You can boost your Regulatory Body Exams 2026 exam preparation with this RBI JE EE Mock Test - 1 (available with detailed solutions).. This mock test has been designed with the analysis of important topics, recent trends of the exam, and previous year questions of the last 3-years. All the questions have been designed to mirror the official pattern of Regulatory Body Exams 2026 exam, helping you build speed, accuracy as per the actual exam.
Mock Test Highlights:
Sign up on EduRev for free and get access to these mock tests, get your All India Rank, and identify your weak areas to improve your marks & rank in the actual exam.
If every Sunday of any month is on the fourth, eleventh eighteenth and twenty-fifth, then which day will be the last day of the month if the first day of the month is Thursday?
Detailed Solution: Question 1
DIRECTIONS: In the following questions, find the missing letters in the given series.
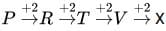
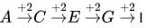
AOP, CQR, EST, GUV,?
Detailed Solution: Question 2
Detailed Solution: Question 3
In a row of students, if John, who is 16th from the left, and Johnson, who is 8th from the right, interchange their positions, John becomes 33rd from left. How many students are there in the row?
Detailed Solution: Question 4
DIRECTIONS: In the following question, a piece of paper is folded in the manner shown in the question figure(s). Select the figure out of the answer choices showing the unfolded pattern after the punches (cut).

Detailed Solution: Question 5
DIRECTIONS: In each of the following questions, four words have been given, out of which three are alike in some manner, and the fourth one is different. Choose out the odd one.
Detailed Solution: Question 6
If CRICKET is coded as FULFNHW, then BRIDE would be coded as-
Detailed Solution: Question 7
An A.C. source has an internal resistance of 104 ohm. The turn ratio of a transformer so as to match the source of a load of resistance 10 ohm, is?
Detailed Solution: Question 8
In an LR circuit, R = 10 Ω and L = 2H. If an alternating voltage of 120V and 60Hz is connected in this circuit, then the value of current flowing in it will be _______ A (nearly)
Detailed Solution: Question 9
The total load taken from an a.c. supply consists of
A- a heating load of 15 kW
B- a motor load of 40 kVA at p.f. 0.6 lagging
C- a load of 20 kW at p.f. 0.8 lagging
A capacitor is connected in parallel with load and p.f. raised to unity. The kVAR rating of the capacitor should be
Detailed Solution: Question 10
The voltage across a load is v(t) = 60(ωt-10∘)cos V and the current through the load in the direction of the voltage drop is i(t)=1.5cos(ωt+50∘)A The reactive power is
Detailed Solution: Question 11
Two incandescent bulbs of rating 230 V, 100 W and 230 V. 500 W are connected parallel across the mains. As a result, what will happen?
Detailed Solution: Question 12
In a ____________ circuit, the total resistance is smaller than the smallest resistance in the circuit.
Detailed Solution: Question 13
In a 3-phase induction motor, starting torque will be maximum when-
Detailed Solution: Question 14
What will the maximum power (in W) transferred from the source to the load of the circuit given below?

Detailed Solution: Question 15
If the discharge voltage of a thyite arrester is 373 kV RMS and the rated voltage is 211 kV RMS, the discharge factor of the arrester is -
Detailed Solution: Question 16
The low voltage winding of a 300 kVA, 11000/2200 V, 50 Hz transformer has 190 turns and a resistance of 0.06 Ω The high voltage side has 910 turns and a resistance of 1.6 Ω. When low voltage winding is short-circuited, the full-load current is obtained with 550 V applied to h.b. side. What is the equivalent resistance referred to high voltage side?
Detailed Solution: Question 17
A 10 kVA, 2000/400 V single-phase transformer has a primary resistance and inductive reactance of 5 Ω and 12 Ω respectively. The secondary values are 0.2 Ω and 0.48 Ωrespectively. What is the impedance of the transformer referred to the secondary side?
Detailed Solution: Question 18
Detailed Solution: Question 19
Detailed Solution: Question 20
A 200/400 V, 20 kVA, 50 Hz single-phase transformer has, at full-load, a copper loss of 120 W. If it has an efficiency of 98% at full-load, determine the iron losses.
Detailed Solution: Question 21
A current wave starts at zero, rises instantaneously, then remains at a value of 20 A for 10 sec, then decreases instantaneously, remaining at a value of -10A for 20 sec, and then repeats this cycle. The RMS value of the wave is.
Detailed Solution: Question 22
The impedance reflected back to the source in Fig. is………………..

Detailed Solution: Question 23
Below are given alternatives to the underlined part which may improve the sentence.
Q. He "is wanting in a little" common sense.
Detailed Solution: Question 24
Below are given alternatives to the underlined part which may improve the sentence.
Q. The workers should have been more meticulous.
Detailed Solution: Question 25
Directions (87-91): In the following five questions, a sentence/a part of the sentence is underlined. Below are given alternatives to the underlined part which may improve the sentence. Choose the correct alternative. In case no improvement is needed blacken the circle corresponding to “No improvement”
Q. No one "cared for the boy after his father died."
Detailed Solution: Question 26
In the following questions, sentences are given with blanks to be filled in with an appropriate word(s).
Q. The .............of the 'Chief' was ............ upon him.
Detailed Solution: Question 27
Directions (81-83): In the following three questions, some parts of the sentences have errors and some are correct. Find out which part of a sentence has an error and blacken the circle corresponding to the appropriate correct option.
Q. He finds fault at everything I do.
Detailed Solution: Question 28
Directions (96): In the following one question, four words are given in each question, out of which only one word is correctly or wrongly spelt.
Directions (95): In the following three questions, out of the four alternatives, choose the one which can be substituted for the given words/sentences.
Q. A place of good climate for invalids.