A point charge of 2.0 μC is at the centre of a cubic Gaussian surface 9.0 cm on edge. What is the net electric flux through the surface?
When an emf E = 7cos wt is applied across a circuit, the current is I = 5coswt. What is the power factor for the circuit?
A piece of iron of mass 100g is kept inside a furnace for a long time and then put in a calorimeter of water equivalent 10g containing 240g of water at 20°C. The mixture attains an equilibrium temperature of 60°C. Find the temperature of the furnace. Specific heat capacity of iron = 470J/kg-°C.
Find the total voltage applied in a series RLC circuit when i=3mA, VL=30V, VC=18V and R=1000 ohms.
The temperature inside a refrigerator is 4°C and the room temperature is 27°C. How many joules of heat will be delivered to the room for each joule of electricity consumed by the refrigerator?( Treat the refrigerator as ideal).
A simple pendulum of length l and mass (bob) M is oscillating in a plane about a vertical line between angular limits _f and f. For an angular displacement q, [|q| < f] the tension in the string and velocity of the bob are T and v respectively. The following relations hold good under the above conditions :
Tangential acceleration of a particle moving in a circle of radius 1 m varies with time t as (initial velocity of particle is zero). Time after which total cceleration of particle makes and angle of 30º with radial acceleration is
Two different metal slabs of identical length are joined in parallel. Their cross-sectional areas are A and 2A. If their thermal conductivity coefficients are K1 and K2 as shown then their equivalent conductivity for one dimensional steady heat transfer is

A block of mass 'm' is slipping down a rough inclined plane with constant speed. The force on block by plane is -

Two charges q1 and q2 are placed 30 cm apart, as shown in the figure. A third charge q3 is moved along the arc of a circle of radius 40 cm from C to D. The change in the potential energy of the system is
where k is

What will be the temperature change of 1.00 mole of CH3OH(g) if 100 J of heat is added to it under constant volume conditions?
In which of the following pairs are both the ions coloured in aqueous solutions ? [2006] (At. no. : Sc = 21, Ti = 22, Ni = 28, Cu = 29, Co = 27)
NH3(g) + 3Cl2(g) NCl3(g) + 3HCl(g) ; -ΔH1
N2(g) + 3H2(g) 2NH3(g) ; ΔH2
H2(g) + Cl2(g) 2HCl(g) ; ΔH3
The heat of formation of NCl3 (g) in the terms of ΔH1, ΔH2 and ΔH3 is
For HF, pKa = 3.45. What is the pH of an aqueous buffer solution that is 0.1M HF (aq) and 0.300 M KF (aq)?
Which of the following statements is most likely to be incorrect?
Which of the following represents chelating ligand?
If k + |k + z2| = |z|2 where k is real, then a possible argument of z is
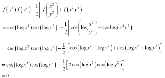
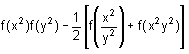
If f (x) = cos (log x), then,
has the value
If Z is the set of integers. Then, the relation R= {(a, b) :1+ ab > 0} on Z is
The fundamental period of the function f(x) = e{4{x}+3}, where {⋅} denotes the fractional part function is
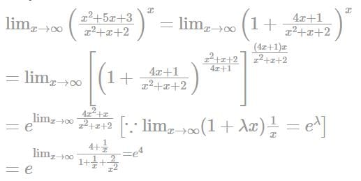
What is the value of expression after solving limits:

A tangent having slope of
to the ellipse
intersects the major and minor axes in points A and B respectively. If C is the center of the ellipse then the area of the triangle ABC is:
Suppose an ellipse and a hyperbola have the same pair of foci on the x- axis with centres at the origin and that they intersect at (2,2). If the eccentricity of the ellipse is 1/2, then the eccentricity of the hyperbola is
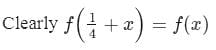
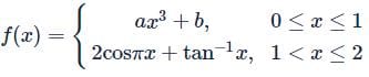
Let the function defined as
is a differentiable function in the interval (0, 2), then the value of [a + b] equals, ([⋅] represents greatest integer function)
If the pth term of an A.P. be q and qth term is p, then its rth term will be