You can boost your Regulatory Body Exams 2026 exam preparation with this RBI JE EE Mock Test - 2 (available with detailed solutions).. This mock test has been designed with the analysis of important topics, recent trends of the exam, and previous year questions of the last 3-years. All the questions have been designed to mirror the official pattern of Regulatory Body Exams 2026 exam, helping you build speed, accuracy as per the actual exam.
Mock Test Highlights:
Sign up on EduRev for free and get access to these mock tests, get your All India Rank, and identify your weak areas to improve your marks & rank in the actual exam.
If a mirror is placed on the line MN, then which of the following answer figures will be the correct reflection of the question figure?

Detailed Solution: Question 1
Which of the following word can't be made from the word 'PHARMACEUTICAL.'
Detailed Solution: Question 2
Amongst the following words, which will appear fourth in the dictionary?
Detailed Solution: Question 3
Raju ranks 10th from the top, and Ravi ranks 24st from the bottom. If there are 3 students between, then how many students are there in the class?
Detailed Solution: Question 4
Which one set of letters, when sequentially placed at the gaps in the given letter series, shall complete it?
m_m_am_a_mam
Detailed Solution: Question 5
Sathi is older than Renu. Geeth is younger than Renu, Priya is older than Sathi. Who is the oldest of them?
Detailed Solution: Question 6
Detailed Solution: Question 7
Detailed Solution: Question 8
A piece of paper is folded and cut, shown below in the question figure. From the given answer figure indicates how it will appear when opened.

Detailed Solution: Question 9
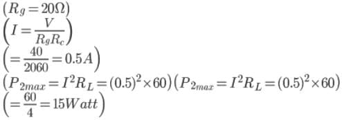
If (Rg) in the circuit shown in the figure is variable between
and
, then maximum power transferred to the load (Rl) will be-

