Four liters of a diatomic ideal gas ( λ =1.4) confined to a cylinder is subject to a closed cycle. Initially, the gas is at 1.00 atm and at 300 K. First, its pressure is tripled under constant volume. Then, it expands adiabatically to its original pressure. Finally, the gas is compressed isobarically to its original volume. Find the temperature at the end of the cycle
A U-tube having horizontal arm of length 20 cm, has uniform cross-sectional area = 1 cm2. It is filled with water of volume 60 cc. What volume of a liquid of density 4 g/cc should be poured from one side into the U-tube so that no water is left in the horizontal arm of the tube?
Two cells, having the same e.m.f., are connected in series through an external resistance R. Cells have internal resistances r1 and r2 (r1 > r2) respectively. When the circuit is closed, the potential difference across the first cell is zero. The value of R is [2006
The output of a 2-input OR gate is zero only when its:
The Young’s double slit experiment is performed with blue and with green light of wavelengths 4360Å and 5460Å respectively. If x is the distance of 4th maxima from the central one, then [1990]
A radioactive substance has a half life of four months. Three fourths of the substance will decay in
A particle, with restoring force proportional to displacement and resistve force proportional to velocity is subjected to a force F sin ω0. If the amplitude of the particle is maximum for ω = ω1 and the energy of the particle is maximum for ω = ω2, then [1989,1998]
The position of a particle is given by
where t is in seconds and the coefficients have the proper units for
to be in metres. The direction of velocity of the particle at t = 1 s is
A painter is applying force himself to raise him and the box with an cceleration of 5 m/s2 by a massless rope and pulley arrangement as shown in figure. Mass of painter is 100 kg and that of box is 50 kg. If g = 10 m/s2, then :
Given below is the plot of a potential energy function U(x) for a system, in which a particle is in one dimensional motion, while a conservative force F(x) acts on it. Suppose that Emech = 8 J, the incorrect statement for this system is:

The blue compound formed in the positive test for nitrogen with Lassaigne solution of an organic compound is
Which of the following molecules contains covalent and coordinate bonds?
What is the major final product of the following sequence of reaction?
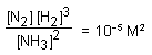
In the reaction N2 + 3H2 ⇌ 2NH3
and at some instant if

then at this instant value of
is :
The shift in electron density is symbolized by the crossed arrow in the below diagram. It depicts:

What is the major bromination product in the following reaction?
The following reaction obey rate law
It can follow mechanism
I. NO2 + O3
NO3 + O2 ,
NO3+NO2
N2O5
II. NO2 + O
NO3
NO3+NO2
N2O5
Select the correct mechanism.
What product are formed during the electrolysis of a concentrated aqueous solution of sodium chloride using an electrolytic cell in which electrodes are separated by a porous pot?
I. Cl2(g)
II. NaOH(aq)
III. H2(g)
IV. NaClO(aq)
V. NaClO3(aq)
Select the correct choice.
When (S)-2-bromopentane is brominated, several 2, 3-dibromopentane molecules are formed. Which of the following is not formed?
Which of the following relations are not correct?
If 2 sec 2α = tan β + cot β, then one of the values of α + β is
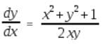
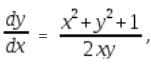
If y = y(x) is the solution of the differential equation ey
such that y(0) = 0, then y(1) is equal to:
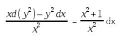
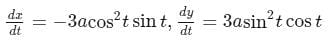
If x = acos3t, y = a sin3t, then
is equal to
From a point P(3,3) on the circle x2 + y2 = 18 two chords PQ and PR each of length 2 units are drawn on this circle. Then, the value of the length PM is equal to (where, M is the midpoint of the line segment joining Q and R)
The mean and variance of the data 4, 5, 6, 6, 7, 8, x, y, where x < y, are 6 and 9/4 , respectively. Then x4 + y2 is equal to
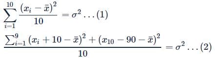
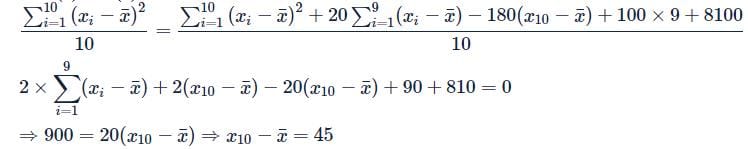
The mean and standard deviation of 10 observations x₁, x₂, x₃, ... x₁₀ are x̄ and σ respectively. Let 10 be added to x₁, x₂, ... x₉ and 90 be subtracted from x₁₀. If the standard deviation remains the same, then x₁₀ - x̄ is equal to:
∫ (2x¹² + 5x⁹) / (x⁵ + x³ + 1)³ dx is equal to
In a triangle ABC, the angle B is greater than angle A. If the values of the angle A and B satisfy the equation 3 sin x - 4 sin3 x - k = 0, 0 < k < 1, then value of C is
The number of values of k for which the system of linear equations (k + 2)x + 10y = k and kx + (k + 3)y = k - 1 has no solution is