CBSE Class 9  >  Class 9 Test  >  Mathematics (Maths)   >  Test: Number Systems - 2 - Class 9 MCQ

Number Systems - 2 - Free MCQ Practice Test with solutions, Class 9 Maths


MCQ Practice Test & Solutions: Test: Number Systems - 2 (25 Questions)

You can prepare effectively for Class 9 Mathematics (Maths) Class 9 with this dedicated MCQ Practice Test (available with solutions) on the important topic of "Test: Number Systems - 2". These 25 questions have been designed by the experts with the latest curriculum of Class 9 2026, to help you master the concept.

Test Highlights:

  • - Format: Multiple Choice Questions (MCQ)
  • - Duration: 25 minutes
  • - Number of Questions: 25

Sign up on EduRev for free to attempt this test and track your preparation progress.

Test: Number Systems - 2 - Question 1

How many prime number are there between 0 and 30 :-

Detailed Solution: Question 1

There are 10 prime numbers between 0 and 30 which are: 2,3,5,7,11,13,17,19,23,29. Number one is not a prime number.
Now, for 1, the number of positive divisors or factors is only one i.e. 1 itself.  

Test: Number Systems - 2 - Question 2

Two irrational numbers between 2 and 2.5 are :-

Detailed Solution: Question 2

Correct Answer:
a) √5 and √6
We are asked to find two irrational numbers between 2 and 2.5.

Let’s check the values:

  • √2 = 1.414 (irrational but not between 2 and 2.5)

  • √4 = 2 (not between 2 and 2.5, and also rational)

  • √5 ≈ 2.236 (irrational and between 2 and 2.5 )

  • √6 ≈ 2.449 (irrational and between 2 and 2.5 )

  • √9 = 3 (greater than 2.5 )

So, √5 and √6 are both irrational and lie between 2 and 2.5, hence option (a) is correct.

Test: Number Systems - 2 - Question 3

The exponential form of   is :-

Detailed Solution: Question 3

Test: Number Systems - 2 - Question 4

The rational form of –25.6875 is :-

Detailed Solution: Question 4


Test: Number Systems - 2 - Question 5

The rational form of   is :-

Detailed Solution: Question 5

As the bar is under two digits multiply with 100

100x = 2.7435*100

100x = 274.35

now subtract with x terms

that gives

99x = 274.35 - 2.7435

99 x = 271.61

x = 271.61/99

x = 27161/9900

Test: Number Systems - 2 - Question 6

The value of   is :-

Detailed Solution: Question 6

To solve it, we can cancel the recurring part after the decimal by multiplying x by 10 and 1000 and then subtracting the 10x from 1000x.

Test: Number Systems - 2 - Question 7

Which of the following is not a rational number :-

Detailed Solution: Question 7

√4 = 2, √9 = 3, √16 = 4 but √2 = 1.414 it is a non-terminating and non-repeating number and such numbers are called irrational numbers. So, √2 is not a rational number.

Test: Number Systems - 2 - Question 8

(2√3 +√3) is equal to

Detailed Solution: Question 8

(2√3 +√3) = 3√3       ( By addition of like terms )

So option C is correct answer. 

Test: Number Systems - 2 - Question 9

The number  is :-

Detailed Solution: Question 9


Test: Number Systems - 2 - Question 10

Find the remainder when 6799 is divided by 7

Detailed Solution: Question 10

63 is divisible by 7 for any power, so required remainder will depend on the power of 4
Required remainder 

find remainder when 99/4 ( by 4 because to check periodicity)

Test: Number Systems - 2 - Question 11

The value of  is

Detailed Solution: Question 11

Step 1: Let x Represent the Repeating Decimal

Let:
x = 5.2222... (where 2 repeats forever)

Step 2: Multiply by 10 to Shift the Decimal Point

Multiply both sides by 10 to move the decimal point one place to the right:
10x = 52.2222...

Step 3: Subtract the Original Equation from the New One

Now subtract the original equation (x = 5.2222...) from this new equation:
10x - x = 52.2222... - 5.2222...
9x = 47

Step 4: Solve for x

x = 47 / 9

Final Answer

The exact value of 5.2222... (or ) is 47/9

Test: Number Systems - 2 - Question 12

The sum of the digits of a number is subtracted from the number, the resulting number is always divisible by which of the following numbers?

