Electrical Engineering (EE) Exam  >  Electrical Engineering (EE) Test  >  Signals and Systems  >  Test: Continuous Time Convolution - Electrical Engineering (EE) MCQ

Continuous Time Convolution - Free MCQ Practice Test with solutions, GATE


MCQ Practice Test & Solutions: Test: Continuous Time Convolution (20 Questions)

You can prepare effectively for Electrical Engineering (EE) Signals and Systems with this dedicated MCQ Practice Test (available with solutions) on the important topic of "Test: Continuous Time Convolution". These 20 questions have been designed by the experts with the latest curriculum of Electrical Engineering (EE) 2026, to help you master the concept.

Test Highlights:

  • - Format: Multiple Choice Questions (MCQ)
  • - Duration: 15 minutes
  • - Number of Questions: 20

Sign up on EduRev for free to attempt this test and track your preparation progress.

Test: Continuous Time Convolution - Question 1

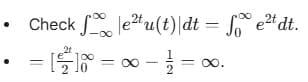
If h(t) = e2tu(t), is the system stable?

Detailed Solution: Question 1

Concept: Stability check using absolute integrability.

Calculation:

Since the integral is infinite, the system is Unstable.

Test: Continuous Time Convolution - Question 2

The convolution of a signal x(t) with a shifted impulse function δ(t − t0) results in:

Detailed Solution: Question 2

  • The Shifting Property of the impulse function states that convolving a signal x(t) with a shifted impulse δ (t - t0) shifts the original signal by t0
  • Math: x(t) * δ(t - t0) = x(t - t0)

Test: Continuous Time Convolution - Question 3

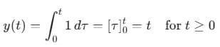
If x(t) = u(t) and h(t) = u(t), where u(t) is the unit step function, the convolution y(t) = x(t) * h(t) is:

Detailed Solution: Question 3

Concept: Convolution of two unit steps results in a ramp.

Math:

Since u(τ)=1 for τ ≥ 0 and u(t - τ) = 1 for τ ≤ t, the integral limits become 0 to t (for t ≥ 0).

Therefore, y(t) = tu(t) = r(t) .

Test: Continuous Time Convolution - Question 4

Two rectangular pulses of equal width W and height 1 are convolved. The resulting signal shape is:

Detailed Solution: Question 4

  • Equal Width: Convolving two rectangular pulses of equal width results in a Triangular pulse.
  • Unequal Width: Convolving two rectangular pulses of unequal width results in a Trapezoidal pulse.
  • Calculation: Total width = Sum of individual widths W + W = 2W .

Test: Continuous Time Convolution - Question 5

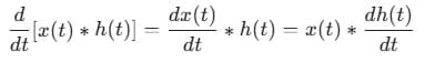
Consider the property of convolution: d/dt [x(t) * h(t)]
This is equivalent to:

Detailed Solution: Question 5

The Differentiation Property of convolution states:

Test: Continuous Time Convolution - Question 6

If a signal x(t) has a duration from t = −1 to t = 3, and the impulse response h(t) has a duration from t = 2 to t = 6, what is the duration of the output y(t) = x(t) * h(t)?

Detailed Solution: Question 6

  • Concept: The Width Property. If x(t) exists in [tx1, tx2] and h(t) in [th1, th2] , the output y(t) exists in [tx1 + th1, tx2 + th2] .
  • Calculation:
    • Lower limit: −1 + 2 = 1
    • Upper limit: 3 + 6 = 9
    • Duration: 1 to 9.

Test: Continuous Time Convolution - Question 7

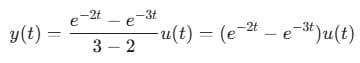
The convolution of x(t) = e-2tu(t) and h(t) = e-3tu(t) is

Detailed Solution: Question 7

Concept: Standard formula for convolution of exponentials 
Calculation: Here a = 2 , b = 3 .

Test: Continuous Time Convolution - Question 8

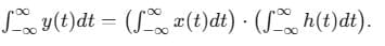
Which of the following statements regarding the Area Property of convolution is true? (Where Ax) is the area of x(t) , etc.

Detailed Solution: Question 8

Concept: The Area Property. The area under the convolution integral is the product of the areas under the individual signals.

