Bank Exams Exam  >  Bank Exams Test  >  IBPS PO Prelims & Mains Preparation  >  Practice Test 2: Reasoning Ability - Bank Exams MCQ

Practice Test 2: Reasoning Ability Bank Exams MCQs & solutions - Free


MCQ Practice Test & Solutions: Practice Test 2: Reasoning Ability (20 Questions)

You can prepare effectively for Bank Exams IBPS PO Prelims & Mains Preparation with this dedicated MCQ Practice Test (available with solutions) on the important topic of "Practice Test 2: Reasoning Ability". These 20 questions have been designed by the experts with the latest curriculum of Bank Exams 2026, to help you master the concept.

Test Highlights:

  • - Format: Multiple Choice Questions (MCQ)
  • - Duration: 20 minutes
  • - Number of Questions: 20

Sign up on EduRev for free to attempt this test and track your preparation progress.

Practice Test 2: Reasoning Ability - Question 1

Who among the following earn lowest salary?

Detailed Solution: Question 1

The one who gets second highest salary earns Rs 51000 per month. P earns more than U and Q but less than R. P earn less than Rs 51000 per month.
R > P > U/Q 
> (Rs 51000) > > > >
The one who earn Rs 12000 less than T is the one, who earns second lowest salary. R earn just more than T but not Rs 51000. Neither U nor S earns the second lowest monthly salary. U earns more than S.
R > T (Rs 51000) > P > U > Q (Rs 39000) > S

Practice Test 2: Reasoning Ability - Question 2

How many persons earns more salary than S?

Detailed Solution: Question 2

The one who gets second highest salary earns Rs 51000 per month. P earns more than U and Q but less than R. P earn less than Rs 51000 per month.
R > P > U/Q 
> (Rs 51000) > > > >
The one who earn Rs 12000 less than T is the one, who earns second lowest salary. R earn just more than T but not Rs 51000. Neither U nor S earns the second lowest monthly salary. U earns more than S.
R > T (Rs 51000) > P > U > Q (Rs 39000) > S

Practice Test 2: Reasoning Ability - Question 3

Who among the following gets 3rd highest marks?

Detailed Solution: Question 3

Anuj > Abhay (40 marks) > Atul > Ajay > Akash

Practice Test 2: Reasoning Ability - Question 4

Which of the following may be the marks Anuj gets?

Detailed Solution: Question 4

Anuj > Abhay (40 marks) > Atul > Ajay > Akash

Practice Test 2: Reasoning Ability - Question 5

On which of the following month V has seminar?

Detailed Solution: Question 5

From the given statements, U’s seminar is just before of S but not in the month which has 31 days. Here, we get two possibilities now i.e. Case 1 and Case 2. There are two persons who have a seminar between S and T. V has seminar just before of Q. 

From the given statements, there is one person’s seminar between R and P, whose seminar is after R. Now, Case 1 is ruled out now.
So, the final arrangement will be like this- 

Practice Test 2: Reasoning Ability - Question 6

Who among the following person sits to the immediate right of G?

Detailed Solution: Question 6

From the given statements, A sits 2nd to the right of B who is an immediate neighbour of C. D sits immediate left of E who faces F. Here, we get two possibilities i.e. Case-1 and Case-2.

From the given statements, H is an immediate neighbour of D. Here, Case 2 is ruled out. Two persons sit between C and G.
So, final arrangement will be: -

Practice Test 2: Reasoning Ability - Question 7

Who among the following persons faces H?

Detailed Solution: Question 7

From the given statements, A sits 2nd to the right of B who is an immediate neighbour of C. D sits immediate left of E who faces F. Here, we get two possibilities i.e. Case-1 and Case-2.

From the given statements, H is an immediate neighbour of D. Here, Case 2 is ruled out. Two persons sit between C and G.
So, final arrangement will be: -

Practice Test 2: Reasoning Ability - Question 8

How many persons sit between C and D, when counted from left of D?

Detailed Solution: Question 8

From the given statements, A sits 2nd to the right of B who is an immediate neighbour of C. D sits immediate left of E who faces F. Here, we get two possibilities i.e. Case-1 and Case-2.

From the given statements, H is an immediate neighbour of D. Here, Case 2 is ruled out. Two persons sit between C and G.
So, final arrangement will be: -

Practice Test 2: Reasoning Ability - Question 9

Which of the following is true regarding A?

Detailed Solution: Question 9

From the given statements, A sits 2nd to the right of B who is an immediate neighbour of C. D sits immediate left of E who faces F. Here, we get two possibilities i.e. Case-1 and Case-2.

From the given statements, H is an immediate neighbour of D. Here, Case 2 is ruled out. Two persons sit between C and G.
So, final arrangement will be: -

Practice Test 2: Reasoning Ability - Question 10

Four of the following five are alike in certain way based from a group, find the one which does not belong to that group?

Detailed Solution: Question 10

From the given statements, A sits 2nd to the right of B who is an immediate neighbour of C. D sits immediate left of E who faces F. Here, we get two possibilities i.e. Case-1 and Case-2.

