All Exams  >   SSC CHSL  >   General Knowledge  >   All Questions

All questions of Physics for SSC CHSL Exam

An aeroplane is flying horizontally with a velocity of 600 km/h and at a height of 1960 m. When it is vertically at a point A on the ground a bomb is released from it. The bomb strikes the ground at point B. The distance AB is
  • a)
    1200m
  • b)
    0.33 km
  • c)
    3.33 km
  • d)
    33 km
Correct answer is option 'C'. Can you explain this answer?

Ojasvi Mehta answered
The answer is option c 
First resolve the motion is 2 components 1st horizontal and 2nd vertical .
1st vertical component :-
As there is no velocity in the vertical direction so in Italy velocity there will be zero but the gravitational force is acting in that direction so the accleration in the vertical direction will be g(10)m/s^2
Apply equation of motion here and u will get the time i.e about 19.79sec .
Then we have no acceleration in the horizontal direction so simply 
Velocity[horizontal] =distance /time 
Hence distance will be 3.33km.

It is more difficult to walk on a sandy road than on a concrete road because
  • a)
    sand is soft and concreter is hard
  • b)
    the friction between sand and feet is less than that between concrete and feet
  • c)
    the friction between sand and feet is more than that between concrete and feet
  • d)
    the sand is grainy but concrete is smooth
Correct answer is option 'B'. Can you explain this answer?

Neha Verma answered
Friction and Difficulty of Walking on Different Surfaces
The difficulty of walking on different surfaces is determined by the friction between the surface and our feet. Let's analyze why it is more difficult to walk on a sandy road compared to a concrete road.
1. Definition of Friction
- Friction is the force that opposes motion when two surfaces come into contact with each other.
- It is responsible for providing traction and grip, allowing us to walk without slipping.
2. Friction and Walking
- When we walk, our feet push against the ground, creating a force that propels us forward.
- The friction between our feet and the ground resists this forward force, allowing us to maintain balance and move forward.
3. Sand vs. Concrete
- Sand is a loose, granular material made up of small particles, whereas concrete is a solid, rigid material.
- The differences in their physical properties affect the friction between these surfaces and our feet.
4. Friction and Sand
- Sand has a lower coefficient of friction compared to concrete.
- The coefficient of friction is a measure of the frictional force between two surfaces.
- In the case of sand, the loose particles do not provide as much resistance to motion, resulting in less friction between the sand and our feet.
5. Friction and Concrete
- Concrete has a higher coefficient of friction compared to sand.
- The solid and smooth surface of concrete provides more grip and resistance to motion, resulting in higher friction between the concrete and our feet.
6. Difficulty of Walking on Sand
- Due to the lower friction between sand and our feet, it is more difficult to walk on a sandy road.
- The lack of grip and increased sliding effect make it harder to maintain balance and propel ourselves forward efficiently.
Conclusion
In conclusion, walking on a sandy road is more difficult than walking on a concrete road because the friction between sand and our feet is less than that between concrete and our feet. The loose and granular nature of sand reduces the resistance to motion, making it harder to maintain balance and move forward effectively.

Planets do not twinkle because
  • a)
    they emit light of a constant intensity
  • b)
    their distance from the earth does not change with time
  • c)
    they are very far away from the earth resulting in decrease in intensity of light
  • d)
    they are nearer to earth and hence we receive a greater amount of light and, therefore minor variations in the intensity are not noticeable
Correct answer is option 'D'. Can you explain this answer?

Aashna Nambiar answered
Understanding Why Planets Do Not Twinkle
The phenomenon of twinkling, or stellar scintillation, is primarily observed in stars rather than planets. Let's delve into the reasons why planets appear stable in brightness compared to stars.
Closer Proximity
- Planets are part of our solar system and are significantly closer to Earth than stars, which are light-years away.
- Their proximity means that the light we receive from them is less affected by atmospheric disturbances.
Greater Light Intensity
- Due to their closeness, planets emit a greater amount of light that reaches Earth.
- This stronger light intensity makes minor fluctuations in brightness less noticeable to the human eye.
Stable Light Emission
- Unlike stars, which are massive and undergo various nuclear processes leading to fluctuating brightness, planets reflect sunlight.
- Their light intensity remains relatively constant, contributing to a steadier appearance.
Atmospheric Effects
- Stars twinkle due to the Earth's atmosphere, which causes the light from distant stars to bend and scatter.
- Since planets are nearer, the light distortion is minimal and does not produce the same twinkling effect.
In summary, the correct answer is option 'D' because planets, being nearer to Earth, deliver a more stable light source. This proximity means that any minor variations in their light intensity are not easily perceived, distinguishing them from the twinkling stars in our night sky.

Out of the following pairs, choose the pair in which the physical quantities do not have identical dimension?
  • a)
    Pressure and Young's modules
  • b)
    Planck's constant and Angular momentum
  • c)
    Impulse and moment of force
  • d)
    Force and rate of change of linear momentum
Correct answer is option 'C'. Can you explain this answer?

