If the pressure due to liquid varies with the depth y as shown in figure, then the density of the liquid is (g = 10 m/s2)

A particle with constant total energy E moves in one dimension in a region where the potential energy is U(x). The speed of the particle is zero where
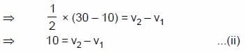
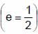
A train is running at a speed of 108 km/hr. An inspection cart is also moving with a speed 10m/s in the same direction as train. The train hits the cart
. The velocity of the cart after the collision is (in m/s) nearly.
(Assuming mass of train is much larger compared to mass of cart)
Directions: Some questions (Assertion – reason type) are given below. Each question contains Statement I (Assertion) and statement II (Reason). Each question has 4 choices (a), (b), (c) and (d) out of which only one is correct. So, select the correct choice.
Statement I If the momentum of a system is changing then it is necessary that some non-zero net force is acting on system
Statement II Law of conservation of momentum holds good in all domains of physics.
The angular velocity and the amplitude of a simple pendulum is ω and a respectively. At a displacement x from the mean position if its kinetic energy is T and potential energy is V, then the ratio of T to V is [1991]
A steady current of 1.5 amp flows through acopper voltameter for 10 minutes. If the electrochemical equivalent of copper is30 × 10–5 g coulomb–1, the mass of copperdeposited on the electrode will be [2007]
1 mole of a monoatomic gas is mixed with 3 moles of a diatomic gas. What is the molecular specific heat of the mixture at constant volume?
The specific heat of substance varies with temperature according to equation C = 2T × 10–3 cal/g K (T is absolute temperature). The amount of heat required to raise the temperature of 100 g of substance from 27°C to 47°C is
With reference to figure the elastic zone is

One mole of an ideal monatomic gas is at an initial temperature of 300 K. The gas undergoes an isovolumetric process, acquiring 500 J of energy by heat. It then undergoes an isobaric process, losing this same amount of energy by heat. Determine the work done on the gas.
A 2 m rod of mass 1 kg rotates at an angular speed of 15 rad/s about its ends. Then K.E. is
ΔH for CaCO3(s) → CaO(s) + CO2(g) is 176 kJ mol-1 at 1240 K. The ΔU for the change is equal to :
On the basis of the following E° values, the strongest oxidizing agent is : [2008]

Angular nodes in 4s- suborbit is equal to radial nodes in
Which of the following is electron deficient?
A pair of enantiomers is possible for _______ isomer of 2,2-dibromobicyclo [2.2.1] heptane.
The alkene which on reaction with HBr follows Markovnikov rule is:
The rate of a chemical reaction doubles for every 10°C rise of temperature. If the tem perature is raised by 50°C, the rate of the reaction increases by about
[AIEEE 2011]
Given below are few mixtures formed by mixing two components. Which of the following binary mixtures will have same composition in liquid and vapour phase?
(i) Ethanol + Chloroform
(ii) Nitric acid + Water
(iii) Benzene + Toluene
(iv) Ethyl chloride + Ethyl bromide
Statement I : Many trivalent lanthanide ions are coloured both in solid state and in aqueous solution.
Statement II : Colour of these ions is due to the presence of f-electrons.
How many P - O - P bonds appear in cyclic metaphosphoric acid?
For the following reaction, pick out the best term which describe its mechanism
O is the origin and A is the point (a, b, c). Deduce the equation of the plane through A at right angles to OA.
Tangents drawn from the point (-8, 0) to the parabola y2 = 8x touch the parabola at P and Q. If F is the focus of the parabola, then the area of the triangle PFQ (in sq. units) is equal to
onsider set A={1, 2, 3}. Number of symmetric relations that can be defined on A containing the ordered pair (1, 2) and (2, 1) is
If the mean of a binomial distribution is 25, then its standard deviation lies in the interval
Two numbers x and y are chosen at random without replacement from the first 30 natural numbers. The probability that x2 - y2 is divisible by 3 is
If three positive real numbers a, b, and c are in AP, with abc = 64, then minimum value of b, is
If ‘M’ and σ2 are mean and variance of random variable X, whose distribution is given by –

Then