You can boost your Bank Exams 2026 exam preparation with this J&K Bank Clerk Mock Test - 3 (available with detailed solutions).. This mock test has been designed with the analysis of important topics, recent trends of the exam, and previous year questions of the last 3-years. All the questions have been designed to mirror the official pattern of Bank Exams 2026 exam, helping you build speed, accuracy as per the actual exam.
Mock Test Highlights:
Sign up on EduRev for free and get access to these mock tests, get your All India Rank, and identify your weak areas to improve your marks & rank in the actual exam.
Direction: Read the sentence given below to find out if it contains any error. The error, if any, will be in one part of the sentence. If the sentence is error-free, select option (E). Ignore error of punctuation if any.
Q. Dean wasn't sure if it was her (A)/ natural aversion to anything (B)/ involving law enforcement (C)/ or concern to her boss' future (D)/. No error (E)
Detailed Solution: Question 1
Direction: Read the sentence given below to find out if it contains any error. The error, if any, will be in one part of the sentence. If the sentence is error-free, select option (E). Ignore error of punctuation if any.
Q. The secretary(A)/ has diploma(B)/ in both Education(C)/ and Linguistics.(D)/ No error. (E)
Detailed Solution: Question 2
Direction: Read the sentence given below to find out if it contains any error. The error, if any, will be in one part of the sentence. If the sentence is error-free, select option (E). Ignore error of punctuation if any.
Q. This was not a mangy (A)/ or vicious creature standing in front of him, (B)/ but a breathtaking beautiful,(C)/ gigantic wolf. (D) No error. (E)
Detailed Solution: Question 3
Five statements are given below, which are jumbled in any random order. Arrange the sentence in the right order and answer the questions that follow
A. However, the streaming giant, Netflix, recently struck a discordant note.
B. In the cyber age, sharing a password with someone is the ultimate sign of friendship, love and trust.
C. Given the rising inflation around the world, sharing one Netflix account is not just good for relationships but also for the pocket.
D. A study has shown that about 84 percent of Indians share their passwords with their partners — be it for cell phones, digital wallets or OTT platforms.
E. It has started charging some people a surcharge for using a single account outside one’s ‘primary home’.
Q. After rearrangement, which among the following will be the fourth statement?
Detailed Solution: Question 4
Direction: In the following passage, some of the words have been left out. Read the passage carefully and select the correct answer for the given blanks out of the given alternatives.
Canada, the world's second _____ (1) country by landmass, is effectively _____ (2) out of land even though the real-estate infrastructure is _____ (3) compared to anywhere else in the world. This is happening due to the worsening imbalance _____ (4) supply and demand. The buyers in the country want large homes however builders can’t _____ (5) them due to the unavailability of enough space in and around the major cities where people work. Canadians usually _____ (6) single detached houses and now these may soon be out of _____ (7) in the places where people want to live.
Q. Choose the most appropriate word for blank (1):
Detailed Solution: Question 5
Direction: In the following passage, some of the words have been left out. Read the passage carefully and select the correct answer for the given blanks out of the given alternatives.
Canada, the world's second _____ (1) country by landmass, is effectively _____ (2) out of land even though the real-estate infrastructure is _____ (3) compared to anywhere else in the world. This is happening due to the worsening imbalance _____ (4) supply and demand. The buyers in the country want large homes however builders can’t _____ (5) them due to the unavailability of enough space in and around the major cities where people work. Canadians usually _____ (6) single detached houses and now these may soon be out of _____ (7) in the places where people want to live.
Q. Choose the most appropriate word for blank (2):
Detailed Solution: Question 6
Direction: In the following passage, some of the words have been left out. Read the passage carefully and select the correct answer for the given blanks out of the given alternatives.
Canada, the world's second _____ (1) country by landmass, is effectively _____ (2) out of land even though the real-estate infrastructure is _____ (3) compared to anywhere else in the world. This is happening due to the worsening imbalance _____ (4) supply and demand. The buyers in the country want large homes however builders can’t _____ (5) them due to the unavailability of enough space in and around the major cities where people work. Canadians usually _____ (6) single detached houses and now these may soon be out of _____ (7) in the places where people want to live.
Q. Choose the most appropriate word for blank (5):
Detailed Solution: Question 7
Direction: In the following passage, some of the words have been left out. Read the passage carefully and select the correct answer for the given blanks out of the given alternatives.
Canada, the world's second _____ (1) country by landmass, is effectively _____ (2) out of land even though the real-estate infrastructure is _____ (3) compared to anywhere else in the world. This is happening due to the worsening imbalance _____ (4) supply and demand. The buyers in the country want large homes however builders can’t _____ (5) them due to the unavailability of enough space in and around the major cities where people work. Canadians usually _____ (6) single detached houses and now these may soon be out of _____ (7) in the places where people want to live.
Q. Choose the most appropriate word for blank (6):
Detailed Solution: Question 8
Study the information given below and answer the following questions.
The pie chart given below shows the percentage distribution of students who learn five different curriculum activities(CCA) in school.
Total number of students who learn five different CCA = 15,000

