All Exams  >   Class 8  >   Mathematical Olympiad Class 8  >   All Questions

All questions of Squares & Square Roots for Class 8 Exam

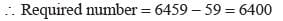
Find the smallest number by which 557568 must be divided so that it become a perfect square.
  • a)
    6
  • b)
    4
  • c)
    3
  • d)
    2
Correct answer is option 'D'. Can you explain this answer?

To determine the smallest number by which 557568 must be divided so that it becomes a perfect square, let's factorize 557568 and see the prime factors:
Step 1: Factorize 557568
We can start by dividing 557568 by the smallest prime numbers:
557568÷2=278784(Divide by 2)
278784÷2=139392(Divide by 2)
139392÷2=69696(Divide by 2)
69696÷2=34848(Divide by 2)
34848÷2=17424(Divide by 2)
17424 ÷ 2=8712(Divide by 2)
8712 ÷ 2 = 4356(Divide by 2)
4356÷2=2178(Divide by 2)
2178÷2=1089(Divide by 2, but can’t divide further, stop here with 1089)
To make this exponent even, we must divide by 2 to reduce the exponent to 8 (which is even). Hence, the smallest number by which 557568 should be divided to make it a perfect square is 2.
Answer: 4. 2

Which of the following is not a Pythagorean triplet?
  • a)
    (3, 4, 5)
  • b)
    (6, 8, 10)
  • c)
    (2, 3, 4)
  • d)
    (12, 35, 37)
Correct answer is option 'C'. Can you explain this answer?

Aditya Shah answered
Here 32 + 42 = 52 
         62 + 82 = 102
    22 + 32 ≠ 42
    122 + 352 = 372
∴ (c) is not a Pythagorean triplet.

Find the smallest square number that is divisible by each of the number 8, 15 and 20.
  • a)
    900
  • b)
    1600
  • c)
    2500
  • d)
    3600
Correct answer is option 'D'. Can you explain this answer?

Shubham Sharma answered
Here LCM of 8, 15, 20 = 120. and
120 = 2  × 2 × 2 × 3 × 5
To make 120 a perfect square, it must be multiplied by 2 × 3 ×5 = 30
120 × 30 = 3600

What is the smallest number of four digits which is a perfect square?
  • a)
    1016
  • b)
    1024
  • c)
    1036
  • d)
    1048
Correct answer is option 'B'. Can you explain this answer?

Saanvi Kaur answered
The smallest four digit no. = 1000


32^2 is more than 1000 by 24;

So the least number to be added to 1000 is 24.

Therefore, 1000+24 = 1024 is the smallest four digit number which is a perfect square.

Chapter doubts & questions for Squares & Square Roots - Mathematical Olympiad Class 8 2026 is part of Class 8 exam preparation. The chapters have been prepared according to the Class 8 exam syllabus. The Chapter doubts & questions, notes, tests & MCQs are made for Class 8 2026 Exam. Find important definitions, questions, notes, meanings, examples, exercises, MCQs and online tests here.

Chapter doubts & questions of Squares & Square Roots - Mathematical Olympiad Class 8 in English & Hindi are available as part of Class 8 exam. Download more important topics, notes, lectures and mock test series for Class 8 Exam by signing up for free.

Top Courses Class 8