tangents are parallel to y-axis are :Detailed Solution: Question 19
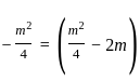
The ratio of sum of m and n terms of an A. P. is m2 : n2, then the ratio of mth and nth term will be
Detailed Solution: Question 20
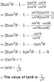
If cos A =
, A is an acute angle, then find the value of
.
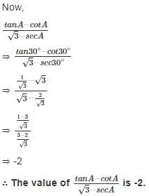
Detailed Solution: Question 21
Find the sum of given arithmetic progression 8 + 11 + 14 + 17 upto 15 terms
Detailed Solution: Question 22
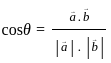
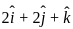
The value of cosine of the angle between the x-axis and the vector
is:
Detailed Solution: Question 23
Detailed Solution: Question 24
Find the projection of the vector
on the vector
?
Detailed Solution: Question 25
Detailed Solution: Question 26
Detailed Solution: Question 27
Detailed Solution: Question 28
Detailed Solution: Question 29
Detailed Solution: Question 30