All Exams  >   SSC CGL  >   SSC CGL Previous Year Papers  >   All Questions

All questions of Algebra for SSC CGL Exam

If a = 2017, b = 2016 and c = 2015, then what is the value of a2 + b2 + c2 – ab – bc – ca?    (SSC Sub. Ins. 2017)
  • a)
    –2
  • b)
    0
  • c)
    3
  • d)
    4
Correct answer is option 'C'. Can you explain this answer?

EduRev SSC CGL answered
Here, a = 2017, b = 2016, and c = 2015
∴ a2 + b2 + c2 – ab – bc – ca
⇒ (2017)2 + (2016)2 + (2015)2 – 2017× 2016 – 2016 × 2015 – 2015 × 2017 = 3

If (x – y) = 7, th en wh at is the value of (x – 15)3 – (y – 8)3?      (SSC CGL 2017)
  • a)
    0
  • b)
    343
  • c)
    392
  • d)
    2863
Correct answer is option 'A'. Can you explain this answer?

Mira Sharma answered
Here,
(x – y) = 7
then,
∴ a3 – b3 = (a – b) (a2 + ab + b2)
(x – 15)3 – (y – 8)3 = ?
⇒ (x – 15 – y + 8) [(x –15)2 + (x – 15) (y – 8) + (y – 8)2]
⇒ (x – y – 7)[ (x – 15)2 + (x – 15) (y – 8) + (y – 8)2]
⇒ (7 – 7) [(x – 15)2 + (x – 15) (y – 8) + (y – 8)2]
⇒ 0 × [(x – 15)2 + (x – 15) (y – 8) + (y – 8)2]
⇒ 0

The line passing through (–2, 5) and (6, b) is perpendicular to the line 20x + 5y = 3. Find b?       (SSC CHSL 2017)
  • a)
    –7
  • b)
    4
  • c)
    7
  • d)
    –4
Correct answer is option 'C'. Can you explain this answer?

EduRev SSC CGL answered
Here,
20x + 5y = 3
⇒ 5y = – 20x + 3
∴ y = – 4x + (3/5)
Slope of 20x + 5y = 3 ⇒ –4
We know, product of slopes = –1 for perpendicular lines 
Hence, the slope of the line which passes through (–2, 5) and (6, b) = 
Now, 
⇒ b – 5 = 2
∴ b = 5 + 2 = 7

If p, q, r are all real numbers, then (p – q)3 + (q – r)3 + (r – p)3 is equal to       (SSC Sub. Inspector 2016)
  • a)
    0
  • b)
    3 (p – q) (q – r) (r – p)
  • c)
    (p – q) (q – r) (r – p)
  • d)
    1
Correct answer is option 'C'. Can you explain this answer?

Ssc Cgl answered
If a + b + c = 0 then a3 + b3 + c3 = 3abc
let, a = (p – q), b = (q – r), c - (r – p)
than, a + b + c = p – q + q – r + r – p = 0
∴ (p – q)3 + (q – r)2 + (r – p)3
= 3(p – q) (q – r) (r – p) = 0

If 'a' and 'b' are positive integers such that a2 – b2 = 19, then the value of 'a' is :       (SSC MTS 2017)
  • a)
    20
  • b)
    19
  • c)
    10
  • d)
    9
Correct answer is option 'C'. Can you explain this answer?

Vinod Mehta answered
According to question,
a2 – b2 = 19
(a + b) (a – b) = 19
Since 19 is prime, one of (a + b) (a – b) is 19
Therefore, (10)2 – (9)2 = 19
∴ a = 10

The area of the triangle formed by the graphs of the equations x = 0, 2x + 3y = 6 and x + y = 3 is       (SSC CGL 1st Sit. 2015)
  • a)
    3 sq. unit
  • b)
    1(1/2) sq. unit
  • c)
    1 sq. unit
  • d)
    4(1/2) sq. unit
Correct answer is option 'B'. Can you explain this answer?

Ishaan Roy answered
To find the area of the triangle formed by the given equations, we need to find the vertices of the triangle and then use the formula for the area of a triangle.

Given equations:
1) x = 0
2) 2x - 3y = 6
3) x + y = 3

To find the vertices, we can solve the equations to find the points of intersection.

Solving equations 2) and 3) simultaneously:
2x - 3y = 6
x + y = 3

Multiplying the second equation by 2 to eliminate x:
2(x + y) = 2(3)
2x + 2y = 6

Now we have the system of equations:
2x - 3y = 6
2x + 2y = 6

Subtracting the equations to eliminate x:
(2x - 3y) - (2x + 2y) = 6 - 6
-5y = 0
y = 0

Substituting y = 0 into equation 2):
2x - 3(0) = 6
2x = 6
x = 3

The point of intersection of equations 2) and 3) is (3, 0).

Next, we need to find the point of intersection of equations 1) and 2).
Substituting x = 0 into equation 2):
2(0) - 3y = 6
-3y = 6
y = -2

The point of intersection of equations 1) and 2) is (0, -2).

Lastly, we need to find the point of intersection of equations 1) and 3).
Substituting x = 0 into equation 3):
0 + y = 3
y = 3

The point of intersection of equations 1) and 3) is (0, 3).

Now we have the three vertices of the triangle: (3, 0), (0, -2), and (0, 3).