Detailed Solution: Question 10
Detailed Solution: Question 11
In 132 kV system, the phase to ground capacitance is 0.01 μA, and inductance is 6H. The voltage that appears across the contacts of circuit breaker if a magnetizing current of 10 A is interrupted is
Detailed Solution: Question 12
In case of slow developing faults transformer, the Buchholz relay
Detailed Solution: Question 13
The RMS value of high frequency AC signal applied to a PMMC instrument is 120V. then reading of PMMC instrument will be –
Detailed Solution: Question 14
If two capacitances C1 and C2 are connected in parallel, then the equivalent capacitance is given by-
Detailed Solution: Question 15
The average voltage at the output of FWR is ____________.
Detailed Solution: Question 16
Detailed Solution: Question 17
A current of {3+√3 sin (314t+45)+√2 cos(314t+30)} is measured by using thermocouple instrument. Reading of the instrument is –
Detailed Solution: Question 18
Which of the following is an appropriate use for a voltmeter?
Detailed Solution: Question 19
Detailed Solution: Question 20
=A symmetrical fault occurs on a power system. The percentage reactance of the system on 2600 base kVA. If the base voltage of 25 kV for the given system then find Fault current is
Detailed Solution: Question 21
Find out which part of a sentence has an error and blacken the circle corresponding to the appropriate correct option.
Q. The Ganges has overflowed its banks and each of the four villages are flowed
Detailed Solution: Question 22
PASSAGE – I
In November 1981, he joined Sydenham college as a professor of political economic and worked there for two years. With his little savings, some help from the Maharaja of Kolhapur, and with a loan of five thousand rupees form his friend, Naval Bhathena, he left for England in 1920 to complete his studies in Law and Economics and kept his terms at Gray's Institute of Law. He turned his attention to the London Museum whire the relics of the saintly and scientific thoughts are preserved, where the fuins of the antique world are displayed and where Karl Marx, Nazzini, Lenin and Savarkar had dug for knowledge and digested it, In the Museum, he poured over books from morning till evening. Time was an important factor with him. To Save both money and time, he would go without lunch. After this, the second round of reading begins at his residence.
The endless reading would go on till early morning. He told his room-mate that his poverty and want of time required him to finish his studies as early as possible.
During these studies in London for academic eminence, he had not forgotten the real aim in his life. He could not for a minute forget the dumb faces of the untouchables in India.
He took up this matter with the Secretary of State for India and also held discussions with Mr. Vithalbhai Patel in London. Nor paper read before the Students Union and also on his famous thesis "The Problem of the Rupees", he exposed the hollowness of the British policies in India, which caused a stir in the academic world of London and Ambedkar was suspected to be an Indian Revolutionary.
Q. Why did Dr. Ambedkar try to finish his studies as early as possible ?
PASSAGE – I
In November 1981, he joined Sydenham college as a professor of political economic and worked there for two years. With his little savings, some help from the Maharaja of Kolhapur, and with a loan of five thousand rupees form his friend, Naval Bhathena, he left for England in 1920 to complete his studies in Law and Economics and kept his terms at Gray's Institute of Law. He turned his attention to the London Museum whire the relics of the saintly and scientific thoughts are preserved, where the fuins of the antique world are displayed and where Karl Marx, Nazzini, Lenin and Savarkar had dug for knowledge and digested it, In the Museum, he poured over books from morning till evening. Time was an important factor with him. To Save both money and time, he would go without lunch. After this, the second round of reading begins at his residence.
The endless reading would go on till early morning. He told his room-mate that his poverty and want of time required him to finish his studies as early as possible.
During these studies in London for academic eminence, he had not forgotten the real aim in his life. He could not for a minute forget the dumb faces of the untouchables in India.
He took up this matter with the Secretary of State for India and also held discussions with Mr. Vithalbhai Patel in London. Nor paper read before the Students Union and also on his famous thesis "The Problem of the Rupees", he exposed the hollowness of the British policies in India, which caused a stir in the academic world of London and Ambedkar was suspected to be an Indian Revolutionary.
Q. Name Dr. Ambedkar's friend who helped him to go to England
Choose the one which best expresses the meaning of the given word.
VINDICTIVE
Directions (97-98): In the following two questions, choose the word opposite in meaning to the given word.
JETTISON
Directions (93-95): In the following three questions, out of the four alternatives, choose the one which can be substituted for the given words/sentences.
Q. An emolument over and above fixed income or salary
Directions (81-83): In the following two questions, sentences are given with blanks to be filled in with an appropriate word(s). Four alternatives are suggested for each question.
Q. ...........wins this civil war there will be little rejoicing at the victory
Detailed Solution: Question 28
Directions (76-80): You have a passage with five questions following. Read the passage carefully and choose the best answer to each question out of the four alternatives.
PASSAGE – I
In May 1966, the World Health Organisation was authorised to initiate a global campaign to eradicate smallpox. The goal was to eradicate the disease in one decade. Because similar projects for malaria and yellow fever had failed, few believed that smallpox could actually be eradicated; but eleven after the initial organisation of the campaign, no cases were reported in the field.
The strategy was not only to provide mass vaccinations, but also to isolate patients with active smallpox in order to contain the spread of the disease and to break the chain of human transmission. Rewards for reporting small-pox assisted in motivating the public to aid health workers. One by one, each small-pox victime was sought out, removed form contact with others and treated. At the same time, the entire village where the victim had lived was vaccinated.
Today small-pox is no longer a threat to humanity. Routine vaccinations have been stopped worldwide.
Q. Which of the following is the best title for the passage?
PASSAGE – I
Although speech is the most advanced form of communication, there are many ways of communicating without using speech. Signals, signs, symbols and gestures may be found in every known culture. The basic function of a signals is to impinge upon the environment in such a way that it, attracts attention, as, for example, the dots and dashes of a telegraph circuit. Coded to refer to speech, the potential for communication is very great. Less adeptable to the codification of words, signs also contain meaning in and of themselves. A stop sign, for example, conveys meaning quickly and conveniently. Symbols are more difficult to describe them either signals or signs because of their intricate relationship with the receiver's cultural perceptions. In some cultures applauding in a theatre provides performers with an auditory symbol of approval. Gestures such as waving and handshaking also communicate certain cultural messages.
Although signals, signs, symbols and gestures are very useful, they do have a major disadvantage. They usually do not allow ideas to be shared without the sender being directly adjacent to the receiver. As a result, means of communication intended to be used for long distances and extended periods are based upon speech. Radio, television and the telephone are only a few of such means.
Q. Choose the most appropriate title for the passage.