Math

Test: Continuous Time Convolution - Question 9

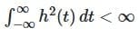
For a Linear Time Invariant (LTI) system to be BIBO (Bounded Input Bounded Output) stable, the impulse response h(t) must satisfy:

Detailed Solution: Question 9

Concept: BIBO Stability. For a continuous-time LTI system to be stable, the impulse response must be absolutely integrable.
Math: 

Test: Continuous Time Convolution - Question 10

The convolution of x(t) = sinc(t) with h(t) = sinc(t) is proportional to:

Detailed Solution: Question 10

Concept: Frequency domain multiplication.

  • (Ideal Low Pass Filter).
  • Convolution in time = Multiplication in frequency.
  • Taking Inverse Fourier Transform: y(t) = sinc(t).

Result: It is proportional to sinc(t).

Test: Continuous Time Convolution - Question 11

 If the step response of a system is s(t), then the impulse response h(t) is given by:

Detailed Solution: Question 11

  • Concept: Impulse response is the derivative of step response.

Test: Continuous Time Convolution - Question 12

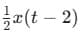
Let x(t) = rect(t/2) and h(t) = rect(t/4) . The resulting convolution y(t) will be:

Detailed Solution: Question 12

Concept: Convolution of two rectangular pulses with unequal widths ( W1 = 2 , W2 = 4 ) produces a Trapezoidal pulse.
Details:

  • Rise/Fall time = Smaller width (2).
  • Flat top duration = Difference in widths |4 - 2| = 2.
  • Total duration = Sum of widths 2 + 4 = 6 .

Test: Continuous Time Convolution - Question 13

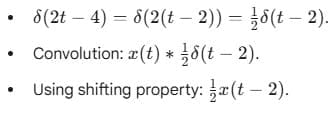
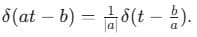
Calculate x(t) *δ(2t - 4)

Detailed Solution: Question 13

Concept: Scaling property of the impulse function: 
Calculation:

Test: Continuous Time Convolution - Question 14

The convolution of a signal x(t) with itself is called:

Detailed Solution: Question 14

Concept:

  • x(t) * x(t) is Autoconvolution.
  • x(t) * x(-t) is Autocorrelation (for real signals).

Test: Continuous Time Convolution - Question 15

If x1(t) * x2(t) X1(s)X2(s) (Laplace Transform pair), what is the convolution in the time domain equivalent to in the frequency domain?

Detailed Solution: Question 15

Concept: Convolution Theorem. Convolution in the time domain corresponds to multiplication in the s-domain (Laplace) or frequency domain (Fourier).

Test: Continuous Time Convolution - Question 16

Which of the following signals plays the role of the identity element in the convolution operation?

Detailed Solution: Question 16

Concept: The impulse function δ(t) is the Identity Element of convolution because x(t) * δ(t) = x(t).

Test: Continuous Time Convolution - Question 17

Two LTI systems with impulse responses h1(t) and h2(t) are connected in cascade. The equivalent impulse response is:

Detailed Solution: Question 17

Concept: Cascade Connection. When two LTI systems are connected in series (cascade), their equivalent impulse response is the convolution of their individual impulse responses.

Test: Continuous Time Convolution - Question 18

Compute u(t - 1) * δ(t + 2) .

Detailed Solution: Question 18

Concept: Shifting property. x(t) * δ(t + t00.
Calculation:

  • Here x(t) = u(t - 1) and shift is +2 .
  • Replace t with t + 2 in x(t) .
  • y(t) = u((t + 2) - 1) = u(t + 1) .

Test: Continuous Time Convolution - Question 19

If x(t) = t,u(t) (Ramp) and h(t) = δ(t) - δ(t - 1) , find y(t) .

Detailed Solution: Question 19

Concept: Distributive property.
Calculation:
y(t) = x(t) * δ(t) - δ(t - 1)] .
y(t) = [x(t) * δ(t)] - [x(t) * δ(t -t - 1)] .
y(t) = x(t) - x(t - 1) .
Substitute x(t) = tu(t) .
y(t) = tu(t) - (t - 1)u(t - 1) .

Test: Continuous Time Convolution - Question 20

Which property of convolution allows us to say x(t) * h(t) = h(t) * x(t) ?

Detailed Solution: Question 20

Concept: The property that order does not matter ( x * h = h * x ) is the Commutative Property.

41 videos|72 docs|33 tests
Information about Test: Continuous Time Convolution Page
In this test you can find the Exam questions for Test: Continuous Time Convolution solved & explained in the simplest way possible. Besides giving Questions and answers for Test: Continuous Time Convolution, EduRev gives you an ample number of Online tests for practice
41 videos|72 docs|33 tests
Download as PDF