Arun Khatri answered

To determine which pair of physical quantities does not have identical dimensions, we need to compare their units.
Let's analyze each pair:
A: Pressure and Young's modulus
- Pressure is measured in units of force divided by area, such as pascals (Pa) or N/m^2.
- Young's modulus is measured in units of force divided by area, such as pascals (Pa) or N/m^2.
- Both pressure and Young's modulus have the same dimensions and units, so they have identical dimensions.
B: Planck's constant and Angular momentum
- Planck's constant is measured in units of energy multiplied by time, such as joule-seconds (J·s).
- Angular momentum is measured in units of mass multiplied by length squared divided by time, such as kg·m^2/s.
- Planck's constant and angular momentum have different dimensions and units, so they do not have identical dimensions.
C: Impulse and moment of force
- Impulse is measured in units of force multiplied by time, such as newton-seconds (N·s).
- Moment of force (also known as torque) is measured in units of force multiplied by length, such as newton-meters (N·m).
- Impulse and moment of force have different dimensions and units, so they do not have identical dimensions.
D: Force and rate of change of linear momentum
- Force is measured in units of mass multiplied by length divided by time squared, such as newtons (N).
- Rate of change of linear momentum is measured in units of mass multiplied by length divided by time squared, such as newtons (N).
- Both force and rate of change of linear momentum have the same dimensions and units, so they have identical dimensions.
Therefore, the pair in which the physical quantities do not have identical dimensions is C: Impulse and moment of force.

The absorption of ink by blotting paper involves
  • a)
    viscosity of ink
  • b)
    capillary action phenomenon
  • c)
    diffusion of ink through the blotting
  • d)
    siphon action
Correct answer is option 'B'. Can you explain this answer?

Divyansh Ghosh answered
Capillary Action Phenomenon in Ink Absorption by Blotting Paper

When ink is dropped onto blotting paper, it is absorbed quickly and spreads outwards in all directions. This is due to the capillary action phenomenon.

Capillary Action Phenomenon:

Capillary action is the ability of a liquid to flow in narrow spaces without the assistance of, or against, external forces like gravity. It occurs because of the intermolecular forces between the liquid and the solid surfaces.

Ink Absorption by Blotting Paper:

Blotting paper is a highly porous paper that absorbs liquids quickly. When ink is dropped onto blotting paper, it comes in contact with the surface of the paper. The ink then starts to move into the paper due to the capillary action phenomenon. The ink molecules are attracted to the paper fibers due to the intermolecular forces between them.

The ink moves along the paper fibers, spreading outwards until it is completely absorbed. This happens because the ink molecules are more attracted to the paper fibers than to each other. As a result, the ink molecules move towards the paper fibers, leaving empty spaces behind them which are then filled by more ink molecules.

Conclusion:

Therefore, the absorption of ink by blotting paper involves the capillary action phenomenon. The ink molecules move along the paper fibers due to the intermolecular forces between them, resulting in the ink being completely absorbed by the paper.

Sound of frequency below 20 Hz is called
  • a)
    audio sounds
  • b)
    infrasonic
  • c)
    ultrasonic
  • d)
    supersonics
Correct answer is option 'B'. Can you explain this answer?

Explanation:

Infrasonic Sound:
- Sound of frequency below 20 Hz is called infrasonic sound.
- These low-frequency sounds are not audible to the human ear but can be felt as vibrations.
- Infrasonic waves are widely produced in nature by earthquakes, thunderstorms, ocean waves, and some animals like elephants.

Characteristics of Infrasonic Sound:
- Infrasonic waves have a long wavelength due to their low frequency.
- They can travel long distances and penetrate through obstacles like buildings and mountains.
- Infrasound can cause physiological effects in humans, such as dizziness, shortness of breath, or even feelings of awe or fear.

Applications of Infrasound:
- Infrasound is used in various fields such as seismology for detecting earthquakes, monitoring volcanic eruptions, and studying atmospheric phenomena.
- It is also utilized in non-lethal weapons for crowd control and communication with marine mammals like whales.

Conclusion:
Infrasonic sound, with frequencies below 20 Hz, plays a significant role in nature and has various applications in scientific research and technology.

Nuclear sizes are expressed in a unit named
  • a)
    Fermi
  • b)
    angstrom
  • c)
    newton
  • d)
    tesla
Correct answer is option 'A'. Can you explain this answer?

Akash Majumdar answered
Nuclear Size Measurement
Nuclear sizes are typically expressed in a unit called the Fermi (symbol: fm), which is named after the Italian physicist Enrico Fermi. The Fermi is equivalent to 10^-15 meters, making it a suitable scale for measuring the incredibly small sizes of atomic nuclei.

Explanation of the Fermi unit
- The Fermi unit is used because atomic nuclei are extremely tiny, on the order of a few femtometers (10^-15 meters) in diameter.
- Using the Fermi unit allows scientists to accurately describe and compare the sizes of different nuclei without dealing with cumbersome decimal numbers.

Comparison with other units
- The angstrom (symbol: Å) is another unit commonly used to measure atomic distances, but it is larger than the Fermi. One Fermi is equal to 1/10 of an angstrom.
- Units like newton and tesla are not used to express nuclear sizes, as they are related to force and magnetic field strength, respectively, rather than spatial dimensions.

Significance of using the Fermi unit
- By using the Fermi unit to measure nuclear sizes, scientists can better understand the structure of atoms and nuclei, leading to advancements in fields like nuclear physics and chemistry.
- The Fermi unit provides a precise and convenient way to describe the incredibly small scales involved in nuclear interactions.

