If x = 5t + 3t2 andy = 4t are the x and y co-ordinates of a particle at any time t second where x and y are in metre, then the acceleration of the particle
If the vectors 6i - 2j + 3k, 2i + 3j- 6k and 3i + 6j- 2k form a triangle, then it is
If a gas has n degree of freedom, ratio of principal specific heats of the gas is
Man A is sitting in a car moving with a speed of 54 km/hr observes a man B in front of the car crossing perpendicularly a road of width 15 m in three seconds. Then the velocity of man B (in m/s) will be:
The given electrical network is equivalent to:

A source (S) of sound has frequency 240 Hz. When the observer (O) and the source move towards each other at a speed v with respect to the ground (as shown in Case 1 in the figure), the observer measures the frequency of the sound to be 288 Hz. However, when the observer and the source move away from each other at the same speed v with respect to the ground (as shown in Case 2 in the figure), the observer measures the frequency of sound to be n Hz. The value of n is _______.

Which of the given relation is true for Newton’s law of cooling?
Wire of length l, carries a steady current I. It is bent first to form a circular coil of one turn. The same wire of same length is now bent more sharply to give two loops of smaller radius the magnetic field at the centre caused by the same current is
Monochromatic green light of wave length 5×10–7 m illuminates a pair of slits 1mm apart. The separation of bright lines on the interference pattern formed on a screen 2 metres away is
Three blocks with masses m, 2 m and 3 m are connected by strings as shown in the figure. After an upward force, F is applied on block m, the masses move upward at constant speed v. What is the net force on the block of mass 2m? (g is the acceleration due to gravity)
[2013]

Figure shows plot of PV/T versus P for 1.00x10-3 kg of oxygen gas at two different temperatures. What is the value of PV/T where the curves meet on the y-axis?

The speed of boat is 5 km/h in still water. It crosses a river of width 1 km along shortest possible path in 15 min. The velocity of river water is
What is current I in the circuit as shown in figure?
For the reaction A + B → C + D, the variation of concentration with time is shown in the graph below.Which of the following curves represents the concentration of a product?

An organic compound (C3H9N) (A), when treated with nitrous acid, gave an alcohol and N2 gas was evolved. (A) on warming with CHCl3 and caustic potash gave (C) which on reduction gave is opropylmethylamine. Predict the structure of (A).
Which of the following will produce a buffer solution when mixed in equal volumes ?
The highest oxidation state among transition elements is-
The non-chromium redox battery makes use of the reaction
Thus, cell diagram is
A red solid is insoluble in water. However, it becomes soluble if some KI is added to water. Heating the red solid in a test tube results in liberation of some violet coloured fumes and droplets of a metal appear on the cooler parts of the test tube. The red solid is
For the following reaction,
Variation of T50 with [A] is shown
Q.
After 10 min volume of N2 (g) is 10 L and after complete reaction, volume of N2 (g) is 50 L. Thus, T50 is
In the following conversion of chromite into soluble chromium salt
4Fe(CrO2)2+ 8Na2CO3 + 7O2 --> 2Fe2O3 + 8Na2CrO4 + 8CO2
There is
In which of the following the central atom has sp3d2-hybridisation?
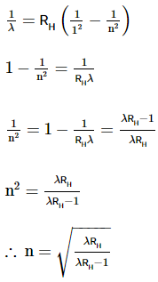
An excited hydrogen atom emits a photon of wavelength λ in returning to the ground state. If R is the Rydberg constant, then the quantum number n of the excited state is
T is a point on the tangent to a parabola y2 = 4ax at its point P. TL and TN are the perpendiculars on the focal radius SP and the directrix of the parabola respectively. Then
Let A = sin8θ + cos14θ, then for all real θ
If a circle drawn by assuming a chord parallel to the transverse axis of hyperbola
as diameter always passes through (2,0), then