From the given statements, H is an immediate neighbour of D. Here, Case 2 is ruled out. Two persons sit between C and G.
So, final arrangement will be: -

Practice Test 2: Reasoning Ability - Question 11

Directions: Study the following questions carefully and answer the questions given below.

If Neha says, “priyanka’s father Omveer is the only son of my father-in-law Chandrapal”, then how is Ruchi, who is the sister of Priyanka, related to Chandrapal?

Detailed Solution: Question 11

Only son of Neha’s father-in-law Chandrapal — Neha’s husband. So, Omveer is Neha’s husband and Priyanka and Ruchi are his daughters.

Thus, Ruchi is the grand daughter of Chandraipal.

Hence, the option E is correct. 

Practice Test 2: Reasoning Ability - Question 12

Directions: Study the following questions carefully and answer the questions given below.

Mr. Sohan said to Mohan, “This girls is the wife of the grandson of my mother”. How is Sohan related to this girl?

Detailed Solution: Question 12

The girl is the wife of the grandson of my mother – Sohan’s daughter-in-law

Therefore, Mr. Sohan is the Father-in-law of that girl.

Hence, option D is correct. 

Practice Test 2: Reasoning Ability - Question 13

Directions: In each of the questions below are given some statements followed by two conclusions. You have to take the given statements to be true even if they seem to be at variance with commonly known facts. Read all the conclusions and then decide which of the given conclusions logically follows from the given statements disregarding commonly known facts.
Statement:
Some boys are students.
All students are tall.
Conclusions:
I. Some boy are tall.
II. All boy are tall

Detailed Solution: Question 13

Only I follow

Practice Test 2: Reasoning Ability - Question 14

Directions: In each of the questions below are given some statements followed by two conclusions. You have to take the given statements to be true even if they seem to be at variance with commonly known facts. Read all the conclusions and then decide which of the given conclusions logically follows from the given statements disregarding commonly known facts.
Statement:
Some books are pen.
Some pens are pencil.
Conclusion:
I. some pen are book.
II. Some pencil are pen

Detailed Solution: Question 14

Both follows

Practice Test 2: Reasoning Ability - Question 15

Directions: Study the following questions carefully and answer the questions given below.

If you are facing north-east and move 10 m forward, turn left and move 10 m, then you are

Detailed Solution: Question 15

Clearly, the narrator starts from A, moves towards north-east a distance of 10 m up to B, turns left (90 degree anti-clockwise) and moves 10 m up to C. Clearly, C lies to the north of A. Also , ΔABC is right-angled at B. So,
AC= AB2 + BC= (10)2 + (10)2
= 100 + 100 = 200

Thus the narrator is 10√2 m to the north of his initial position.
Hence, option D is correct.

Practice Test 2: Reasoning Ability - Question 16

Directions: Study the following questions carefully and answer the questions given below.

One day Ravi left home and cycled 10 km southwards, turned right and cycled 5 km and turned right and cycled 10 km and turned left and cycled 10 km. how many kilometers will he have to cycle to reach his home straight?

Detailed Solution: Question 16

Clearly, Ravi starts from home at A, moves 10 km south wards up to B, turns right and moves and 5 km up to C, turns right again and moves 10 km up to D and finally turns left and moves 10 km up to E.
Thus his distance from initial position A = AE + DE = BC + DE = (5 + 10) km = 15 km 
Hence, option B is correct. 

Practice Test 2: Reasoning Ability - Question 17

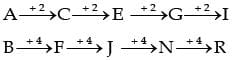
Directions: What should be come in place of question mark (?)

AB, CF, EJ, ?, IR

Detailed Solution: Question 17

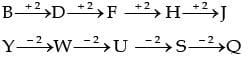
Practice Test 2: Reasoning Ability - Question 18

Directions: What should be come in place of question mark (?)

BY, DW, ? , HS, JQ

Detailed Solution: Question 18

Practice Test 2: Reasoning Ability - Question 19

Directions: In each of the following questions assuming the given statements to be true, find which of the two conclusions I and II given below is/are definitely true and give your answer accordingly. 
Statements: Z ≥ H, B < H, K < B
onclusions: I. K > Z II. K = Z

Detailed Solution: Question 19

Z ≥ H > B < K, none is true.

Practice Test 2: Reasoning Ability - Question 20

Directions: In each of the following questions assuming the given statements to be true, find which of the two conclusions I and II given below is/are definitely true and give your answer accordingly. 
Statements: F < N, N = D, D > T
Conclusions: I. F = D II. F < D

Detailed Solution: Question 20

F < N = D > T, only II is true.

665 videos|1092 docs|379 tests
Information about Practice Test 2: Reasoning Ability Page
In this test you can find the Exam questions for Practice Test 2: Reasoning Ability solved & explained in the simplest way possible. Besides giving Questions and answers for Practice Test 2: Reasoning Ability, EduRev gives you an ample number of Online tests for practice
Download as PDF