Q. The number of students who learn keyboard is what percent more or less than the number of students who learn Karate?
Detailed Solution: Question 9
Direction: The number of panchayat members of 2 neighboring villages is compiled under various categories like age, gender, religion, etc in the chart given below. Study the chart carefully and answer the questions that follow:

Q. If 6 members from Rampur panchayat are shifted to Bholapur panchayat so as to have equal number of members in both panchayats, how many members will be below 30 years of age in both the panchayats taken together (approximate percentage)?
Detailed Solution: Question 10
Direction: The number of panchayat members of 2 neighboring villages is compiled under various categories like age, gender, religion, etc in the chart given below. Study the chart carefully and answer the questions that follow:

Q. What is the ratio of graduates and post graduates in Rampur Panchayat to that in Bholapur Panchayat?
Detailed Solution: Question 11
Direction: The number of panchayat members of 2 neighboring villages is compiled under various categories like age, gender, religion, etc in the chart given below. Study the chart carefully and answer the questions that follow:

Q. If 20 members in Rampur panchayat whose education is ”less than secondary” go to school for a graduate degree, what will be approximate percentage of graduates in Rampur village panchayat after they get the degree?
Detailed Solution: Question 12
Direction: The number of panchayat members of 2 neighboring villages is compiled under various categories like age, gender, religion, etc in the chart given below. Study the chart carefully and answer the questions that follow:

Q. If this chart is prepared after 10 years, assuming the same members work in the gram panchayat in Rampur, what will the percentage of people with less than 30 years of age (approximately)?
Detailed Solution: Question 13
Study the following information carefully and answer the related questions
The following table represents the number of toys(car, puppet, and clay sets)sold in four different months i.e (January, February, March, and April)

