Bank Exams Exam  >  Bank Exams Test  >  IBPS PO Prelims & Mains Preparation  >  Practice Test 17: Reasoning Ability - Bank Exams MCQ

Practice Test 17: Reasoning Ability Bank Exams MCQs & solutions - Free


MCQ Practice Test & Solutions: Practice Test 17: Reasoning Ability (20 Questions)

You can prepare effectively for Bank Exams IBPS PO Prelims & Mains Preparation with this dedicated MCQ Practice Test (available with solutions) on the important topic of "Practice Test 17: Reasoning Ability". These 20 questions have been designed by the experts with the latest curriculum of Bank Exams 2026, to help you master the concept.

Test Highlights:

  • - Format: Multiple Choice Questions (MCQ)
  • - Duration: 20 minutes
  • - Number of Questions: 20

Sign up on EduRev for free to attempt this test and track your preparation progress.

Practice Test 17: Reasoning Ability - Question 1

What is age of G in 2017?

Detailed Solution: Question 1

Step 1. From the given conditions, E is the oldest person. F was born after 1978 but not born in 1995. Sum of present age of F and A is 81yr. So, there will be two possible cases case 1 and case 2 in which F is either born in 1982(then A is born in the year1971) or in 1999(then A is born in the year 1954).

Step 2. As it is given that, Difference of present ages of A and H is less than nine. B was born in odd number year after H, but not born in 1995.

Step 3. Using the rest of the conditions, Sum of present age of D and G is 61yr. D is younger than G. So, from these statement cases I will be eliminated. Now continuing with case II, G was born in the year 1978 and D in the year 1995 and C was born in the year 1982. Hence, we get our final solution. 

Practice Test 17: Reasoning Ability - Question 2

How many persons were born before C?

Detailed Solution: Question 2

Step 1. From the given conditions, E is the oldest person. F was born after 1978 but not born in 1995. Sum of present age of F and A is 81yr. So, there will be two possible cases case 1 and case 2 in which F is either born in 1982(then A is born in the year1971) or in 1999(then A is born in the year 1954).

Step 2. As it is given that, Difference of present ages of A and H is less than nine. B was born in odd number year after H, but not born in 1995.

Step 3. Using the rest of the conditions, Sum of present age of D and G is 61yr. D is younger than G. So, from these statement cases I will be eliminated. Now continuing with case II, G was born in the year 1978 and D in the year 1995 and C was born in the year 1982. Hence, we get our final solution. 

Practice Test 17: Reasoning Ability - Question 3

18. What is the age difference of H and F?

Detailed Solution: Question 3

Step 1. From the given conditions, E is the oldest person. F was born after 1978 but not born in 1995. Sum of present age of F and A is 81yr. So, there will be two possible cases case 1 and case 2 in which F is either born in 1982(then A is born in the year1971) or in 1999(then A is born in the year 1954).

Step 2. As it is given that, Difference of present ages of A and H is less than nine. B was born in odd number year after H, but not born in 1995.

Step 3. Using the rest of the conditions, Sum of present age of D and G is 61yr. D is younger than G. So, from these statement cases I will be eliminated. Now continuing with case II, G was born in the year 1978 and D in the year 1995 and C was born in the year 1982. Hence, we get our final solution. 

Practice Test 17: Reasoning Ability - Question 4

Who was born in 1971?

Detailed Solution: Question 4

Step 1. From the given conditions, E is the oldest person. F was born after 1978 but not born in 1995. Sum of present age of F and A is 81yr. So, there will be two possible cases case 1 and case 2 in which F is either born in 1982(then A is born in the year1971) or in 1999(then A is born in the year 1954).

Step 2. As it is given that, Difference of present ages of A and H is less than nine. B was born in odd number year after H, but not born in 1995.

Step 3. Using the rest of the conditions, Sum of present age of D and G is 61yr. D is younger than G. So, from these statement cases I will be eliminated. Now continuing with case II, G was born in the year 1978 and D in the year 1995 and C was born in the year 1982. Hence, we get our final solution. 

Practice Test 17: Reasoning Ability - Question 5

Who is the fifth oldest person?

Detailed Solution: Question 5

Step 1. From the given conditions, E is the oldest person. F was born after 1978 but not born in 1995. Sum of present age of F and A is 81yr. So, there will be two possible cases case 1 and case 2 in which F is either born in 1982(then A is born in the year1971) or in 1999(then A is born in the year 1954).

Step 2. As it is given that, Difference of present ages of A and H is less than nine. B was born in odd number year after H, but not born in 1995.

Step 3. Using the rest of the conditions, Sum of present age of D and G is 61yr. D is younger than G. So, from these statement cases I will be eliminated. Now continuing with case II, G was born in the year 1978 and D in the year 1995 and C was born in the year 1982. Hence, we get our final solution. 

