An infinitely long rod lies along the axis of a concave mirror of focal length f. The near end of the rod is at a distance u > f from the mirror. Its image will have a length
The pressure exerted by an ideal gas is numerically equal to _________ of the mean kinetic energy of translation per unit volume of the gas.
Find the final temperature of one mole of an ideal gas at an initial temperature to t K.The gas does 9 R joules of work adiabatically. The ratio of specific heats of this gas at constant pressure and at constant volume is 4/3.
A train moving at a speed of 220 ms–1 towards a stationary object, emits a sound of frequency 1000 Hz. Some of the sound reaching the object gets reflected back to the train as echo. The frequency of the echo as detected by the driver of the train is : [2012M] (speed of sound in air is 330 ms–1)
Two sources S1 and S2 of same frequency f emits sound. The sources are moving as shown with speed u each. A stationary observer hears that sound. The beat frequency is (v = velocity of sound)

The figure shows the change in a thermodynamic system is going from an initial state A to the state B and C and returning to the state A. if UA = 0, UB = 30J an the heat given to the system in the process B → C, 50J, then find out heat given to the system or taken out from the system in the process C → A and network done in complete cycle.

A parallel beam of light in air makes an angle of 47.5∘ with the surface of a glass plate having a refractive index of 1.66. What is the angle between the reflected part of the beam and the surface of the glass?
A body is projected with velocity 20√3 m/s with an angle of projection 60° with horizontal. Calculate velocity on that point where body makes an angle 30° with the horizontal.
A radioactive nucleus of mass M moving along the positive x-direction with speed v emits an alpha particle of mass m. If the alpha particle proceeds along the positive y-direction, the centre of mass of the system (made of the daughter nucleus and the alpha particle) will:
A man in a balloon rising vertically with an acceleration of 4.9 m/sec2 releases a ball 2 sec after the balloon is let go from the ground. The greatest height above the ground reached by the ball is (g = 9.8 m/sec2)
The inputs of a NAND gate are connected together. The resultant circuit is
The output (X) of the logic circuit shown in figure will be:

A large mass M moving with velocity v makes an elastic head-on collision with a small mass m at rest. What will be the expression for energy lost by mass M?
If we double the radius of a current carrying coil keeping the current unchanged. what happens to the magnetic field at its Centre?
C2H5Br + alc. KOH → _______ + KBr +H2O
Complete the above reaction by filling in the blank using the correct option given below.
What is relationship between the following Fischer Projections?

From the following data at 25°C
Which of the following statement(s) is/are correct :
Statement(a) : ΔrH° for the reaction H2O(g) → 2H(g) + O(g) is 925 kJ/mol
Statement(b) : ΔrH° for the reaction OH(g) → H(g) + O(g) is 502 kJ/mol
Statement(c) : Enthalpy of formation of H(g) is-–218 kJ/mol
Statement(d) : Enthalpy of formation of OH(g) is 42 kJ/mol
The nature of the products formed in the following reactions is:


What is the product of the reaction of methyl cyclohexene with B2H6 in THF followed by the oxidation with alkaline H2O2?

In which of the following oxidation state Cerium achieves the noble gas configuration?
During electrolysis of acidified water ,O2 gas is formed at the anode. To produce O2 gas at the anode at the rate of 0.224 cc per second at STP,current passed is
Enthalpies of formation of CO(g) , CO2 (g) , N2O (g) and N2O4 (g) are -110, - 393, 81 and 9.7 kJ mol-1. Thus, ΔrU for the reaction at 298 K is,
(X) (C6H3CIBrCOOH) are a dihalosubstituded benzoic acids. The strongest acid among all isomers is :
The half-life period for catalytic decomposition of AB3 at 50 mm of Hg is found to be 4 hrs and at 100 mm of Hg it is 2 hrs. The order of the reaction is:
The values of x which satisfy the trigonometric equation are :
A fair die is thrown until 2 appears. Then the probability, that 2 appears in even number of throws , is
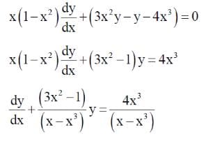
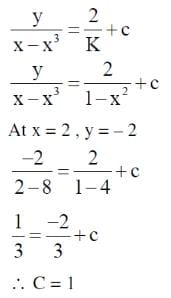
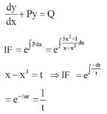
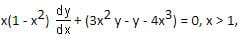
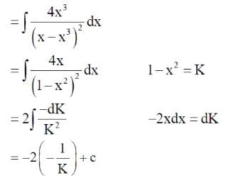
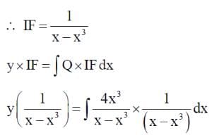
Let y = y(x) be the solution of the differential equation
with y(2) = -2. Then y(3) is equal to
The solution of the equation (y log y) dx +(x - logy) dy = 0, is
The minimum value of f(x) = |x − 1| + |2x − 1| + |3x − 1| + ……+ |119x − 1| occurs at x. Then x is equal to-