Rain is falling vertically downwards. To a man running east-wards, the rain will appear to be coming from
  • a)
    east
  • b)
    west
  • c)
    northeast
  • d)
    southeast
Correct answer is option 'A'. Can you explain this answer?

If a man running from east wards means he is running from east direction ,so the man cannot run across the rain he should run along the rain direction ,so rain is from east

Radiocarbon is produced in the atmosphere as a result of
  • a)
    collision between fast neutrons and nitrogen nuclei present in the atmosphere
  • b)
    action of ultraviolet light from the sun on atmospheric oxygen
  • c)
    action of solar radiations particularly cosmic rays on carbon dioxide present in the atmosphere
  • d)
    lightning discharge in atmosphere
Correct answer is option 'A'. Can you explain this answer?

Kiran Mehta answered
Collision between fast neutrons and nitrogen nuclei present in the atmosphere
The neutrons these are produced in atmosphere from the sun radiation i.e.cosmic rays. So that the obtained neutron is then reacts with the nitrogen which is present in the atmosphere and produce radioactive element.

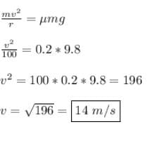
Find the maximum velocity for the overturn of a car moving on a circular track of radius 100 m. The co-efficient of friction between the road and tyre is 0.2
  • a)
    0.14 m/s
  • b)
    140 m/s
  • c)
    1.4 km/s
  • d)
    14 m/s
Correct answer is option 'D'. Can you explain this answer?

Kiran Mehta answered
For a car moving in a circular track, the necessary centripetal force is provided by the friction. 
Let the mass of car = m
maximum velocity for over turn = v
radius of track = 100m
coefficient of friction = 0.2

out of the following, which is not emitted by radioactive substance?
  • a)
    Electrons
  • b)
    Electromagnetic radiations
  • c)
    Alpha particles
  • d)
    Neutrons
Correct answer is option 'D'. Can you explain this answer?

Aravind Basu answered
Radioactive Substances and Emissions

Radioactive substances are materials that contain unstable atomic nuclei, which means they undergo spontaneous decay and emit ionizing radiation. This radiation can take various forms, including alpha particles, beta particles, gamma rays, and electromagnetic radiation.

Explanation of the Correct Answer

Option 'D' states that neutrons are not emitted by radioactive substances. This answer is correct because neutrons are not considered a form of radiation emitted by radioactive materials. Neutrons are subatomic particles found in the nucleus of an atom, and they do not have an electrical charge.

Other Options Explained

a) Electrons: Electrons are negatively charged particles that are emitted during the radioactive decay of certain isotopes. This process is called beta decay, and it involves the conversion of a neutron into a proton. As a result, an electron is emitted from the nucleus.

b) Electromagnetic Radiations: Electromagnetic radiation includes various types of energy waves, such as gamma rays, X-rays, ultraviolet rays, visible light, infrared rays, microwaves, and radio waves. Gamma rays are a type of electromagnetic radiation that is emitted by radioactive substances during the decay process.

c) Alpha Particles: Alpha particles are composed of two protons and two neutrons, making them identical to the helium nucleus. They are emitted during alpha decay, which occurs when an unstable nucleus releases an alpha particle to become more stable. Alpha particles have a positive charge and are relatively large compared to other subatomic particles.

Conclusion

In summary, neutrons are not emitted by radioactive substances. While electrons, electromagnetic radiation, and alpha particles are all forms of radiation emitted during radioactive decay, neutrons themselves are not considered a form of radiation.

Siphon will fail to work if
  • a)
    the densities of the liquid in the two vessels are equal
  • b)
    the level of the liquid in the two vessels are at the same height
  • c)
    both its limbs are of unequal length
  • d)
    the temperature of the liquids in the two vessels are the same
Correct answer is option 'B'. Can you explain this answer?

Deepak Ghosh answered
Explanation:

Siphon is a tube used to convey liquid from a higher level to a lower level by means of atmospheric pressure. It works based on the principle of difference in pressure between the two ends of the tube.

Reasons why siphon will fail to work if the level of liquid in the two vessels are at the same height are:

1. No pressure difference: The siphon works based on the difference in pressure between the two ends of the tube. If the level of the liquid in the two vessels is at the same height, there will be no pressure difference.

2. No flow: As there is no pressure difference, the liquid will not flow from one vessel to another. The siphon will fail to work.

3. Equal pressure: The pressure at both ends of the tube will be equal, and there will be no force to push the liquid from one vessel to another.

Therefore, it can be concluded that siphon will fail to work if the level of the liquid in the two vessels are at the same height.

Magnetism at the centre of a bar magnet is
  • a)
    minimum
  • b)
    maximum
  • c)
    zero
  • d)
    minimum or maximum
Correct answer is option 'C'. Can you explain this answer?

Kiran Reddy answered
Magnetism at the centre of a bar magnet is zero.
Explanation:
- A bar magnet has two poles, a north pole and a south pole, separated by a magnetic field.
- The magnetic field lines of a bar magnet extend from the north pole to the south pole, creating a magnetic field around the magnet.
- At the centre of the bar magnet, the magnetic field lines from the north pole and the south pole cancel each other out, resulting in a net magnetic field of zero.
- This means that there is no magnetism at the centre of the bar magnet.
- The magnetic field strength is minimum or zero at the centre of the magnet.
- The magnetic field lines curve outwards from the north pole and curve inwards towards the south pole, creating a magnetic field around the magnet.
- The strength of the magnetic field is maximum at the poles of the magnet, where the field lines are concentrated.
- This is why the answer is C: zero.