Practice Test 17: Reasoning Ability - Question 6

Who among the following person plays match on Friday?

Detailed Solution: Question 6

From the given statements, bowler who takes 6 wickets plays match in Wednesday. Three bowlers play match between E and M and both of them take odd numbered wickets. Two Bowlers play match between F and N but both doesn’t take even numbered wickets. Bowler who takes 5 wickets plays match just before O and just after D. There are as many bowlers play the match before F as after the bowler who takes 9 wickets. Here, we get two possibilities i.e. Case 1 and Case 2.

From the given statements, addition of wickets taken by M and O is 15. One Bowler can take at most 10 wickets. So, they will take either 5 and 10 or 6 and 9 or 7 and 8 wickets. D takes 6 and N takes 5 wickets and M takes odd numbered wicket. So, M and O will take 7 and 8 wickets respectively. Here, Case 1 is ruled out. F gets more than 2 wickets. F takes odd numbered wickets.
So, the final arrangement will be: -

Practice Test 17: Reasoning Ability - Question 7

In which of the following days F plays the match?

Detailed Solution: Question 7

From the given statements, bowler who takes 6 wickets plays match in Wednesday. Three bowlers play match between E and M and both of them take odd numbered wickets. Two Bowlers play match between F and N but both doesn’t take even numbered wickets. Bowler who takes 5 wickets plays match just before O and just after D. There are as many bowlers play the match before F as after the bowler who takes 9 wickets. Here, we get two possibilities i.e. Case 1 and Case 2.

From the given statements, addition of wickets taken by M and O is 15. One Bowler can take at most 10 wickets. So, they will take either 5 and 10 or 6 and 9 or 7 and 8 wickets. D takes 6 and N takes 5 wickets and M takes odd numbered wicket. So, M and O will take 7 and 8 wickets respectively. Here, Case 1 is ruled out. F gets more than 2 wickets. F takes odd numbered wickets.
So, the final arrangement will be: -

Practice Test 17: Reasoning Ability - Question 8

What is the total sum of the wickets taken by D and E?

Detailed Solution: Question 8

From the given statements, bowler who takes 6 wickets plays match in Wednesday. Three bowlers play match between E and M and both of them take odd numbered wickets. Two Bowlers play match between F and N but both doesn’t take even numbered wickets. Bowler who takes 5 wickets plays match just before O and just after D. There are as many bowlers play the match before F as after the bowler who takes 9 wickets. Here, we get two possibilities i.e. Case 1 and Case 2.

From the given statements, addition of wickets taken by M and O is 15. One Bowler can take at most 10 wickets. So, they will take either 5 and 10 or 6 and 9 or 7 and 8 wickets. D takes 6 and N takes 5 wickets and M takes odd numbered wicket. So, M and O will take 7 and 8 wickets respectively. Here, Case 1 is ruled out. F gets more than 2 wickets. F takes odd numbered wickets.
So, the final arrangement will be: -

Practice Test 17: Reasoning Ability - Question 9

If D is related to 8, M is related to 5 then, in the same manner N is related to _____?

Detailed Solution: Question 9

From the given statements, bowler who takes 6 wickets plays match in Wednesday. Three bowlers play match between E and M and both of them take odd numbered wickets. Two Bowlers play match between F and N but both doesn’t take even numbered wickets. Bowler who takes 5 wickets plays match just before O and just after D. There are as many bowlers play the match before F as after the bowler who takes 9 wickets. Here, we get two possibilities i.e. Case 1 and Case 2.

From the given statements, addition of wickets taken by M and O is 15. One Bowler can take at most 10 wickets. So, they will take either 5 and 10 or 6 and 9 or 7 and 8 wickets. D takes 6 and N takes 5 wickets and M takes odd numbered wicket. So, M and O will take 7 and 8 wickets respectively. Here, Case 1 is ruled out. F gets more than 2 wickets. F takes odd numbered wickets.
So, the final arrangement will be: -

Practice Test 17: Reasoning Ability - Question 10

Four of the following five are alike in certain way based from a group, find the one which does not belong to that group?

Detailed Solution: Question 10

From the given statements, bowler who takes 6 wickets plays match in Wednesday. Three bowlers play match between E and M and both of them take odd numbered wickets. Two Bowlers play match between F and N but both doesn’t take even numbered wickets. Bowler who takes 5 wickets plays match just before O and just after D. There are as many bowlers play the match before F as after the bowler who takes 9 wickets. Here, we get two possibilities i.e. Case 1 and Case 2.

From the given statements, addition of wickets taken by M and O is 15. One Bowler can take at most 10 wickets. So, they will take either 5 and 10 or 6 and 9 or 7 and 8 wickets. D takes 6 and N takes 5 wickets and M takes odd numbered wicket. So, M and O will take 7 and 8 wickets respectively. Here, Case 1 is ruled out. F gets more than 2 wickets. F takes odd numbered wickets.
So, the final arrangement will be: -

Practice Test 17: Reasoning Ability - Question 11

How is X related to R according to the given information?

