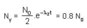
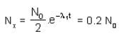
Half lives of two isotopes X and Y of a material are known to be 2 × 109 years and 4 × 109 years respectively. If a planet was formed with equal number of these isotopes, then the current age of planet, given that currently thematerial has 20% of X and 80% of Y by number, will be
The current in a coil of resistance 90 ohms is to be reduced by 90 percent. What value of resistance should be connected in parallel with it?
A train runs along an unbanked circular track of radius 30 m at a speed of 54 km/h. The mass of the train is 106 kg. What is the angle of banking required to prevent wearing out of the rail ?
Light of wavelength 4000 Â is incident on a metal of work function 3.2 x 10-19 J. What is the maximum kinetic energy of the emitted electron?
A lens of power + 2.0 D is placed in contact with another lens of power – 1.0 D. The combination will behave like
In the ideal case of zero damping, the amplitude of simple harmonic motion at resonance is:
In the figure (A) indicator diagram, the net amount of work done will be :

A constant force acting on a body of mass 3 kg changes its speed from 2 m/s to 3.5 m/s in 10 second. If the direction of motion of the body remains unchanged, what is the magnitude and direction of the force?
If the work function of a material is 2eV, then minimum frequency of light required to emit photo-electrons is
If the Young’s apparatus is immersed in water, the effect on fringe width will
A piece of copper having a rectangular cross-section of 15.2 mm × 19.1 mm is pulled in tension with 44,500 N force, producing only elastic deformation. Calculate the resulting strain? Take Young's modulus of copper as 42 × 109Pa
What happens when benzene diazonium chloride is treated with potassium cyanide in presence of Cu powder?
The correct order of increasing bond angles in the following triatomic species is : [2008]
The solubility product expression for silver(I) sulphide, using x to represent the molar concentration of silver(I) and y to represent the molar concentration of sulphide, is formulated as:
From the following data, the heat of formation of Ca(OH)2(s) at 18°C is ………..kcal:
When acetone and chloroform are mixed together, which of the following observations is correct?

In which of the following reactions oxidation number of chromium has been affected?
In the formation of which of the following compounds, only sp and sp2 hybrid orbitals are involved?
Statement I : 2, 3-dibromo butane with Zn-dust gives frans-2-butene as major product.
Statement II : frans-2-butene is more stable than c/s-2-butene.
Among [ Ni(CO)4],[ Ni(CN) 4]2- ,[ NiCl4]2- species, the hybridization states of the Ni atom are, respectively(At. No. of Ni = 28) [2004]
The lowest alkene which is capable of exhibiting geometrical isomerism is
For the following half -cell reactions ,E° values are:
Mn2+(aq) + 2H2O(l)
MnO2(s) + 4H+(aq) + 2e-, E0 = -1.23V
MnO-4 (aq) + 4H+(aq) +3e-
MnO2(s) + 2H2O(l), E0 = +1.70 V
Thus
Which of the following statements is/are incorrect for alkanes?
A. All C-H and C-C bonds are of lengths 1.12 Å and 1.54 Å, respectively.
B. All bond angles are tetrahedral, having a value of 109°28' or 109.5°.
C. The C-C chain is linear and not zigzag.
D. All alkanes exhibit isomerism.
Consider the following reactions,
I. Zn + dil. H2SO4 → ZnSO4 + H2
II. Zn + conc. H2SO4 → ZnSO4+ SO2 + H2O
Oxidising agents in I and II are

The pressure-volume work for an ideal gas can be calculated by using the expression The work can also be calculated from the pV– plot by using the area under the curve within the specified limits. When an ideal gas is compressed (a) reversibly or (b) irreversibly from volume Vi to Vf . choose the correct option.
Amongst [Co(ox)3]3- , [CoF6]3- and [Co(NH3)6]3+
Ammonia is a Lewis base. It forms complexes with cations. Which one of the following cations does not form complex with ammonia?
Two vertices of a triangle are (3, -2) and (-2, 3), and its orthocentre is (-6, 1). The coordinates of its third vertex are: