| | Sanvi Kapoor answered |




(aba) is a simultaneous Eigen vector of
and 
| Gate Gurus answered |

is an Eigen vector of A.

is an Eigen vector of A.
is an Eigen vector of B

being an eigen vector of matrix B



| Ashwani Mishra answered |




| | Prisha Sen answered |




| | Arpita Banerjee answered |
| | Mani Paramasivan answered |
| Pioneer Academy answered |

| | Partho Saha answered |





| | Devansh Das answered |

| Pioneer Academy answered |


| Cstoppers Instructors answered |



| Cstoppers Instructors answered |




| | Sarita Yadav answered |
here
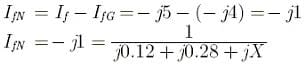
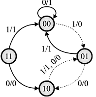
Consider characteristic equation of D− Flip-Flop.


.
remain same
remain same
Both are increased
Both are decreased| | Ravi Singh answered |

therefore C w ill decrease.
as the charge are trapped i.e; constant.
where VC is decreased therefore Vc will increases.| | Sanskriti Kaur answered |




| | Pooja Patel answered |


| | Mainak Pillai answered |
| | Pankaj Mehta answered |
| | Yash Patel answered |




| Pioneer Academy answered |



| | Zoya Sharma answered |


| | Zoya Sharma answered |




| | Pooja Patel answered |








| Cstoppers Instructors answered |






| | Naveen Mukherjee answered |
| | Saranya Dey answered |
| | Pooja Patel answered |

| | Arnav Sharma answered |
| | Juhi Joshi answered |



| | Mainak Roy answered |
| | Pooja Patel answered |
| | Pooja Patel answered |

| | Yash Patel answered |
| | Yash Patel answered |

| Cstoppers Instructors answered |


| | Sanvi Kapoor answered |






| Cstoppers Instructors answered |






| | Prisha Kulkarni answered |

| Engineers Adda answered |




| | Prisha Kulkarni answered |


= 

| Pioneer Academy answered |





| Pioneer Academy answered |


| | Debanshi Iyer answered |

turns per pole.| | Neha Nambiar answered |
| | Sahil Datta answered |


| | Mira Mukherjee answered |



| | Bibek Saha answered |
| | Kiran Banerjee answered |
6 Months Preparation for GATE Electrical675 videos|1390 docs|885 tests |