Point A is at a lower electrical potential than point B. An electron between them on the line joining them will
  • a)
    move towards A
  • b)
    move towards B
  • c)
    move at right angles to the line joining A and B
  • d)
    remain at rest
Correct answer is option 'B'. Can you explain this answer?

Mayank Kumar answered
Explanation:

Electric Potential:
Electric potential is a scalar quantity that determines the potential energy of a unit positive charge at a point in an electric field.

Direction of Electron Movement:
When comparing the electric potential at two points, the electron will move from the point at a lower potential towards the point at a higher potential.

Given Scenario:
In this scenario, Point A is at a lower electrical potential than Point B. Therefore, the electron between them will move towards Point B as it naturally moves from lower potential to higher potential.

Conclusion:
Hence, the electron between Point A and Point B will move towards Point B as it seeks to reach a higher electrical potential.

Of the following properties of a wave, the one that is independent of the other is its
  • a)
    amplitude
  • b)
    velocity
  • c)
    wavelength
  • d)
    frequency
Correct answer is option 'A'. Can you explain this answer?

Zara Khan answered
Properties of a wave:
- Amplitude
- Velocity
- Wavelength
- Frequency
Independent property:
- Amplitude
Explanation:
- The amplitude of a wave refers to the maximum displacement of particles in a medium from their equilibrium position. It represents the intensity or loudness of the wave.
- The velocity of a wave is the speed at which the wave propagates through a medium. It depends on the properties of the medium, such as density and elasticity, as well as the wavelength and frequency of the wave.
- The wavelength of a wave is the distance between two consecutive points in phase, such as two crests or two troughs. It is inversely proportional to the frequency of the wave.
- The frequency of a wave is the number of complete oscillations or cycles that occur in a given time. It is inversely proportional to the wavelength of the wave.
Conclusion:
- The amplitude of a wave is independent of its velocity, wavelength, and frequency. It solely represents the maximum displacement of particles in a medium and does not depend on the other properties of the wave.

Large transformers, when used for some time, become very hot and are cooled by circulating oil. The heating of the transformer is due to
  • a)
    the heating effect of current alone
  • b)
    hysteresis loss alone
  • c)
    both the heating effect of current and hysteresis loss
  • d)
    intense sunlight at noon
Correct answer is option 'C'. Can you explain this answer?

Rhea Reddy answered
Explanation:
The heating of the transformer is due to a combination of factors, including the heating effect of current and hysteresis loss. Here is a detailed explanation of why these factors contribute to the heating of the transformer:
1. Heating effect of current:
- When current flows through the transformer's windings, it encounters resistance, which results in the generation of heat.
- This is known as the heating effect of current, according to Joule's law, which states that the heat produced is directly proportional to the square of the current and the resistance.
- The resistance of the transformer windings, combined with the high currents flowing through them, leads to significant heat generation.
2. Hysteresis loss:
- Hysteresis loss is caused by the repeated magnetization and demagnetization of the transformer's core as the alternating current passes through it.
- During each cycle, the core experiences a reversal of magnetization, leading to energy losses in the form of heat.
- These losses are due to the inherent characteristics of the magnetic material used in the transformer's core, which has a limited ability to magnetize and demagnetize efficiently.
- Hysteresis loss contributes to the overall heating of the transformer.
3. Cooling with oil:
- Transformers are equipped with oil-filled tanks that circulate the oil to cool the transformer.
- The oil absorbs the heat generated by the transformer and carries it away through convection.
- The hot oil rises to the top of the tank, where it is cooled by contact with the tank walls or cooling fins.
- It then flows back down to the bottom of the tank, completing the cooling cycle.
4. Intense sunlight:
- The option D, intense sunlight at noon, is not a significant factor in the heating of the transformer.
- While sunlight can contribute to the overall ambient temperature, it is not the primary cause of the heating of the transformer.
In conclusion, the heating of large transformers is primarily due to the combination of the heating effect of current and hysteresis loss. The circulating oil helps to dissipate the heat and maintain the transformer's temperature within acceptable limits. The option C, both the heating effect of current and hysteresis loss, is the correct answer.

Sound travels at the fastest speed in
  • a)
    steel
  • b)
    water
  • c)
    air
  • d)
    vacuum
Correct answer is option 'A'. Can you explain this answer?

Rajesh Khatri answered
As sound waves are longitudinal waves they travel faster in solid medium compared to liquid and gas.

Atoms are tightly packed in a solid and thus the vibration will travel faster.

Light Emitting Diodes (LED) is used in fancy electronic devices such as toys emit
  • a)
    X-rays
  • b)
    ultraviolet light
  • c)
    visible light
  • d)
    radio waves
Correct answer is option 'C'. Can you explain this answer?

Gauri Bose answered
LEDs are semiconductors that emit light when a current passes through them. LEDs are commonly used in fancy electronic devices such as toys, remote controls, and even traffic lights. In this question, we are asked about the type of light emitted by LEDs.