Q. Total number of toys sold in January and March is how much more than the number of puppets and clay sets together sold in February?
Detailed Solution: Question 14
What will come in the place of the question mark (?) in the following number series?
1, 8, 2, 7, 3, 6, 4, 5, ??
Detailed Solution: Question 15
What will come in the place of the question mark (?) in the following number series?
81, 27, 18, 18, 24, 40, ?
Detailed Solution: Question 16
What will come in the place of the question mark (?) in the following number series?
63, 65, 62, 67, 60, 71, 58, 75, ?
Detailed Solution: Question 17
Find the missing term in the series.
5, 5, 15, 75, 525, ?
Detailed Solution: Question 18
What approximate value will come in the place of question mark(?) in the following questions? (You are not expected to calculate the exact value)
125% of 279.63-?=403.98
Detailed Solution: Question 19
What approximate value will come in the place of question mark(?) in the following questions? (You are not expected to calculate the exact value)
6.013 + 295.02/4.95 = x
Detailed Solution: Question 20
What approximate value will come in the place of question mark(?) in the following questions? (You are not expected to calculate the exact value)
19.97% of 89.9-44.44% of 98.9+√899=x
Detailed Solution: Question 21
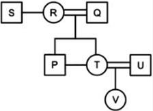
Direction: These questions are based on the following information.
There are seven family members – P, Q, R, S, T, U, and V. R is the maternal grandmother of V. Q is the husband of R. S is the brother-in-law of Q. P is the nephew of S. T is the mother of V. U is the son-in-law of Q. There are four males in the family.
Q. How is P related to Q?
Detailed Solution: Question 22
Study the following information carefully and answer the questions given below.
E G 2 I F ! 3 5 & C $ 7 A D U 8 + 9 = ? 6 S W # @ X 4 1 Y
Q. How many such numbers are there in the above arrangement each of which is immediately followed by a letter and also immediately preceded by a consonant?
Detailed Solution: Question 23
Direction: Read the following information carefully and answer the questions that follow:
Pratyush, Zeenat, Rakesh, Esha, Lalit and Girish are six actors. Zeenat have done films less than only Rakesh. Girish have done five films more than Pratyush. Pratyush have done two films less than Esha. Lalit have done films more than Girish. The least films done by these actors is 50 films.
Q. What may be the number of films done by Lalit?
Detailed Solution: Question 24
Direction: Read the following information carefully and answer the questions that follow:
Pratyush, Zeenat, Rakesh, Esha, Lalit and Girish are six actors. Zeenat have done films less than only Rakesh. Girish have done five films more than Pratyush. Pratyush have done two films less than Esha. Lalit have done films more than Girish. The least films done by these actors is 50 films.
Q. Who have done the second least number of films?
Detailed Solution: Question 25
Study the following information carefully and answer the questions given below.
Eight persons- G, H, I, J, K, L, M and N are sitting around a square table in such a way that four of them are sitting on the corners and facing inside the table while four of them are sitting in the middle of the sides and facing outside the table.
Two persons sit between G and L who doesn’t sit in the middle of the sides. K sits immediate left of L. I sits second to the left of K. J sits third to the left of I. The number of persons sitting between I and G is one less than the number of persons sitting between M and N when counted from the right of both M and G. H is an immediate neighbour of N but doesn’t sit adjacent to I.
Q. Who among the following person sits opposite to the one who sits second to the right of L?
Detailed Solution: Question 26
Study the following statements and then decide which of the given conclusions logically follows from the given statements disregarding the commonly known facts.
Statements
Only a few NEFT is IMPS
No IMPS is SWIFT
Only a few SWIFT is RTGS
All RTGS is CTS
Conclusions:
I) Some CTS is IMPS
II) No IMPS is CTS
Detailed Solution: Question 27
Study the following statements and then decide which of the given conclusions logically follows from the given statements disregarding the commonly known facts.
Statements:
Some Domestic is Foreign
All Foreign are tourist
No Tourist is National
Some National is International
Conclusions:
I) All International may be Tourist
II) Some Domestic is not national
Detailed Solution: Question 28
Direction: In the question below are given two statements followed by two conclusions numbered I and II. You have to take the given statements to be true even if they seem to be at variance with commonly known facts. Read all the conclusions and then decide which of the given conclusions logically follows from the given statements disregarding commonly known facts.
Statements:
I. No car is bus.
II. No bus is truck.
Conclusions:
I. Some bus is car.
II. No truck is car.
Detailed Solution: Question 29
Study the following information carefully and answer the questions given below.
Nine rockets- A, B, C, D, E, F, G, H and I were launched in nine different months January, February, March, April, May, June, July, August and September of the same year.
Rocket F was launched either in January or July. Only three rockets were launched between D and F. C was launched two months before D. The number of rockets launched between C and E is one less than the number of rockets launched after E. G was launched before E but not in the month having minimum number of days. Rocket A was launched before H but after G. Only two rockets were launched between H and I.
Q. If the difference between the number of matches played by K and H is 20, then what is the sum of the number of matches played by I and K?
Detailed Solution: Question 30