Detailed Solution: Question 11

Practice Test 17: Reasoning Ability - Question 12

How is T related to W according to the given information?

Detailed Solution: Question 12

Practice Test 17: Reasoning Ability - Question 13

Directions: In each of the questions below are given some statements followed by two conclusions. You have to take the given statements to be true even if they seem to be at variance with commonly known facts. Read all the conclusions and then decide which of the given conclusions logically follows from the given statements disregarding commonly known facts.
Statements: M > K > L = O ≥ P, K < B = G ≤ Y≤ T
Conclusions: I. L > Y II. O < G

Detailed Solution: Question 13

I. L > Y (False) II. O < G (True)

Practice Test 17: Reasoning Ability - Question 14

Directions: In the given questions, assuming the given statements to be true. Find which of the given two conclusions numbered I, and II is/are definitely true and give your answer accordingly.
Statements: T > N ≥ E > I ≤ S ≤ U < X
Conclusions: I. T > I II. X > I

Detailed Solution: Question 14

I. T > I (True) II. X > I (True)

Practice Test 17: Reasoning Ability - Question 15

In a row of girls, Priya is thirteenth from the left and Dauli is seventeenth from the right. If in this row Priya is eleventh from the right then what is the position of Dauli from the left?

Detailed Solution: Question 15

Clearly, Priya is 13th from the left and 11th from the right end of the row.
So, number of girls in the row = (12 + 1 + 10) = 23. Now, Dauli is 17th from the right.
Number of girls to the left of Dauli = (23 – 17) = 6. Hence, Dauli is 7th from the left end of the row.

Practice Test 17: Reasoning Ability - Question 16

Forty boys are standing in a row facing the north. Amit is eleventh from the left and Sanjay is thirty-first from the right end of the row. How far will Shreya, who is third to the right of Amit in the row, be from Sanjay?

Detailed Solution: Question 16

Number of boys to the left of Sanjay = (40 - 31) = 9.
So, Sanjay is 10th from the left end. Shreya is third to the right of Amit. So, Shreya is 14th from the left end. Clearly, Shreya is fourth to the right of Sanjay.

Practice Test 17: Reasoning Ability - Question 17

In a class, among the passed students, Amisha is twenty-second from the top and Anuja, who is 5 ranks below Amisha, is thirty-fourth from the bottom. All the students from the class have appeared for the exam. If the ratio of the students who passed in the exam to those who failed is 4 : 1 in that class, how many students are there in the class?

Detailed Solution: Question 17

Amisha is 22nd from the top and Anuja is 5 ranks below Amisha. So, Anuja is 27th from the top. Also, Anuja is 34th from the bottom. So, Number of students passed = (26 + 1 + 33) = 60; Let the number of students passed and the number failed be 4x and x respectively. Then, 4x = 60 or x = 15. Hence, number of students in the class = (60 + 15) = 75.

Practice Test 17: Reasoning Ability - Question 18

In a certain code, TWINKLE is written as SVHOJKD then how would FILTERS be written in that code?

Detailed Solution: Question 18

Each letter in the word, except the middle letter, is moved one step backward while the middle letter is moved one step forward to obtain the corresponding letter of the code.

Practice Test 17: Reasoning Ability - Question 19

Direction: Each of the following questions below consists of a question and two statements numbered I and II given below it. You have to decide whether the data provided in the statements are sufficient to answer the question. Read both the statements and give answer.

How many runs Umesh has scored in the cricket match?
I. Umesh scored two-digit runs. His runs were more than 55.
II. Umesh scored less than 59 runs, but runs were not an even number.

Detailed Solution: Question 19

From both I and II: Possible runs: 56, 57, 58.
But runs were not an even number. So Umesh scored 57 runs

Practice Test 17: Reasoning Ability - Question 20

Direction: Each of the questions below consists of a question and two statements numbered as I and II given below it. You have to decide whether the data provided in the statements are sufficient to answer the question. Read both the statements and give answer.

How is A related to F?
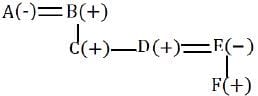
I. A has two sons B and C. C is married to D and has only three sons E, F and G.
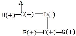
II. A is wife of B. B has two sons C and D. D is married to E. F is the son of E

Detailed Solution: Question 20

I. From the given statement:

We cannot determine the relation of A with F.
II. From the given statement:

Here, A is the grandmother of F.

665 videos|1092 docs|379 tests
Information about Practice Test 17: Reasoning Ability Page
In this test you can find the Exam questions for Practice Test 17: Reasoning Ability solved & explained in the simplest way possible. Besides giving Questions and answers for Practice Test 17: Reasoning Ability, EduRev gives you an ample number of Online tests for practice
Download as PDF