In the magnetic meridian of a certain place, the horizontal component of the earth’s magnetic field is 0.26G and the dip angle is 60o. What is the magnetic field of the earth at this location
A body of mass 0.5 kg travels on a straight line path with velocity v = (3x2 + 4) m/s. The net work done by the force during its displacement from x = 0 to x = 2 m is:
Select an incorrect alternative:
i. the radius of the nth orbit is proprtional to n2
ii. the total energy of the electron in the nth orbit is inversely proportional to n
iii. the angular momentum of the electron in nth orbit is an integral multiple of h/2π
iv. the magnitude of potential energy of the electron in any orbit is greater than its kinetic energy
In the circuit shown, if a conducting wire is connected between points A and B, the current in this wire will [2006]

A particle of mass m moving with constant velocity v strikes another particle of same mass m but moving with the same velocity v in opposite direction stick together. The joint velocity after collision will be
A silver ball of radius 4.8 cm is suspended by a thread in the vacuum chamber. UV light of wavelength 200 nm is incident on the ball for some times during which a total energy of 1 × 10–7 J falls on the surface. Assuming on an average one out of 103 photons incident is able to eject electron. The potential on sphere will be
At resonance the impedance of RLC circuit is
Equal masses of three liquids of specific heats C1, C2 and C3 at temperatures t1, t2 and t3 respectively are mixed. If there is no change of state, the temperature of the mixture is
The restoring force in a simple harmonic motion is _________ in magnitude when the particle is instantaneously at rest.
The correct statement about the following reaction is :

Which of the following reactions produces an alkene?
For the reaction in equilibrium, A B
Thus, K is
xSo2 + yMnO-4 + zH2O → Mn2+ + SO42- + H+ . In this, three values of x, y, z are
An ideal gas expands in volume from 1 × 10–3m3 to 1 × 10–2m3 at 300K against a constant pressure of 1 × 105Nm–2. The work done is
[AIEEE 2004]
obtained by chlorination of n-butane, will be [2001]
Direction: In the following questions a statement of Assertion (A) followed by a statement of Reason (R) is given. Choose the correct option out of the choices given below each question.
Assertion (A) : Simple distillation can help in separating a mixture of propan-1-ol (boiling point 97°C) and propanone (boiling point 56°C).
Reason (R) : Liquids with a difference of more than 20°C in their boiling points can be separated by simple distillation.
The equivalent conductance of
solution ofa weak monobasic acid is 8.0 mhos cm2 and at infinite dilution is 400 mhos cm2. The dissociation constant of this acid is: [2009]
Ethylene oxide, when treated with Grignard reagent, yields
Complete hydrolysis of XeF4 and XeF6 results in the formation of:
On mixing certain alkane with chlorine and irradiating it with ultraviolet light, it forms only one monochloro alkane. The alkane could be
Statement Type
This section is based on Statement I and Statement II. Select the correct answer from the codes given below.
Statement I: N2 is less reactive than P4.
Statement II: Nitrogen has more electron gain enthalpy than phosphorus.
The reciprocal of the distance between two points, one on each of the lines
(x - 2)/3 = (y - 4)/2 = (z - 5)/5 and (x - 1)/2 = (y - 2)/3 = (z - 3)/4, Then which of the following is FALSE.
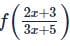
A person has to catch a train. To catch train, from his home he can take a taxi or take rickshaw or walk by foot with respective probabilities 1/2,1/3,1/6. Probability of him catching train when he takes rickshaw from his home is half that of when the takes the taxi and probability of catching the train when he walked by foot is 1/4 th that of when he takes rickshaw. He finally reached the train, the probability he walked by his foot to catch the train, is
Calculate the least whole number, which when subtracted from both the terms of the ratio 5 : 6 gives a ratio less than 17 : 22.
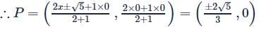
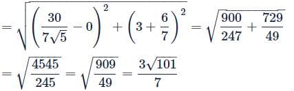
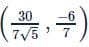
Let A be a vertex of the ellipse S ≡ (x² / 4) + (y² / 9) - 1 = 0 and F be a focus of the ellipse S' ≡ (x² / 9) + (y² / 4) - 1 = 0. Let P be a point on the major axis of the ellipse S' = 0, which divides OF in the ratio 2:1 (O is the origin). If the length of the chord of the ellipse S = 0 through A and P is
, then k = ?
Directions: The answer to the following question is a single digit integer ranging from 0 to 9. Enter the correct digit in the box given below.
Q. The points (1, 3) and (5, 1) are two opposites vertices of a rectangle and the other two vertices lie on the line y – 2x + C = 0. Then the value of C is
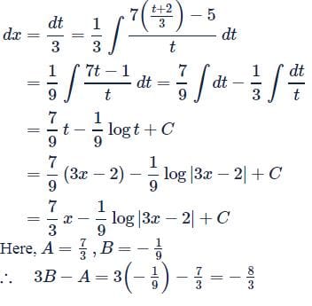
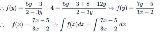
If
= x + 4,x ≠ −5/3,2/3 and ∫f(x)dx = Ax + Bln|3x−2| + C, then 3B − A =
If A and B are two square matrices such that B = –A–1 BA, then (A+B)2 is equal to