You can boost your JEE 2026 exam preparation with this JEE Main Physics Mock Test- 5 (available with detailed solutions).. This mock test has been designed with the analysis of important topics, recent trends of the exam, and previous year questions of the last 3-years. All the questions have been designed to mirror the official pattern of JEE 2026 exam, helping you build speed, accuracy as per the actual exam.
Mock Test Highlights:
Sign up on EduRev for free and get access to these mock tests, get your All India Rank, and identify your weak areas to improve your marks & rank in the actual exam.
Detailed Solution: Question 1
The acceleration due to gravity at a height 1/10th of the radius of the earth above the earth's surface is 8.2 m-s⁻1 Its value at a point at the same distance below the surface of the earth is
Detailed Solution: Question 4
Detailed Solution: Question 5
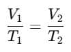
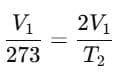
The volume of a gas will be double of what it is at 0oC (pressure remaining constant) at
Detailed Solution: Question 7
An L.C. circuit contains 10 mH inductor and a 25 μ F capacitor. The resistance of the circuit is negligible. The energy stored in the circuit is completely magnetic at time (in milli seconds) being measured from the instant when the circuit is closed
Detailed Solution: Question 8
The electric potential at any point (x,y,z) in a space is given by: V=4x2 volt. The electric field at (1,0,2) m in space is
Detailed Solution: Question 9
The horizontal range of a projectile is R, when the angle of projection is 30o. The value of another angle of projection, for the same range, is
Detailed Solution: Question 12
If a ball of 80 kg mass hits an ice cube and temperature of ball is 100oC, how much ice becomes water? Specific heat of ball is 0.2 cal/gram.
Two uncharged identical capacitors A and B, each of capacitance C, and an inductor of inductance L are arranged as shown in the adjacent figure. At t = 0, the switch S1 is closed while switch S2 remains open. At time t = t0=√LCπ/2, switch S2 is closed while switch S1 is opened.
Q. The charge on capacitor A after time t0 is
A massless metal plate is placed on a horizontal tabletop lubricated with oil. The sheet is a square of side length ℓ = 1.0m and the oil layer has thickness h = 1.0 mm. Initially one edge of the sheet coincides with one edge of the table. The sheet is pulled outwards without rotation with a constant force F = 15 N. If coefficient of viscosity of the oil is η = 0.2 N-s/m2, how long (in second) will it take to pull half of the sheet out of the table?
Detailed Solution: Question 21
Write the value of current i3 (in mA) in the circuit shown in the figure.

Detailed Solution: Question 22
A monochromatic light of wavelength 6500Å is used in YDSE. Now both slits are covered by two thin slab of refractive index 3.2 and 2.7 respectively. By doing so central bright fringe shifts to original 7th bright fringe. If both slabs have same thickness then thickness of slab is (in µm).
Detailed Solution: Question 23
A hollow sphere (mass m, radius R) is put inside a hollow cone (mass m, radius 3R and semi-angle 30°) as shown in the figure. The whole arrangement is rigidly fixed to the ground at the apex of the cone. Both the sphere and the cone are made of the same material (α = 10–4 /°C). Considering that major changes in dimensions could happen only due to heating effects, find the increase in potential energy (in Joule) of the system if it's temperature is increased by 100°C.

Detailed Solution: Question 24
A rod is clamped at both of its ends and stationary longitudinal waves are produced in it. In first experiment, the rod has a total of 4 nodes with amplitude of each anti-node to be 1 mm. In other experiment, the rod has a total of 6 nodes with amplitude of each anti node to be 2mm. The energy of vibrations in the rod in two cases is E1 and E2 respectively. Write value of E1/E2.
Detailed Solution: Question 25
360 docs|100 tests |