You can boost your Regulatory Body Exams 2026 exam preparation with this RBI JE EE Mock Test - 4 (available with detailed solutions).. This mock test has been designed with the analysis of important topics, recent trends of the exam, and previous year questions of the last 3-years. All the questions have been designed to mirror the official pattern of Regulatory Body Exams 2026 exam, helping you build speed, accuracy as per the actual exam.
Mock Test Highlights:
Sign up on EduRev for free and get access to these mock tests, get your All India Rank, and identify your weak areas to improve your marks & rank in the actual exam.
A child is looking for his father. He went 90 metres in the east before turning to his right. He went 20 metres before turning to his right again to look for his father at his uncle's place 30 metres from this point. His father was not there. From here, he went 100 metres to his north before meeting his father in the street. How far did the son meet his father from the starting point?
Detailed Solution: Question 1
Direction: What will come in place of the question mark (?) in the following number series?
8, 24, 12, ?, 18, 54
Detailed Solution: Question 2
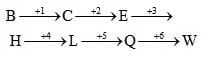
Find the next two letters in the given series.
B, C, E, H, L, ??
Detailed Solution: Question 3
From the given answer figures, select the one in which the question figure is hidden/embedded in the same direction.

Detailed Solution: Question 4
Find out a set of numbers amongst the four sets of numbers given in the alternatives, which is the most similar to the numbers given in the question.
Given: (6, 30, 90)
Detailed Solution: Question 5
M is the son of P. Q is the granddaughter of O, O is the husband of P. How is M related to O?
Detailed Solution: Question 6
In the given question, select the answer shape that questions can be made from pieces of a shape.

Detailed Solution: Question 7
Direction: In each of the following questions, select the related word/letters/number from the given alternatives.
ABE: 8:: KLO:?
Detailed Solution: Question 8
Direction: In each of the following questions, select the related word/letters/number from the given alternatives.
5 : 27 : : 9 : ?
Detailed Solution: Question 9
Direction : In each of the following questions, select the related word/letters/number from the given alternatives.
6 : 10 : : 11 : ?
Detailed Solution: Question 10
Direction: In each of the following questions, select the related word/letters/number from the given alternatives.

Detailed Solution: Question 11
If SPARK is coded as TQBSL, what will be the code for FLAME?
Detailed Solution: Question 12
A voltmeter, when connected across a DC supply, reads 124 V. When a series combination of the voltmeter and an unknown resistance X is connected across the supply, the meter reads 4V. If the resistance of the voltmeter is. the value of X is-
Detailed Solution: Question 13
For the given V-I characteristic find out the value of dynamic resistance Rac?

Detailed Solution: Question 14
Compared to the beaking capacity of a circuit breaker, its making capacity should be-
Detailed Solution: Question 15
A ammeter of resistance (Rm) has placed an arrangement as shown in the figure. Material of (Rm), (Rsh), is copper, whereas that of (RS, Rx) is manganin. The condition for which the meter performance is compensated against temperature is-