Detailed Solution: Question 12

The resulting number is always divisible by 9. e.g.,

Consider 47.

Sum of its digits is 4+7=11

So,47−11=36 which is exactly divisible by 9

Test: Number Systems - 2 - Question 13

The value of  is  :- 

Detailed Solution: Question 13

Test: Number Systems - 2 - Question 14

If 2x = 4y = 8z and  = 4, then the value of x is :-

Detailed Solution: Question 14


Test: Number Systems - 2 - Question 15

If 9x-1 = 32x-1 – 486 then the value of x is :-

Detailed Solution: Question 15

Given the equation 9x-1 = 32x-1 - 486:1. Rewrite 9x-1 as (32)x-1, which simplifies to 32(x-1) or 32x - 2.2. The equation becomes: 32x - 2 = 32x - 1 - 4863. Rearrange terms: 32x - 2 - 32x - 1 = -486 4. Factor out 32x - 2: 32x - 2(1 - 3) = -486 Simplifying inside the parentheses: 32x - 2(-2) = -4865. Divide both sides by -2: 32x - 2 = 243 6. Recognize that 243 = 35, so: 2x - 2 = 5 7. Solve for x: 2x = 7 implies x = 3.5Thus, the correct answer is A, 3.5.

Test: Number Systems - 2 - Question 16

If  a = 1/ (3-2√2)  &  b =  1/ ( 3+2√2)  then the value of a2 +b2 is :-

Detailed Solution: Question 16

a = 1/ (3-2√2) 

b =  1/ ( 3+2√2) 

∴ ab =  1/(3-2√2) * 1/ (3+2√2) 

=>  1/ (9-8) 

=> 1 

We know; 

(a+b)2 = a2 + b+ 2ab

And, a2+ b2 = (a+b)2 - 2ab

=> [ 1/(3-2√2) + 1/(3+2√2) ]2 -2*1

=> [3+2√2+3-2√2 / 1]^2 -2 

=> (6)2 - 2 

=>  36 - 2
=>  34

Test: Number Systems - 2 - Question 17

  is equal to :-

Detailed Solution: Question 17

2n(24-2) + 2-3
2nx2x23
14 + 2-3
24
7/8+1/8
1

Test: Number Systems - 2 - Question 18

If 22x-y = 32 and 2x-y = 16 then x2 + y2 :-

Detailed Solution: Question 18

Test: Number Systems - 2 - Question 19

The value of is :-

Detailed Solution: Question 19

Test: Number Systems - 2 - Question 20

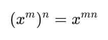
The value of 

Detailed Solution: Question 20

Given expression

Step 1: Apply exponent rule

Step 2: Simplify the numerator

So exponent becomes:

Step 3: Factor and simplify

Final Answer:
  

                         

Test: Number Systems - 2 - Question 21

Detailed Solution: Question 21

[(x)2]1/3]1/4

= [(x2)1/12] (as 1/3 * 1/4 = 1/12)

= x1/6 (as 2/12 = 1/6)

Test: Number Systems - 2 - Question 22

The value of 4√3 – 3 √12 + 2 √75 on simplifying is :-

Detailed Solution: Question 22

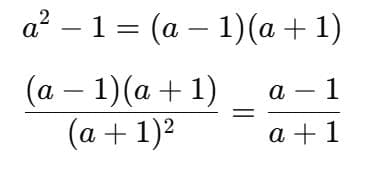
Test: Number Systems - 2 - Question 23

If √3 = 1.732, √5 = 2.236, then the value of  is :-

Test: Number Systems - 2 - Question 24

The product of 4 √6 and 3√24 is :-

Detailed Solution: Question 24

4√6*3√24=4√6*3√2*√2*√*2*√3

=4√6*6√6

4*6*√6*√6=4*6*6=24*6=144

Test: Number Systems - 2 - Question 25

If a = , b = , then the value of a + b is :-

40 videos|468 docs|55 tests
Information about Test: Number Systems - 2 Page
In this test you can find the Exam questions for Test: Number Systems - 2 solved & explained in the simplest way possible. Besides giving Questions and answers for Test: Number Systems - 2, EduRev gives you an ample number of Online tests for practice
40 videos|468 docs|55 tests
Download as PDF