The work function of a metallic surface is 5.01 eV. The photo-electrons are emitted when light of wavelength 2000 Å falls on it. The potential difference applied to stop the fastest photo-electrons is [ h = 4.14 x 10-15 eV sec]
If time of flight of a projectile is 10 seconds. Range is 500 m. The maximum height attained by it will be
A particle of mass m is attached to a thin uniform rod of length a and mass 4m. The distance of the particle from the centre of mass of the rod is a/4. The moment of inertia of the combination about an axis passing through O normal to the rod is

If the error in measuring the radius of the sphere is 2% and that in measuring its mass is 3%, then the error in measuring the density of material of the sphere is
If G is the universal gravitational constant and ρ is the uniform density of spherical planet.
Then shortest possible period of the planet can be
A bird flies from (-3m, 4m, -3m) to (7m, -2m, -3m) in the xyz- coordinates. The bird's displacement vector is given by
Calculate equivalent resistance when three resistances of 2 ohms, 3 ohms and 6 ohms are connected in parallel combination.
One mole of an ideal monatomic gas is at an initial temperature of 300 K. The gas undergoes an isovolumetric process, acquiring 500 J of energy by heat. It then undergoes an isobaric process, losing this same amount of energy by heat. Determine the work done on the gas.
A capacitor C1 is charged to a potential difference V. The charging battery is then removed and the capacitor is connected to an uncharged capacitor C2. The potential difference across the combination is

In an atom electrons revolves around the nucleus along a path of radius 0.72Å making 9.4×1018 revolution per second. The equivalent current is (e = 1.6×10−19C)
The number of bond pairs and lone pairs in rhombic sulphur molecule are
The following reaction can take place in both directions:
For the forward reaction, the rate varies with the concentration of A as and for the backward reaction,
Hence, net reaction rate is:
What are the conditions for an ideal solution which obeys Raoult's law over the entire range of concentration?
Which of the following compounds will exhibit geometrical isomerism?
Which among the following has longest bond length?
In the conversion of Br2 to BrO3-, the oxidation number of Br changes from
The transition metal used in X-rays tube is-
Direction: In the following questions a statement of Assertion (A) followed by a statement of Reason (R) is given. Choose the correct option out of the choices given below each question.
Assertion (A): Pent-1-ene and pent-2-ene are position isomers.
Reason (R): Position isomers differ in the position of functional group or substituent.
Identify the starting reagent needed to make the following compound by mixed aldol condensation.

Complete the given equations:
(i) Cu + 8HN O3 → 3Cu(NO3)2 + W + 4H2O
(ii) 4Zn + 10HN O3 → 4Zn(NO3)2 + 5H2O + X
(iii) I2 + 10HN O3 → Y + 10N O2 + 4H2O
The equation of the common tangent touching the circle (x-3)2 + y2 = 9 and the parabola y2 = 4x above the x-axis, is
A scientist was weighing each of 30 fishes. Their mean weight worked out is 30 g and standard deviation is 2 g. Later, it was found that the measuring scale was misaligned and always under-reported every fish's weight by 2 g. The correct mean and standard deviation (in g) of fishes, are respectively
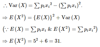
For a random variable X, if E(X) = 5 and Var(X) = 6, then E(X2) is equal to
cards are drawn from a well shuffled pack of 52 cards without replacement. If the fourth card is a king, then the chance that the first 3 cards are also king is 1 / 20820 + a, then a is equal to
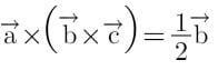
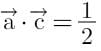
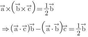
If a,b,c are three unit vectors such that
and b is not parallel to c, then the angle between a and c is:
The area (in sq. units) of the region A = {(x, y) : (x - 1) [x] ≤ y ≤ 2 √x, 0 ≤ x ≤ 2}, where [t] denotes the greatest integer function, is
The tangent to the circle x2 + y2 = 5 at (1, − 2) also touches the circle x2 + y2 − 8x + 6y + 20 = 0. Then the point of contact is
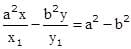
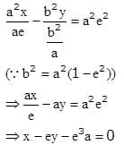
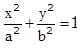
The equation of the normal to the ellipse
at the positive end of the latus rectum is