You can boost your Bank Exams 2026 exam preparation with this IDBI Bank JAM Mock Test- 3 (available with detailed solutions).. This mock test has been designed with the analysis of important topics, recent trends of the exam, and previous year questions of the last 3-years. All the questions have been designed to mirror the official pattern of Bank Exams 2026 exam, helping you build speed, accuracy as per the actual exam.
Mock Test Highlights:
Sign up on EduRev for free and get access to these mock tests, get your All India Rank, and identify your weak areas to improve your marks & rank in the actual exam.
Direction: Read the following information carefully and answer the question given below-
There are some people in a family. Olivia is the grandmother of Mia. Thomas is the husband of Sophia who is sister in law of Ava. Christopher is the maternal uncle of James and Henry. Jacob is the father of Charlie. Christopher is the uncle of Evelyn. Evelyn is the granddaughter of Olivia. Christopher is the brother of Charlie who is the husband of Ava. Mia and Evelyn is the Daughter of Ava. James & Henry is the son of Thomas.
Q. How is Ava related to Jacob?
Detailed Solution: Question 1
Direction: In the following questions, a statement is followed by some courses of action. Assume everything in the statement to be true, and decide which of the suggested courses of action logically follows for pursuing.
Statement:
Recently launched Model X of a popular Smartphone Company has major issues in camera and speaker etc.
Course of Action:
I. The company should refrain from launching new models in the near future.
II. The company should issue an apology to the customers and advise them against using it.
III. The company should discontinue the manufacture of Model X immediately.
Detailed Solution: Question 2
Direction: Read the following information carefully and answer the question given below-
When a word and number arrangement machine is given an input line of words and numbers, it arranges them following a particular rule. The following is an illustration of input and its rearrangement.
Input: 24 Inbox 11 Starred 48 Draft 31 Sent 23 Mail 72 Spam
Step I: Draft 24 Inbox 11 Starred 48 31 Sent 23 Mail Spam 72
Step II: Inbox Draft 24 Starred 48 31 Sent 23 Mail Spam 72 11
Step III: Mail Inbox Draft 24 Starred 31 Sent 23 Spam 72 11 48
Step IV: Starred Mail Inbox Draft 24 31 Sent Spam 72 11 48 23
Step V: Sent Starred Mail Inbox Draft 31 Spam 72 11 48 23 24
Step VI: Spam Sent Starred Mail Inbox Draft 72 11 48 23 24 31
Step VI is the last step of the above arrangement as the intended arrangement is obtained.
As per the rules followed in the given steps find out the appropriate steps for the given input.
Input:- 35 Odisha 22 Mizoram 57 Meghalaya 68 Manipur 79 Assam 46 Uttarakhand
Q. Which element is 6th to the right of the one which is 4th to the left element in step I ?
Detailed Solution: Question 3
Direction: Read the following information carefully and answer the question given below-
In a certain code language
Chief Open delete page is written as !6Q %8E !6P !7D
Word Bring Empty Bank is written as #7C #6C #6X #7F
Difficult Solution Find Control is written as #6G !9D %10T %11E
Bottle previous sheet parcel is written as !8C !7T !8Q &10Q.
Q. Which word among the following is the code of the words Replace Select ?
Detailed Solution: Question 4
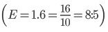
Direction: Read the following graph carefully and answer the question given below.
The following line graph represent the ratio of selling price and cost price of five different article and bar graph represent the marked price of the article.


Q. If the discount percentage on article D and E are 20% and 10% respectively, then the ratio between cost price of article D and E was:
Detailed Solution: Question 5
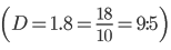
Direction: Read the following graph carefully and answer the question given below.The following line graph represent the ratio of selling price and cost price of five different article and bar graph represent the marked price of the article.