To find the area of the triangle, we can use the formula for the area of a triangle given its vertices:

Area = 1/2 * |x1(y2 - y3) + x2(y3 - y1) + x3(y1 - y2)|

Substituting the coordinates of the vertices into the formula:
Area = 1/2 * |3(3 - (-2)) + 0((-2) - 0) + 0(0 - 3)|
Area = 1/2 * |3(5) + 0 + 0|
Area = 1/2 * |15|
Area = 1/2 * 15
Area = 7.5

Therefore, the area of the triangle formed by the given equations is 7.5 square units, which is equivalent to option B).

If the square of the sum of two numbers is equal to 4 times of their product. then the ratio of these numbers is :         (SSC Sub. Ins. 2013)
  • a)
    2 : 1
  • b)
    1 : 3
  • c)
    1 : 1
  • d)
    1 : 2
Correct answer is option 'C'. Can you explain this answer?

**Problem Analysis:**
Let's assume the two numbers to be x and y. According to the given condition, the square of the sum of the two numbers is equal to 4 times their product, which can be written as:

(x + y)^2 = 4xy

**Solution:**
To find the ratio of the two numbers, we can solve the equation using algebraic manipulation.

Expanding the left side of the equation:

(x + y)(x + y) = 4xy
x^2 + xy + xy + y^2 = 4xy
x^2 + 2xy + y^2 = 4xy

Rearranging the terms:

x^2 - 2xy + y^2 = 0

This equation can be factored as:

(x - y)^2 = 0

Taking the square root of both sides:

x - y = 0

Adding y to both sides:

x = y

Therefore, the two numbers are equal.

**Ratio of the Numbers:**
Since the two numbers are equal, the ratio of the two numbers is 1:1.

**Conclusion:**
The ratio of the two numbers is 1:1.

If (2x + 3)3 + (x – 8)3 + (x + 13)3 = (2x + 3) (3x – 24) (x +13), then what is the value of x?       (SSC Sub. Ins. 2018 )
  • a)
    –2
  • b)
    –2.5
  • c)
    –1
  • d)
    –1.5
Correct answer is option 'A'. Can you explain this answer?

Ssc Cgl answered
(2x + 3)3 + (x – 8)3 + (x + 13)3 = (2x + 3) (3x – 24) (x + 13)
(2x + 3)3 + (x – 8)3 + (x + 13)3 = 3(2x + 3)(x – 8)(x +13)
We know that if a3 + b3 + c3 = 3 abc
then, a + b + c = 0
(2x + 3) + (x – 8) + (x + 13) = 0
4x + 8 = 0
x = (-8)/4
∴ x = – 2

If the expression (px3 – 8x2 – qx + 1) is completely divisible by the expression (3x2 – 4x + 1), then what will be the value of p and q respectively?          (SSC Sub. Ins. 2017)
  • a)
    (21/4,15/8)
  • b)
    (6, 1)
  • c)
    (33/4, 5/4)
  • d)
    (1, 6)
Correct answer is option 'C'. Can you explain this answer?

EduRev SSC CGL answered
Let p(x) = px3 – 8x2 – qx + 1
Since, (3x2 – 4x + 1) is factor of p (x), so p (a) = 0
∴ 3x2 – 4x + 1 = 0
3x2 – 3x – x + 1 = 0
3x (x – 1) – 1 (x – 1) = 0
(3x – 1) (x – 1) = 0
∴ x = 1/3, 1
∴ p(x) = 1/3, 1
i.e.,


⇒ p – 24 – 9q + 27
⇒ p – 9q = –3 ...(i)
p (1) = px3 – 8x2 – qx + 1
⇒ p (1)3 – 8 (1)2 – q × 1 + 1
⇒ p – 8 – q + 1
⇒ p – q = 7 ....(ii)
From Eq. (i) and (ii),
p = 33/4, q = 5/4

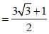
If a3 + b3 = 5824 and a + b = 28, then (a – b)2 + ab is equal to:         (SSC Sub. Ins. 2018 )
  • a)
    208
  • b)
    180
  • c)
    236
  • d)
    152
Correct answer is option 'A'. Can you explain this answer?

Mira Sharma answered
a3 + b3 = 5824
(a + b) (a2 + b2 – ab) = 5824
28(a2 + b2 – ab) = 5824
(a2 + b2 – ab) = 5824/28 = 208
Now, (a – b)2 + ab = a2 + b2 – 2ab + ab
= a2 + b2 – ab = 208

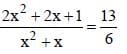
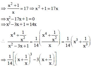
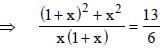
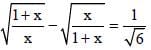
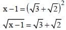
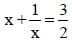
What is the value of x in the equation     (SSC CGL 2017)
  • a)
    -2
  • b)
    3
  • c)
    2
  • d)
    none of these
Correct answer is option 'C'. Can you explain this answer?

Kiran Reddy answered

By squaring both sides





⇒ 13x2 + 13x = 12x2 + 12x + 6
⇒ x2 + 3x – 2x – 6 = 0
⇒ x (x + 3) – 2 (x + 3) = 0
⇒ (x – 2) (x + 3) = 0
⇒ x – 2 = 0 ∴ x = 2
⇒ x + 3 = 0 ∴ x = – 3

Chapter doubts & questions for Algebra - SSC CGL Previous Year Papers 2026 is part of SSC CGL exam preparation. The chapters have been prepared according to the SSC CGL exam syllabus. The Chapter doubts & questions, notes, tests & MCQs are made for SSC CGL 2026 Exam. Find important definitions, questions, notes, meanings, examples, exercises, MCQs and online tests here.

Chapter doubts & questions of Algebra - SSC CGL Previous Year Papers in English & Hindi are available as part of SSC CGL exam. Download more important topics, notes, lectures and mock test series for SSC CGL Exam by signing up for free.

Top Courses SSC CGL