You can boost your Regulatory Body Exams 2026 exam preparation with this RBI JE EE Mock Test - 6 (available with detailed solutions).. This mock test has been designed with the analysis of important topics, recent trends of the exam, and previous year questions of the last 3-years. All the questions have been designed to mirror the official pattern of Regulatory Body Exams 2026 exam, helping you build speed, accuracy as per the actual exam.
Mock Test Highlights:
Sign up on EduRev for free and get access to these mock tests, get your All India Rank, and identify your weak areas to improve your marks & rank in the actual exam.
A series is given with one term missing. Choose the correct alternative from the given ones that will complete the series.
New Delhi, India, Lucknow, ?
Detailed Solution: Question 1
Direction: In each of the following questions, a series is given with one term missing. Choose the correct alternatives from the given ones that will complete the series.
A, CD, GHI, _ _ _ _, UVWXYZ
Detailed Solution: Question 2
From the given alternative words, select the word which cannot be formed using the letters of the given word:
PROVINCLALISM
Detailed Solution: Question 3
Direction: In each of the following questions, select the one which is different from the other three.
Detailed Solution: Question 4
Detailed Solution: Question 5
Identify the diagram that best represents the relationship among the given classes.
Omnivores, Bear, Dear
Detailed Solution: Question 6
Detailed Solution: Question 7
The current in a 2.2 kΩ resistor is i(t)=5 sin(2π×100t+45∘)mA. What is the instantaneous value of resistor voltage at t = 0.4ms?
Detailed Solution: Question 8
The condition of a semiconductor diode can be determined quickly using:
Detailed Solution: Question 9
Detailed Solution: Question 10
A series circuit has R = 4Ω , XL = 12Ω , and XC = 9Ω and is supplied with 200 V, 50 Hz Calculate the power.
Detailed Solution: Question 11
The flux through each turn of a 100-turn coil is t2 - 2t m Wb, where 't' is in second. Find the magnitude of the induced emf at t=2 s.
Detailed Solution: Question 12
Detailed Solution: Question 13
Which of the following expression is the mathematical representation of Mass Action law in electronics?
Detailed Solution: Question 14
An industrial consumer has a daily load pattern of 2000 kW, 0.8 lag for 12 hours and 1000 kW UPF for 12 hours. The load factor is-
Detailed Solution: Question 15
Detailed Solution: Question 16
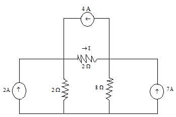
Consider the following circuit.

What is the equivalent resistance between points A and B when VA < VB?
Detailed Solution: Question 17
A moving coil instrument has a resistance of 10 and gives full-scale deflection at 0.5 V potential difference across it. How can it be adapted to measure a current upto 100 A ?
Detailed Solution: Question 18
Detailed Solution: Question 19
A 200/400 V, 20 kVA, 50 Hz single-phase transformer has, at full-load, a copper loss of 120 W. If it has an efficiency of 98% at full-load, determine the iron losses.
Detailed Solution: Question 20
A 250 V d.c. shunt motor takes a total current of 20 A. Resistance of shunt field winding is 200 Ω and that of armature is 0.3 Ω What is the current in the armature?
Detailed Solution: Question 21
The following is the apparent disadvantage of auto transformer as compared to two-winding transformer
Detailed Solution: Question 22
The impedance reflected back to the source in Fig. is………………..

Detailed Solution: Question 23
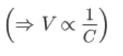
A piece of oil soaked paper has been inserted between the plates of a parallel plate capacitor. Then the potential difference between the plates will
Detailed Solution: Question 24
Detailed Solution: Question 25
Detailed Solution: Question 26
Detailed Solution: Question 27
Detailed Solution: Question 28
Detailed Solution: Question 29
Detailed Solution: Question 30