Q. If the cost price of article C and E was 50% and 80% less than their marked price. Then the approximate discount percent given on article C and E together was:
Detailed Solution: Question 6
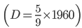
Direction: Read the following graph carefully and answer the question given below.
Charts given below describe the energy scenario of a country. Assume that the country does not export any form of energy and whatever is produced and imported is consumed in same year. Go through the charts and answer the questions.
Proportion of energy consumption in 2014
Total energy consumed =1200 MTOE(million tonne oil equivalent)

Annual (year-on-year) growth rate in consumption of different sources of energy for 2015 to 2017

Percentage of imports to consumption of different sources of energy during 2015 to 2017

Detailed Solution: Question 7
Direction: Read the following graph carefully and answer the question given below.
Charts given below describe the energy scenario of a country. Assume that the country does not export any form of energy and whatever is produced and imported is consumed in same year. Go through the charts and answer the questions.
Proportion of energy consumption in 2014
Total energy consumed =1200 MTOE (million tonne oil equivalent)

Annual (year-on-year) growth rate in consumption of different sources of energy for 2015 to 2017

Percentage of imports to consumption of different sources of energy during 2015 to 2017

Detailed Solution: Question 8
Rearrange the following sentences in the right order so that they make a grammatically correct and meaningful paragraph and answer the following questions.
A. To accelerate adoption, the government launched the FAME (Faster Adoption and Manufacturing of Electric Vehicles) scheme, offering subsidies to buyers.
B. India's automobile industry is undergoing a quiet revolution as electric vehicles gradually replace their fossil-fuel counterparts on roads.
C. However, concerns around charging infrastructure, high upfront cost, and limited battery range continue to deter potential buyers.
D. The two-wheeler and three-wheeler segments have led this transition, with electric models now accounting for a significant share of new registrations.
E. Despite these incentives, long-term success will depend on building a robust ecosystem of charging stations and locally manufactured battery cells.
F. Air pollution in cities like Delhi and Mumbai has added urgency to the push for cleaner mobility solutions.
Which sentence can be inserted between the THIRD and FOURTH sentence?
Detailed Solution: Question 9
According to the passage, how does climate change pose a risk to the banking sector's credit?
Detailed Solution: Question 10
Identify the incorrect statements as per the passage:
A. According to the passage, banks can mitigate the effects of climate change by incorporating climate-related risks into their decision-making processes.
B. The passage suggests that banks are merely passive observers of climate change.
C. The term 'climate' refers to the weather conditions over short periods.
Detailed Solution: Question 11
Which of the following numbers is wrong in the series?
6, 9, 33, 119, 601, 3599
Detailed Solution: Question 12
The marked price of the laptop is 40% more than its cost price and the shopkeeper offers a discount of x%. If he gets a profit of 5%, then find the value of x.
Detailed Solution: Question 13
What should come in place of question mark "?' in the following number series?
219, 348, ?, 738, 1011
Detailed Solution: Question 14
An electrician purchases few coolers for ₹25,640 and sold 70% of those at a profit of 25% and the rest at some loss. If he incurred an overall loss of 11%, for how much loss percent did he sell the remaining coolers for?
Detailed Solution: Question 15
A shopkeeper sold three articles. First article was sold at 10% profit, second article sold at 20% profit and third article at 15% loss. If the ratio of their selling price is 5 : 3 : 6 then find the overall profit or loss percentage? (approximately)
Detailed Solution: Question 16
Each question below is followed by two statements I and II. You have to determine whether the data given in the statements are sufficient for answering the question. You should use the data and your knowledge of Mathematics to choose the best possible answer.
What percentage of students passed the examination?
Statement I: 250 students appeared and 50 students failed.
Statement II: The number of students who passed is 4 times the number who failed.
Detailed Solution: Question 17
Name the Indian expat businessman issued with Golden Card visa by Sharjah as a part of the permanent residency system tailored for investors?
Detailed Solution: Question 18