Visible Light
LEDs emit visible light, which is the range of electromagnetic radiation that is visible to the human eye. The visible spectrum ranges from violet to red, and LEDs can emit light in any color within this range. This makes LEDs incredibly versatile and useful in a wide range of applications.

Other Types of Radiation
While LEDs do not emit X-rays, ultraviolet light, or radio waves, there are other types of LEDs that can emit these types of radiation. For example, UV LEDs are used in applications such as counterfeit detection and water purification. X-ray LEDs are also being developed for medical imaging applications.

Conclusion
In conclusion, LEDs emit visible light and are commonly used in fancy electronic devices such as toys. While there are other types of LEDs that can emit different types of radiation, the question specifically asked about the type of light emitted by LEDs in fancy electronic devices.

Lux is the SI unit of
  • a)
    intensity of illumination
  • b)
    luminous efficiency
  • c)
    luminous flux
  • d)
    luminous intensity
Correct answer is option 'A'. Can you explain this answer?

Milan Kulkarni answered
The SI unit of intensity of illumination (illuminance) is the lux. An illuminance of 1.0 lux is produced by 1.0 lumen of light shining on an area of 1.0 m^2.

Sound waves in air are
  • a)
    transverse
  • b)
    longitudinal
  • c)
    electromagnetic
  • d)
    polarised
Correct answer is option 'B'. Can you explain this answer?

Pranab Pillai answered
Longitudinal Sound Waves in Air

Introduction:
Sound waves are mechanical waves that are created by the vibrations of particles in a medium. These waves transfer energy from one point to another through the medium. In the case of sound waves in air, the particles that vibrate are the air molecules themselves.

Types of Waves:
There are two main types of waves: transverse waves and longitudinal waves. Transverse waves are characterized by the displacement of particles perpendicular to the direction of wave propagation, while longitudinal waves involve the displacement of particles parallel to the direction of wave propagation.

Explanation:
Sound waves in air are longitudinal waves. This means that the particles of air vibrate parallel to the direction of wave propagation. When a sound wave is produced, it creates a series of compressions and rarefactions in the air.

Compressions:
During a compression, the air molecules are pushed closer together, resulting in a region of high pressure. This is where the air molecules are densely packed.

Rarefactions:
In contrast, during a rarefaction, the air molecules are spread apart, resulting in a region of low pressure. This is where the air molecules are more spread out.

Propagation:
As the sound wave travels through the air, these compressions and rarefactions are propagated. The energy of the wave is transferred from one air molecule to the next, causing them to vibrate back and forth in the direction of the wave.

Characteristics:
Longitudinal sound waves in air have several characteristics:
1. They require a medium to propagate, such as air, water, or solids.
2. They can travel through air, which is why we can hear sounds in our everyday lives.
3. They travel at a speed determined by the properties of the medium, such as temperature and density.
4. They can be reflected, refracted, and diffracted, just like other types of waves.

Conclusion:
In conclusion, sound waves in air are classified as longitudinal waves. This means that the particles of air vibrate parallel to the direction of wave propagation. Understanding the nature of sound waves is fundamental to various fields, such as acoustics, communication systems, and music.

Sir C.V. Raman was awarded Nobel Prize for his work connected with which of the following phenomenon of radiation?
  • a)
    Scattering
  • b)
    Diffraction
  • c)
    Interference
  • d)
    Polarization
Correct answer is option 'A'. Can you explain this answer?

Surbhi Rane answered
Sir C.V. Raman was a renowned Indian physicist who was awarded the Nobel Prize in Physics in 1930 for his work on the scattering of light and the discovery of the Raman Effect.

What is Scattering?
Scattering is a phenomenon that occurs when light interacts with matter. When light waves hit small particles in the medium, they scatter in all directions. This phenomenon is known as scattering. Scattering can happen with any kind of radiation, including visible light, X-rays, and radio waves.

What is Raman Effect?
The Raman Effect is a phenomenon that occurs when light is scattered by a material, and the scattered light contains information about the material's chemical composition and structure. Sir C.V. Raman discovered this effect in 1928 while studying the scattering of light by liquids.

How did Sir C.V. Raman discover the Raman Effect?
Sir C.V. Raman discovered the Raman Effect by shining a beam of monochromatic light through a liquid and observing the scattered light. He found that the scattered light contained additional wavelengths that were not present in the original light beam.

Why was Sir C.V. Raman awarded the Nobel Prize?
Sir C.V. Raman was awarded the Nobel Prize in Physics in 1930 for his discovery of the Raman Effect. His work had a significant impact on the field of physics and chemistry, as it provided a new method for studying the chemical composition and structure of materials.

Conclusion:
In conclusion, Sir C.V. Raman was awarded the Nobel Prize for his work on the scattering of light and the discovery of the Raman Effect. His discovery had a significant impact on the field of physics and chemistry, and it continues to be used today in various scientific fields.

On a stationary sail boat, air is blown from a fan attached to the boat. The boat
  • a)
    moves in opposite direction in which the air is blown
  • b)
    does not move
  • c)
    moves in the same direction in which air blows
  • d)
    spins around
Correct answer is option 'B'. Can you explain this answer?

