You can boost your Regulatory Body Exams 2026 exam preparation with this RBI JE EE Mock Test - 5 (available with detailed solutions).. This mock test has been designed with the analysis of important topics, recent trends of the exam, and previous year questions of the last 3-years. All the questions have been designed to mirror the official pattern of Regulatory Body Exams 2026 exam, helping you build speed, accuracy as per the actual exam.
Mock Test Highlights:
Sign up on EduRev for free and get access to these mock tests, get your All India Rank, and identify your weak areas to improve your marks & rank in the actual exam.
If a mirror is placed on the line MN, then which of the answer figures is the right image of the given figure ?
Question figure:

Answer figure:

Detailed Solution: Question 1
If A%B means A is mother of B, A&B means A is father of B and if A ($) B means A is daughter of B, then what does P%Q ($) R&S means?
Detailed Solution: Question 2
Select the odd word/letters/number/word pair/number pair from the given alternatives.
Detailed Solution: Question 3
From the given answer figures, select the one in which the question figure is hidden/embedded.
Question figure:

Answer figure:

Detailed Solution: Question 4
Detailed Solution: Question 5
Detailed Solution: Question 6
Detailed Solution: Question 7
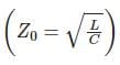
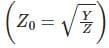
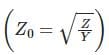
The coupling between two magnetically coupled coils is said to be ideal if the coefficient of coupling is-
Detailed Solution: Question 8
From a uniform light source of 500 CP, a surface 15 meter below, find the value of illumination when rays are inclined at an angle to (60°) to the surface.
Detailed Solution: Question 9
Detailed Solution: Question 10
Detailed Solution: Question 11
Detailed Solution: Question 12
The ratio of active power and apparent power is known as-
Detailed Solution: Question 13
For the purpose of starting an induction motor,
switch is equivalent to an auto-transform of ratio
Detailed Solution: Question 14
A 100W bulb is connected in series with a room heater. If now 100W bulb is replaced by a 40W bulb, the heater output will
Detailed Solution: Question 15
Detailed Solution: Question 16
Which of the following inductors will have the least eddy current losses?
Detailed Solution: Question 17
Three light bulb are connected in series to a 100V battery. Find the current through a bulb.

Detailed Solution: Question 18
Detailed Solution: Question 19
What is the maximum number of lighting points that can be connected in a circuit-
Detailed Solution: Question 20
Detailed Solution: Question 21
Sentences are given with blanks to be filled in with an appropriate word(s).
The …… words of the mother comforted the…..child.
Below are given alternatives to the underlined part which may improve the sentence. Choose the correct alternative. In case no improvement is needed blacken the circle corresponding to “No improvement”
All the allegations "leveled against" him were found to be baseless.
Below are given alternatives to the underlined part which may improve the sentence. Choose the correct alternative. In case no improvement is needed blacken the circle corresponding to “No improvement”
The farmer’s way of life can be " contrasted to" that of the factory worker.
Choose the one which can be substituted for the given words/sentences.
A young swan.
Choose the one which can be substituted for the given words/sentences.
Murder of one’s children
Choose the one which best expresses the meaning of the given word and.
EVINCE
Choose the word opposite in meaning to the given word.
DEMENTED
Choose the one which best expresses or opposite in the meaning of the given word.
Prognosis
Detailed Solution: Question 29
Directions (91-92): In the following two questions, four alternatives are given for the Idiom/phrase underlined in the sentence. Choose the alternative which best expresses the meaning of the Idiom/Phrase.
"Wee hours"
Detailed Solution: Question 30