A parallel plate capacitor is connected to a battery as shown in figure. Consider two situations

(i) key KK is kept closed and plates of capacitors are moved apart using insulating handle
(ii) key KK is opened and plates of capacitors are moved apart using insulating handle
Which of the following statements is correct?
The average power dissipation in pure resistive circuit is:
If a ball of mass 1 kg makes a head-on collision with a ball of an unknown mass initially at rest such that the ball rebounds to one third of its original speed, what is the mass of the other ball?
A large mass M moving with velocity v makes an elastic head-on collision with a small mass m at rest. What will be the expression for energy lost by mass M?
The kinetic energy T of a particle of mass m moving in a circle of radius r varies with the distance traced, S as T = KS2. The tangential acceleration of the particle is
Both earth and moon are subject to the gravitational force of the sun. As observed from the sun, the orbit of the moon
Masses 1 kg, 1.5 kg, 2 kg, and “M” kg are situated at (2,1,1), (1,2,1), (2,-2,1) and (-1,4,3). What is the value of “M” if their centre of mass is at (1,1,3/2)?
In 5 seconds, an automobile speeds from 18 km/h to 36 km/h. What is the acceleration of the automobile in m/s?
In which one of the following species the central atom has the type of hybridization which is not the same as that present in the other three?
Mole fraction of a non-electrolyte in aqueous solution is 0.07. If Kf is 1.86° mol–1 kg, depression in f.p., ΔTf, is:
A 0.10 M solution of a weak acid, HX, is 0.059% ionized. Evaluate Ka for the acid.
If the vapour pressure of pure solvent A is 17.5 mm and lowering of vapour pressure of solution formed by adding a non-volatile electrolyte is 0.0175 mm then what is the relative lowering of vapour pressure?
What is the mass of urea required for making 2.5 kg of 0.25 molal aqueous solution?
Which of the following shows disproportionation reaction?
For gaseous reaction, the rate can be expressed as
What is the major product of following reaction

What will be the molarity of 30mL of 0.5M H2SO4 solution diluted to 500mL?
Direction (Q. No. 20) This section is bassed on Statment I and Statment II. II. Select the correct answer from the codes given below.
Q.
Statement I : NF3 is a weaker ligand than N(CH3)3
Statement II : NF3 ionises to give F- ions in aqueous solutio
Arrange the following compounds in decreasing order of acidity:

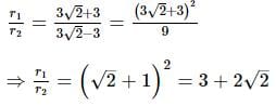
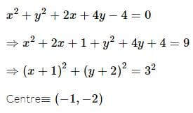
Let r1 and r2 be the radii of the largest and smallest circles, respectively, which pass through the point (−4,1) and having their centres on the circumference of the circle x2 + y2 + 2x + 4y − 4 = 0. If r1/r2 = a + b√2, then a + b is equal to:
The value of the definite integral
for 0 < α < π, equal to
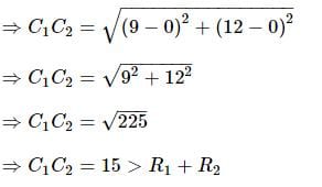
The shortest distance between the circles x2 + y2 = 1 and (x − 9)2 + (y − 12)2 = 4, is
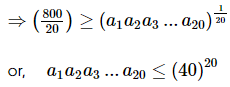
If a1, a2, a3,....,a20 are the arithmetic means between 13 and 67, then the maximum value of the product a1⋅a2⋅a3⋅....a20 is
Directions: The answer to the following question is a single digit integer ranging from 0 to 9. Enter the correct digit in the box given below.
Q. if
, then the number of solutions of 
From the focus of the parabola y2 = 8x as centre, a circle is described so that a common chord of the curves is equidistant from the vertex and focus of the parabola. The equation of the circle is
The equations ax + 9y = 1 and 9y - x - 1 = 0 represent the same line if a =
a, b, c are positive numbers and abc2 has the greatest value 1/ 64. Then
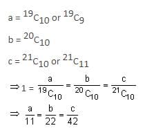
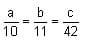
If a, b and c are the greatest values of 19Cp, 20Cq and 21Cr respectively, then