Sreemoyee Shah answered
In this case air blown by the fan will try to push the sail boat in a certain direction.But at the same time due to Newton's third law of motion the fan will experience a force due to the air blown in a direction opposite to the direction in which the sail boat will experience the force due to the blown air.So, as a whole the system will be at rest and it will not move.

Intensity of sound at a point is ____ its distance from the source.
  • a)
    directly proportional to
  • b)
    inversely proportional to
  • c)
    directly proportional to square of
  • d)
    inversely proportional to square of
Correct answer is option 'D'. Can you explain this answer?

Tushar Iyer answered
Understanding Sound Intensity
The intensity of sound is a measure of the power per unit area carried by a sound wave. It decreases with increasing distance from the source due to the distribution of sound energy over a larger area.
Inverse Square Law
- Sound intensity follows the inverse square law, which states that the intensity is inversely proportional to the square of the distance from the source.
- Mathematically, this can be expressed as: I ∝ 1/d², where I is the intensity and d is the distance.
Why Inversely Proportional?
- As sound waves propagate from a point source, they spread out in all directions.
- The surface area of a sphere increases with the square of the radius (A = 4πr²). Therefore, as you move away from the source, the sound energy is distributed over a larger area.
- This results in a decrease in intensity because the same amount of sound energy is now spread over a larger surface.
Practical Implications
- For example, if you double the distance from a sound source, the intensity of the sound will become one-fourth (1/2²) of its original value.
- This principle is crucial in various fields, such as acoustics, audio engineering, and environmental sound management.
Conclusion
Understanding the relationship between sound intensity and distance is essential for managing sound in different environments and ensuring effective communication and sound quality. Thus, the correct answer to the question is that the intensity of sound at a point is inversely proportional to the square of its distance from the source.

Metals are good conductors of electricity because
  • a)
    they contain free electrons
  • b)
    the atoms are lightly packed
  • c)
    they have high melting point
  • d)
    All of the above
Correct answer is option 'A'. Can you explain this answer?

Kiran Reddy answered
Metals are good conductors of electricity because of the following reasons:
1. Presence of Free Electrons:
- Metals have a unique atomic structure where the outermost electrons of their atoms are loosely bound.
- This allows the outermost electrons to move freely within the metal lattice, creating a sea of delocalized electrons.
- These free electrons are not associated with any particular atom and are able to move throughout the metal.
- The presence of these free electrons facilitates the flow of electric current in metals.
2. Lightly Packed Atoms:
- The atoms in metals are arranged in a closely packed structure.
- The atoms have a relatively large number of available valence electrons.
- These valence electrons are free to move within the lattice due to weak interatomic forces.
- The loosely held electrons make it easier for electric charges to flow through the metal.
3. High Melting Point:
- While a high melting point is not the sole reason for metals being good conductors of electricity, it is a contributing factor.
- Metals generally have high melting points due to the strong metallic bonding between atoms.
- This high melting point ensures that metals remain in their solid state at normal operating temperatures, allowing them to conduct electricity effectively.
Therefore, the correct answer is option A: metals are good conductors of electricity because they contain free electrons.

It is easier to roll a stone up a sloping road than to lift it vertical upwards because
  • a)
    work done in rolling is more than in lifting
  • b)
    work done in lifting the stone is equal to rolling it
  • c)
    work done in both is same but the rate of doing work is less in rolling
  • d)
    work done in rolling a stone is less than in lifting it
Correct answer is option 'D'. Can you explain this answer?

Zara Khan answered
Explanation:
To explain why it is easier to roll a stone up a sloping road than to lift it vertical upwards, we need to consider the concept of work and the factors involved in each scenario.
1. Work:
Work is defined as the transfer of energy that occurs when a force is applied to an object, and the object is displaced in the direction of the force. In this case, the work done is the effort required to move the stone.
2. Lifting the stone vertically:
When lifting the stone vertically, the force required is equal to the weight of the stone multiplied by the distance over which it is lifted. This is because the force applied is against the force of gravity pulling the stone downwards. The work done in this case is the force applied multiplied by the distance.
3. Rolling the stone up a sloping road:
When rolling the stone up a sloping road, the force required is less than the weight of the stone. This is because the slope of the road helps to reduce the effective weight of the stone. The force required to roll the stone up the slope is equal to the weight of the stone multiplied by the sine of the angle of the slope. The work done in this case is the force applied multiplied by the distance.
4. Comparison:
Now, let's compare the two scenarios:
- The force required to roll the stone up the slope is less than the force required to lift it vertically.
- The work done in rolling the stone up the slope is less than the work done in lifting it vertically.
- Therefore, it is easier to roll a stone up a sloping road than to lift it vertically because the work done in rolling is less than the work done in lifting.
Answer: D. Work done in rolling a stone is less than in lifting it.

Mach number is used in connection with the speed of
  • a)
    sound
  • b)
    aircraft
  • c)
    spacecraft
  • d)
    ships
Correct answer is option 'B'. Can you explain this answer?

Surbhi Basu answered
Explanation:
Mach number is a dimensionless quantity that is used to indicate the speed of an object moving through a fluid medium. It is defined as the ratio of the speed of the object to the speed of sound in the medium. In other words, it is a measure of how fast an object is traveling relative to the speed of sound in the medium it is moving through.

