
| Pioneer Academy answered |

| satyendra kumar answered |
| | Prisha Chakraborty answered |
| | Sarita Yadav answered |
| Pathways Academy answered |

| EduRev GATE answered |



| | Yash Patel answered |
| | Ravi Singh answered |
| | Akanksha Gupta answered |

| | Pooja Patel answered |



| Cstoppers Instructors answered |





| Cstoppers Instructors answered |

| | Aarya Basu answered |

| | Zoya Sharma answered |

| | Arya Mukherjee answered |

| Cstoppers Instructors answered |


| | Rajesh Kumar answered |
| | Prasad Verma answered |
| | Yash Patel answered |
| | Sahana Sarkar answered |
| Baishali Bajaj answered |
| | Zoya Sharma answered |
| | Ravi Singh answered |


| | Snehal Rane answered |
, 50 Hz, 1-φ transformer gave the following results no load 400 V, 1 A, 50 W (LV side) short circuit 12 V, 10 A, 40 W (HV side). The voltage regulation at full-load and at a power factor of 0.8 lagging will be ____________ %. (Correct upto 2 decimal place) | Cstoppers Instructors answered |




| | Arpita Banerjee answered |
| Subhankar Ghoshal answered |
| | Pooja Patel answered |


| | Pooja Patel answered |






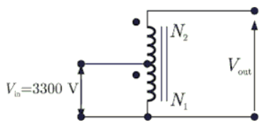
.........(ii)
..............(iii)
....(iv)
| | Zoya Sharma answered |

| | Zoya Sharma answered |
| | Pooja Patel answered |


| | Pooja Patel answered |

| Cstoppers Instructors answered |




| | Tarun Chawla answered |
| | Zoya Sharma answered |


| | Mansi Datta answered |
| | Aniket Shah answered |
| | Aashna Dey answered |
| | Swati Saha answered |
| | Saumya Sen answered |
6 Months Preparation for GATE Electrical675 videos|1390 docs|885 tests |