In which of the following Indian cities, the country's first tyre park will be launched by the transport corporation of its respective state?
Detailed Solution: Question 19
Among the following what does 'Forward Rate Agreement' refers to?
Detailed Solution: Question 20
Which country's mapping and survey organization has said that Google Maps are unauthentic?
Detailed Solution: Question 21
In June 2025, the government revamped the Sugamya Bharat App to enhance accessibility for persons with disabilities (PwDs) and the elderly. This update is aimed at making the app more user-friendly and inclusive. The revamped version incorporates various features designed to assist users in navigating daily challenges. According to reports, what is the major new feature integrated into the app to provide real-time help and support for users facing accessibility issues?
Detailed Solution: Question 22
In September 2025, the "Small Business Spotlight" report, jointly published by SIDBI (Small Industries Development Bank of India) and CRIF High Mark, revealed key insights into the landscape of small business credit in India. According to the report, one Indian state stands out for its significant contribution to the small business credit market. With an impressive outstanding portfolio of ₹6.0 lakh crore, which state leads the nation in providing credit to small businesses, showcasing its strong economic growth and support for the sector?
Detailed Solution: Question 23
In July 2025, Saima Wazed, the daughter of former Bangladesh Prime Minister Sheikh Hasina, was honored with the prestigious Mental Health Award 2025 for her outstanding contributions to mental health advocacy. Saima Wazed currently holds a significant role at the World Health Organization (WHO), where she has been actively involved in promoting mental health awareness and support. What position does Saima Wazed currently serve at the WHO, and where was she awarded the Mental Health Award 2025?
Detailed Solution: Question 24
In August 2025, it was announced that the 8th Commonwealth Youth Games (CYG) will be hosted by a country in 2027. The event will feature multiple sports competitions across various clusters situated on the country's islands. More than 1,000 young athletes from 74 nations and territories are expected to participate in this prestigious sporting event. Which country has been chosen to host the 8th Commonwealth Youth Games in 2027, offering a unique experience across its islands for athletes and spectators alike?
Detailed Solution: Question 25
In August 2025, a Norwegian chess Grandmaster made history by becoming the first-ever winner of the inaugural Chess Esports World Cup, an event organized by the Esports World Cup Foundation. The prestigious tournament took place in Riyadh, Saudi Arabia, and featured some of the finest minds in the world of chess. Who was the Norwegian chess Grandmaster who triumphed in the first Chess Esports World Cup in 2025?
Detailed Solution: Question 26
In July 2025, Life Insurance Corporation of India (LIC) introduced a new plan set to be launched in September 2025, offering significant benefits to policyholders. This plan provides guaranteed additions ranging from 8.5% to 9.5% of the annual premium, making it an attractive option for long-term savings. Additionally, it allows flexible premium payment terms of 6, 8, 10, or 12 years. Which LIC plan offers these guaranteed additions and flexible premium payment options?
Detailed Solution: Question 27
In July 2025, a milestone for Indian health research was marked with the inauguration of a state-of-the-art National Biobank at CSIR-IGIB in New Delhi. This facility aims to collect diverse health, genetic, and lifestyle data from thousands across the country to advance personalized medicine and genomic studies. Who inaugurated India’s National Biobank for Health Research in 2025?
Detailed Solution: Question 28
Union Budget 2025-2026, Which of the following statements accurately reflects the changes introduced for TDS/TCS rationalization aimed at reducing taxpayer inconvenience?
The exemption limit for TDS on interest earned by senior citizens has been raised from ₹1 lakh to ₹2 lakh.
The annual TDS threshold on rental income has been revised upward from ₹2.4 lakh to ₹5 lakh.
The TCS threshold under the Liberalized Remittance Scheme of the RBI has been enhanced from ₹7 lakh to ₹10 lakh.
Detailed Solution: Question 29
In August 2025, A prominent port in Tamil Nadu made history by becoming the first port in India to achieve both the production of green hydrogen and a rooftop solar power generation capacity surpassing 1 MW. This milestone was announced during a national conference dedicated to sustainable shipping in 2025. Which port accomplished this dual green energy achievement?
Detailed Solution: Question 30