An object undergoing SHM takes 0.5 s to travel from one point of zero velocity to the next such point. The distance between those points is 50 cm. The period, frequency, and amplitude of the motion are:
A particle of mass 1 kg is hanging from a spring of force constant 100 Nm-1. The mass is pulled slightly downward and released, so that it executes free simple harmonic motion with time period T. The time when the kinetic energy and potential energy of the system will become equal is
The value of x is _______. (in integers)
If the potential difference V applied on a conductor is doubled, the drift velocity of electrons will become
In the figure shown, the pulleys and strings are massless. The acceleration of the block of mass 4m just after the system is released from rest is 

One mole of hydrogen gas is heated at constant pressure from 300 K to 420 K. Calculate the energy transferred by heat to the gas
Two simple harmonic motions of angular frequency 100 and 1000 rad s–1 have the same displacement amplitude. The ratio of their maximum accelerations is: [2008]
In a car lift, compressed air exerts a force F1 on a small piston having a radius of 5cm. This pressure is transmitted to the second piston of a radius of 15cm. If the mass of the car to be lifted is 1350 kg. What is F1?
In Young's double slit experiment, one of the slit is wider than other, so that amplitude of the light from one slit is double of that from other slit. If Im be the maximum intensity, the resultant intensity I when very interfere at phase difference f, is given by
(AIEEE 2012)
A Plano convex lens of curvature of 30 cm & R.I. 1.5, produces a real image of an object kept 90cm from it. The magnification is
A 2 cm long copper wire having mass of 6 gm, dips in to two mercury pools to form a complete circuit. The wire is placed between the poles of a magnet which causes a field strength of 0.3 T. Find the initial upward acceleration of copper wire after 100 A of current is passed through the wire (g = 10 m/s2)
Kepler’s second law states that the straight line joining the planet to the sun sweeps out equal areas in equal time. The statement is equivalent to saying that:
During an adiabatic process, the pressure of a gas is found to be proportional to the cube of its temperature. The ratio of
for the gas is
A fluid is in streamline flow across a horizontal pipe of variable area of cross section. For this which of the following statements is correct?
(T) imparts violet colour (V) Red gas
(W) Red ppt.
(W) Red ppt. white ppt.
(U) gas (gives white fumes with HCl)
sublimes on heating Identify (T) to (Z).
The general formula CnH2nO2 could be for open chain
The structure of intermediate A in the following reaction, is [2019]

For the cantilever beam of span 3 m (shown below), a concentrated load of 20 kN applied at the free end causes a vertical displacement of 2 mm at a section located at a distance of 1 m from the fixed end. If a concentrated vertically downward load of 10 kN is applied at the section located at a distance of 1 m from the fixed end (with no other load on the beam), the maximum vertical displacement in the same beam (in mm) is __________
An organic compound X is oxidised by using acidified K2Cr2O7. The product obtained reacts with Phenyl hydrazine but does not answer silver mirror test. The possible structure of X is
A sample of pure PCI5(g)was introduced into an evacuated vessel at 473 K. After equilibrium was attained, concentration of PCI5 was found to be 0.05 mol L-1.
Thus, [PCI3] and [Cl2](in mol L-1)at equilibrium are
The mid points of the sides of a triangle are (5, 0), (5, 12) and (0, 12), then orthocentre of this triangle is
If a line OP of length r (Where 'O' is the origin) makes an angle α with x-axis and lies on the xz-plane, then what are the coordinates of P?
If the standard deviation of x1, x2, …, xn is 3.5, then the standard deviation of – 2x1 – 3, – 2x2 – 3, …, – 2xn – 3 is:
if 20Cr is the co-efficient of xr in the expansion of (1+x)20 , then the value of
is equal to:
If z ≠ 1 and
is real, then the point represented by the complex number z lies : [2012]
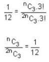
Two different families A and B are blessed with equal number of children. There are 3 tickets to be distributed amongst the children of these families, so that no child gets more than one ticket. If the probability that all the tickets go to the children of family B is 1/12, then the number of children in each family is
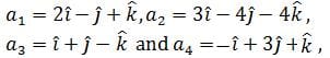
If m1, m2, m3 and m4 are, respectively the magnitudes of the vectors

then the corect order of m1, m2, m3 and m4 is
If a plane bisects the line segment joining the points (1, 2, 3) and (-3, 4, 5) at right angles, then this plane also passes through the point
Let P be a point on the parabola x2 = 4y. If the distance of P from the centre of the circle x2 + y2 + 6x + 8 = 0 is minimum, then the equation of the tangent to the parabola at P is