The Mach number is used in connection with the speed of aircraft, and it is particularly important in the design and operation of high-speed aircraft such as fighter jets and supersonic passenger planes. Here's why:

The Speed of Sound:
The speed of sound is the rate at which sound travels through a medium, such as air or water. The speed of sound in air varies depending on factors such as temperature, humidity, and altitude, but at sea level and a temperature of 20°C, it is approximately 343 meters per second (or about 767 miles per hour).

Mach Number:
The Mach number is defined as the ratio of the speed of an object to the speed of sound in the medium it is moving through. For example, if an aircraft is traveling at a speed of 343 meters per second (the speed of sound in air at sea level), its Mach number would be 1.0. If it were traveling at twice the speed of sound (686 meters per second), its Mach number would be 2.0.

Importance in Aircraft Design and Operation:
The Mach number is an important factor in the design and operation of high-speed aircraft such as fighter jets and supersonic passenger planes. Here are a few reasons why:

- Aerodynamic Design: At high speeds, the behavior of air around an aircraft changes significantly. The design of the aircraft must take into account the effects of compressibility, shock waves, and other factors that become important as the Mach number increases.

- Engine Performance: The performance of aircraft engines is also affected by the Mach number. At high speeds, the engines must be designed to operate efficiently and safely, taking into account factors such as air temperature, pressure, and density.

- Flight Characteristics: Finally, the Mach number affects the way an aircraft handles and flies. Pilots must be trained to operate high-speed aircraft safely, taking into account the unique characteristics of these aircraft at different Mach numbers.

In conclusion, the Mach number is a critical factor in the design and operation of high-speed aircraft such as fighter jets and supersonic passenger planes, and it is used to indicate the speed of an object moving through a fluid medium.

Of the four locations mentioned below the highest inside temperature will be attained in the pressure cooker operated with the pressure valve open
  • a)
    at sea level
  • b)
    at the top of Mt. Everest
  • c)
    at a place in a valley below sea level
  • d)
    in an aeroplane flying at a height of 10,000 m with inside pressure maintained at the sea level
Correct answer is option 'C'. Can you explain this answer?

Understanding Pressure Cookers and Temperature
A pressure cooker operates by increasing the pressure inside the vessel, which in turn raises the boiling point of water, allowing food to cook at higher temperatures. The key factor affecting temperature in a pressure cooker is the surrounding atmospheric pressure.
Pressure and Altitude
- At sea level, the atmospheric pressure is approximately 101.3 kPa. A pressure cooker can typically reach around 120°C (248°F) when sealed properly.
- At the top of Mt. Everest, the atmospheric pressure is significantly lower (about 33.7 kPa), leading to a lower boiling point of water and consequently lower cooking temperatures in a pressure cooker.
- In an aeroplane flying at 10,000 m, while the internal pressure is maintained at sea level, the temperature achieved in a pressure cooker would be similar to that at sea level, around 120°C.
Below Sea Level Conditions
- In a valley below sea level, atmospheric pressure is higher than at sea level, which means that the boiling point of water increases. Therefore, the pressure cooker can reach temperatures above 120°C.
Conclusion: Highest Temperature Achieved
- Among the options provided, the location that would achieve the highest inside temperature in a pressure cooker is at a place in a valley below sea level. The increased atmospheric pressure results in a higher boiling point, allowing the pressure cooker to function more effectively.
Therefore, the correct answer is option 'C', as it enables the highest cooking temperature due to the increased pressure at that location.

Mirage is due to
  • a)
    unequal heating of different parts of the atmosphere
  • b)
    magnetic disturbances in the atmosphere
  • c)
    depletion of ozone layer in the atmosphere
  • d)
    equal heating of different parts of the atmosphere
Correct answer is option 'A'. Can you explain this answer?

Explanation:

Mirage is a natural optical phenomenon that occurs due to the refraction of light rays passing through different layers of air of varying densities. The refraction of light occurs due to the bending of light rays as they pass through the medium of different densities. Mirage is mostly observed in deserts, roads, and hot surfaces.

Unequal heating of different parts of the atmosphere:
The main reason for the formation of a mirage is the unequal heating of different parts of the atmosphere. During the daytime, the sun heats the ground, and the air near the ground becomes hot and rises up. This creates a decrease in the density of air near the ground. The air above the ground is cooler and denser. When light rays pass through the hot air near the ground, they bend away from the normal, and when they pass through the cool air above, they bend towards the normal. This bending of light causes the image to appear distorted or inverted.

Types of mirage:
There are two types of mirages: inferior and superior. The inferior mirage is formed when the air near the ground is hotter than the air above it, and the superior mirage is formed when the air above is hotter than the air near the ground.

Conclusion:
In conclusion, mirage is due to the unequal heating of different parts of the atmosphere. This natural optical phenomenon is caused by the refraction of light rays passing through different layers of air of varying densities. Mirage is mostly observed in deserts, roads, and hot surfaces.

One should not connect a number of electrical appliances to the same power socket because
  • a)
    this can damage the appliances due to overloading
  • b)
    this can damage the domestic wiring due to overloading
  • c)
    this can damage the electrical meter
  • d)
    the appliance will not get full voltage
Correct answer is option 'B'. Can you explain this answer?

