| | Vedika Singh answered |
| | Bhavna Choudhury answered |
| Rutuja Sengupta answered |




| Pie Academy answered |
| Partho Gupta answered |

hours away.
| Milan Majumdar answered |



| Akash Kulkarni answered |
| Sparsh Menon answered |


| Tanishq Goyal answered |




| Niharika Choudhary answered |




| Maitri Sen answered |




| | Urvi Malhotra answered |
| Anirban Kapoor answered |
| Mahi Dasgupta answered |


| | Vedika Singh answered |
| Shreya Chauhan answered |
| | Jayant Mishra answered |
| Anirban Kapoor answered |

| Shail Ghoshal answered |


| Preethi Joshi answered |
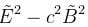
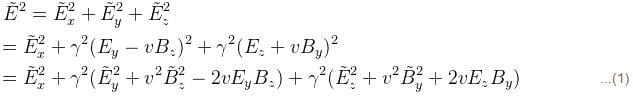
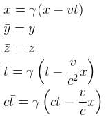
Laboratory frame ...(1)
| Sanaya Kulkarni answered |
while the tube itself is travelling at a speed c/2.
| Arnab Pillai answered |


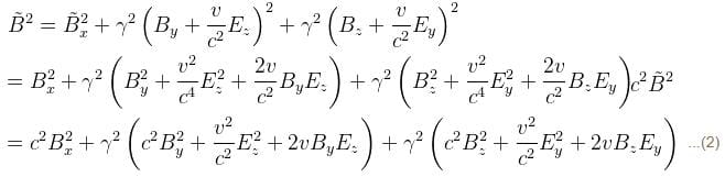
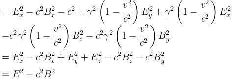
is an invariant quantity

is a relativistically invariant quantity
is not a relativistically invariant quantity | Rashi Choudhury answered |










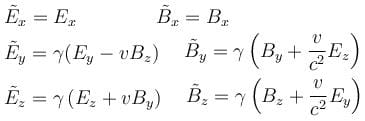
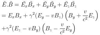
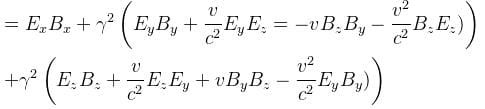
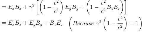
is a relativistically invariant quantity, E2 - B2c2 is a relativistically invariant quantity | Pie Academy answered |



| Niharika Choudhary answered |







| Pie Academy answered |




| Partho Gupta answered |




| Maitri Sen answered |
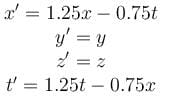
(given in the problem)


| Ipsita Chopra answered |







| Shreya Chauhan answered |


| Shail Ghoshal answered |
Modern Physics37 videos|21 docs|19 tests |