Detailed Solution: Question 16
A balanced 3-phase, 3-wire supply feeds balanced start connected resistors. If one of the resistors is disconnected, the percentage reduction in load will be-
Detailed Solution: Question 17
Detailed Solution: Question 18
To minimise the errors due to lead and contact resistances, low resistances used in electrical measurement work are provided with-
Detailed Solution: Question 19
Three equal impedances are first connected in delta across a 3-phase balanced supply. If the same impedances are connected in star across the same supply-
Detailed Solution: Question 20
Directions (100): In the following one question, four words are given in each question, out of which only one word is correctly or wrongly spelt.
Detailed Solution: Question 21
Below are given alternatives to the underlined part which may improve the sentence. Choose the correct alternative. In case no improvement is needed blacken the circle corresponding to “No improvement”
Q. Please remind me of "posting" these letters to my relatives.
Detailed Solution: Question 22
Find out which part of a sentence has an error and blacken the circle corresponding to the appropriate correct option.
Q. You should avoid to travel in the rush hour
Detailed Solution: Question 23
PASSAGE – I
The first step is for us to realise that a city need not be a frustrater of life; it can be among other things, a mechanism for enhancing life, for producing possibilities of living which are not to be realized except through cities. But, for that to happen, deliberate and drastic planning is needed. Towns as much as animals, must have their systems of organsthose for transport and circulation are an obvious example.
What we need now are organ systems for recreation, leisure, culture, community expression. This means abundance of open space, easy access to unspoilt Nature, beauty in parks and in fine buildings, gymnasia and swimming baths and recreation grounds in plenty, central spaces for celebrations and demonstrations, halls for citizens' meetings, concert halls and theatres and cinemas that belong to the city. And the buildings must not be built anyhow or dumped down anywhere; both they and their groupings should mean something important to the people of the place.
Q. A suitable title for the passage would be :
Detailed Solution: Question 24
Passage – I
It is strange that, according to his position in line, an extravagant man is admired or despised. A successful businessman does nothing to increase his popularity by being careful with his money. He is expected to display his success, to have a smart car, an expensive life, and to be lavish with his hospitality. If he is not so, he is considered mean and his reputation in business may even suffer in consequence. The paradox remains that if he had not been careful with his money in the first place, he would never have achieved his present wealth. Among the low income group, a different set of values exists. The young clerk who makes his wife a present of a new dress when he hadn’t paid his house rent, is condemned as extravagant. Carefulness with money to the point of meanness is applauded as a virtue. Nothing in his life is considered more worthy than paying his bills. The ideal wife for such a man separates her housekeeping money into joyless little piles– so much for rent, for food, for the children’s shoes; she is able to face the milkman with equanimity and never knows the guilt of buying something she can’t really afford. As for myself, I fall into neither of these categories. If have money to spare, I can be extravagant, but when, as is usually the case, I am hard up, then I am the meanest man imaginable.
Q. Which of the following would be the most suitable title for the passage?
Passage – I
It is strange that, according to his position in line, an extravagant man is admired or despised. A successful businessman does nothing to increase his popularity by being careful with his money. He is expected to display his success, to have a smart car, an expensive life, and to be lavish with his hospitality. If he is not so, he is considered mean and his reputation in business may even suffer in consequence. The paradox remains that if he had not been careful with his money in the first place, he would never have achieved his present wealth. Among the low income group, a different set of values exists. The young clerk who makes his wife a present of a new dress when he hadn’t paid his house rent, is condemned as extravagant. Carefulness with money to the point of meanness is applauded as a virtue. Nothing in his life is considered more worthy than paying his bills. The ideal wife for such a man separates her housekeeping money into joyless little piles– so much for rent, for food, for the children’s shoes; she is able to face the milkman with equanimity and never knows the guilt of buying something she can’t really afford. As for myself, I fall into neither of these categories. If have money to spare, I can be extravagant, but when, as is usually the case, I am hard up, then I am the meanest man imaginable.
Q. The word ‘parodox’ means :
Passage – I
It is strange that, according to his position in line, an extravagant man is admired or despised. A successful businessman does nothing to increase his popularity by being careful with his money. He is expected to display his success, to have a smart car, an expensive life, and to be lavish with his hospitality. If he is not so, he is considered mean and his reputation in business may even suffer in consequence. The paradox remains that if he had not been careful with his money in the first place, he would never have achieved his present wealth. Among the low income group, a different set of values exists. The young clerk who makes his wife a present of a new dress when he hadn’t paid his house rent, is condemned as extravagant. Carefulness with money to the point of meanness is applauded as a virtue. Nothing in his life is considered more worthy than paying his bills. The ideal wife for such a man separates her housekeeping money into joyless little piles– so much for rent, for food, for the children’s shoes; she is able to face the milkman with equanimity and never knows the guilt of buying something she can’t really afford. As for myself, I fall into neither of these categories. If have money to spare, I can be extravagant, but when, as is usually the case, I am hard up, then I am the meanest man imaginable.
Q. It seems that low paid people should
Directions (96-100): You have a passage with five questions following. Read the passage carefully and choose the best answer to each question.
Passage – I
It is strange that, according to his position in line, an extravagant man is admired or despised. A successful businessman does nothing to increase his popularity by being careful with his money. He is expected to display his success, to have a smart car, an expensive life, and to be lavish with his hospitality. If he is not so, he is considered mean and his reputation in business may even suffer in consequence. The paradox remains that if he had not been careful with his money in the first place, he would never have achieved his present wealth. Among the low income group, a different set of values exists. The young clerk who makes his wife a present of a new dress when he hadn’t paid his house rent, is condemned as extravagant. Carefulness with money to the point of meanness is applauded as a virtue. Nothing in his life is considered more worthy than paying his bills. The ideal wife for such a man separates her housekeeping money into joyless little piles– so much for rent, for food, for the children’s shoes; she is able to face the milkman with equanimity and never knows the guilt of buying something she can’t really afford. As for myself, I fall into neither of these categories. If have money to spare, I can be extravagant, but when, as is usually the case, I am hard up, then I am the meanest man imaginable.
Q. In the opinion of the writer, a successful businessman
Choose the alternative which best expresses the meaning of the Idiom/Phrase.
Cheek by jowl
Choose the alternative which best expresses the meaning of the Idiom/Phrase.
On the level