Anirudh Joshi answered

Reasons for not connecting a number of electrical appliances to the same power socket:




Damage to domestic wiring due to overloading:
When multiple appliances are connected to the same power socket, it can lead to overloading of the electrical circuit. This can cause overheating of the wires in the domestic wiring, leading to potential fire hazards. Overloading the wiring can also cause short circuits, damaging the electrical system of the house.

Damage to the appliances due to overloading:
When too many appliances are plugged into a single power socket, there is a risk of overloading the socket. This can lead to excessive current flow, which can damage the appliances connected to it. Overloading can cause the appliances to malfunction or even catch fire, posing a safety hazard to the household.

Prevention of electrical accidents:
By avoiding connecting a number of electrical appliances to the same power socket, the risk of electrical accidents can be minimized. It is important to distribute the load evenly across different power sockets to ensure the safe operation of the appliances and prevent any potential hazards.

Conclusion:
In conclusion, it is essential to avoid connecting multiple electrical appliances to the same power socket to prevent damage to the domestic wiring, appliances, and to reduce the risk of electrical accidents. It is recommended to use power strips or surge protectors to distribute the load evenly and protect the appliances from overloading.

Rectifiers are used to convert
  • a)
    Direct current to Alternating current
  • b)
    Alternating current to Direct current
  • c)
    high voltage to low voltage
  • d)
    low voltage to high voltage
Correct answer is option 'B'. Can you explain this answer?

Atp Classes answered
Rectifiers are used to convert

Answer: B. Alternating current to Direct current
Rectifiers are electrical devices used to convert alternating current (AC) into direct current (DC). They are widely used in various electronic and power applications to provide a steady and reliable source of DC power. Here is a detailed explanation of why rectifiers are used to convert AC to DC:
1. Definition of rectifiers
- Rectifiers are electronic devices that convert AC voltage or current into DC voltage or current.
- They typically use diodes as the main component for rectification.
2. Purpose of rectification
- AC voltage or current alternates between positive and negative cycles, constantly changing direction.
- However, many electronic devices and applications require a steady and unidirectional flow of electricity, which is provided by DC power.
- Rectification is necessary to convert the fluctuating AC waveform into a smooth and constant DC waveform.
3. How rectifiers work
- Rectifiers use diodes, which are semiconductor devices that allow current to flow in one direction and block it in the opposite direction.
- During the positive half-cycle of the AC waveform, the diode conducts and allows current to flow in one direction, resulting in positive voltage.
- During the negative half-cycle, the diode blocks the current, preventing it from flowing in the opposite direction, resulting in zero voltage.
- This process effectively converts the AC waveform into a pulsating DC waveform.
4. Types of rectifiers
- There are different types of rectifiers, including half-wave rectifiers, full-wave rectifiers, and bridge rectifiers.
- Half-wave rectifiers use only one diode and are less efficient, as they utilize only half of the AC waveform.
- Full-wave rectifiers use four diodes arranged in a bridge configuration to utilize both halves of the AC waveform, resulting in a smoother DC output.
- Bridge rectifiers are the most commonly used type, as they provide efficient and reliable rectification.
5. Applications of rectifiers
- Rectifiers are used in power supplies to convert the AC voltage from the mains into DC voltage for electronic devices.
- They are also used in battery chargers, inverters, motor drives, and various other applications that require DC power.
In conclusion, rectifiers are essential devices for converting alternating current (AC) into direct current (DC) to meet the requirements of various electronic and power applications. They utilize diodes to rectify the AC waveform and provide a steady and unidirectional flow of DC power.

Light from the Sun reaches us in nearly
  • a)
    2 minutes
  • b)
    4 minutes
  • c)
    8 minutes
  • d)
    16 minutes
Correct answer is option 'C'. Can you explain this answer?

Avi Sengupta answered
Explanation:

The time taken by light to reach the Earth from the Sun is known as the solar constant. The solar constant is the amount of energy that the Earth receives from the Sun. It is measured as 1361 W/m².

The distance between the Earth and the Sun varies throughout the year due to the elliptical shape of the Earth's orbit around the Sun. The average distance between the Earth and the Sun is about 93 million miles (149.6 million kilometers).

The exact time taken by light to reach the Earth from the Sun depends on the distance between the Earth and the Sun, which varies slightly throughout the year. On average, it takes about 8 minutes for light to travel from the Sun to the Earth.

Therefore, the correct answer is option C - 8 minutes.

Summary:

- The time taken by light to reach the Earth from the Sun is known as the solar constant.
- The solar constant is measured as 1361 W/m².
- The average distance between the Earth and the Sun is about 93 million miles (149.6 million kilometers).
- On average, it takes about 8 minutes for light to travel from the Sun to the Earth.
- Therefore, the correct answer is option C - 8 minutes.

Chapter doubts & questions for Physics - General Knowledge 2026 is part of SSC CHSL exam preparation. The chapters have been prepared according to the SSC CHSL exam syllabus. The Chapter doubts & questions, notes, tests & MCQs are made for SSC CHSL 2026 Exam. Find important definitions, questions, notes, meanings, examples, exercises, MCQs and online tests here.

Chapter doubts & questions of Physics - General Knowledge in English & Hindi are available as part of SSC CHSL exam. Download more important topics, notes, lectures and mock test series for SSC CHSL Exam by signing up for free.

Top Courses SSC CHSL