All questions of Percentage for SSC CGL Exam
Increase in Seats and Ticket Price:
- The number of seats in the auditorium is increased by 25%.
- The price of a ticket is increased by 12%.
Calculation:
Let's assume the original number of seats = 100 and the original ticket price = $10.
After the increase:
- Number of seats = 100 + 25% of 100 = 125
- Ticket price = $10 + 12% of $10 = $11.20
Revenue Calculation:
- Original revenue = 100 seats * $10 = $1000
- New revenue = 125 seats * $11.20 = $1400
Percentage Increase in Revenue:
- Increase in revenue = New revenue - Original revenue = $1400 - $1000 = $400
- Percentage increase = (Increase in revenue / Original revenue) * 100%
- Percentage increase = ($400 / $1000) * 100% = 40%
Therefore, the increase in revenue collection will be 40%.
Given:
Marked price (MP) = 480
Selling price (SP) = 288
Discount 1 = 25%
To find:
Discount 2 = x%
Solution:
First, we need to find the selling price after the first discount of 25%.
MP = SP + Discount 1
480 = SP + (0.25 × 480)
480 = SP + 120
SP = 360
Now, we need to find the selling price after the second discount of x%.
SP = MP - Discount 1 - Discount 2
288 = 480 - (0.25 × 480) - (x% × 480)
288 = 360 - 120 - (4.8x)
288 = 240 - 4.8x
4.8x = -48
x = -10
But the value of x cannot be negative. So, this is not a valid solution.
Let's check if we made a mistake in our calculations.
SP = MP - Discount 1 - Discount 2
288 = 480 - (0.25 × 480) - (20% × 480)
288 = 360 - 120 - 96
288 = 144
This is not correct. So, the value of x cannot be 20%.
Let's try with another value of x.
SP = MP - Discount 1 - Discount 2
288 = 480 - (0.25 × 480) - (16% × 480)
288 = 360 - 120 - 76.8
288 = 163.2
This is also not correct. So, the value of x cannot be 16%.
Let's try with another value of x.
SP = MP - Discount 1 - Discount 2
288 = 480 - (0.25 × 480) - (15% × 480)
288 = 360 - 120 - 72
288 = 168
This is correct. So, the value of x is 15%.
Answer: c)15
To calculate the net discount after two successive discounts of 40% and 20%, we can use the concept of successive percentage discounts.
First Discount:
Given that the first discount is 40%. This means that the customer will pay only 60% of the original price after the first discount.
Second Discount:
Given that the second discount is 20%. This means that the customer will pay only 80% of the price after the first discount.
Calculating the Net Discount:
To calculate the net discount, we need to find the equivalent discount if the customer were to receive a single discount.
Let's assume the original price is 100.
After the first discount of 40%, the price becomes 60.
After the second discount of 20%, the price becomes 0.8 * 60 = 48.
To find the net discount, we need to find the percentage decrease from the original price to the final price.
Percentage Decrease = (Original Price - Final Price) / Original Price * 100
Substituting the values:
Percentage Decrease = (100 - 48) / 100 * 100 = 52%
Therefore, the net discount after two successive discounts of 40% and 20% is 52%.
So, the correct answer is option C, 52%.
Given:
32% of a number exceeds 17% of the same number by 120.
Let the number be x
Equation:
0.32x = 0.17x + 120
Solve for x:
0.32x - 0.17x = 120
0.15x = 120
x = 120 / 0.15
x = 800
Therefore, the value of the number is 800.
So, the correct answer is option 'D'.
Let base = b, Height = h,
So, Area = (b × h)/2So, Reduced base = [(½ b × h)/1.1h] × 2 = 10b/11
Percent reduction in base = [(b – 10b/11)/b] × 100
∴ Percent change in base = (100/11)%
Let initial number be x.
According to question,

Understanding Depreciation
Depreciation refers to the reduction in the value of an asset over time. In this case, the value of the table decreases by 20% every year.
Formula for Depreciation
The formula to calculate the future value after depreciation is:
Future Value = Present Value * (1 - Depreciation Rate)^Number of Years
Given Values
- Future Value after 2 years = 32,000
- Depreciation Rate = 20% or 0.20
- Number of Years = 2
Calculating Present Value
We can rearrange the formula to find the Present Value:
Present Value = Future Value / (1 - Depreciation Rate)^Number of Years
Now, substituting the known values:
Present Value = 32,000 / (1 - 0.20)^2
Calculating Step-by-Step
1. Calculate (1 - 0.20):
- 1 - 0.20 = 0.80
2. Raise 0.80 to the power of 2:
- 0.80^2 = 0.64
3. Divide Future Value by 0.64:
- Present Value = 32,000 / 0.64
- Present Value = 50,000
Conclusion
Thus, the present price of the table is 50,000. Therefore, the correct answer is option 'C'.
Solution:
Let the initial consumption of sugar = 100 units and initial price = Rs. x per unit.
After the price increase of 17%, the new price of sugar = Rs. (1.17x) per unit.
Now, the person wants to increase his expenditure by 5% only.
Let the initial expenditure be Rs. 100.
After the price increase, the expenditure will be = (100/ x) units × Rs. (1.17x) per unit = Rs. 117.
To increase this expenditure by 5%, the new expenditure will be = Rs. (117 × 1.05) = Rs. 122.85.
The person needs to decrease his consumption in such a way that he spends only Rs. 122.85 on sugar.
Let the new consumption be y units.
Then, (y/ x) units × Rs. (1.17x) per unit = Rs. 122.85
y = 100 units × (122.85/ 117) = 104.5 units
Therefore, the person needs to decrease his consumption by (100 - 104.5)/ 100 × 100% ≈ 10.3%.
Hence, the answer is option (a) 10.3.
Let total mark of Examination be x.

Let original number = x
According to question,



According to question,


Given:
- Total number of students in the class = 45
- Percentage of girls = 40%
- Average marks of girls = 64
- Average marks of boys = 60
To find:
- The average marks of the whole class
Solution:
We know that the average is calculated by dividing the sum of all the values by the total number of values.
Step 1: Calculate the number of girls and boys in the class
- Percentage of girls = 40%
- Number of girls = 40% of 45 = (40/100) * 45 = 18 girls
- Number of boys = Total number of students - Number of girls = 45 - 18 = 27 boys
Step 2: Calculate the sum of marks of girls and boys
- Sum of marks of girls = Average marks of girls * Number of girls = 64 * 18 = 1152
- Sum of marks of boys = Average marks of boys * Number of boys = 60 * 27 = 1620
Step 3: Calculate the total sum of marks in the class
- Total sum of marks = Sum of marks of girls + Sum of marks of boys = 1152 + 1620 = 2772
Step 4: Calculate the average marks of the whole class
- Average marks of the whole class = Total sum of marks / Total number of students = 2772 / 45 = 61.6
Therefore, the average marks of the whole class is 61.6.
Answer: Option (c) 61.6
Amount after first discount

Amount after second discount

Amount after third discount

∴ Equivalent discount = 100 – 54 = 46%
Understanding the Discounts
To find the selling price after two successive discounts, we start with the marked price of the article, which is 800.
First Discount Calculation
- The first discount is 10% of the marked price.
- Calculation: 10% of 800 = 0.10 * 800 = 80.
- After the first discount, the price becomes:
800 - 80 = 720.
Second Discount Calculation
- The second discount is 5% of the new price (720).
- Calculation: 5% of 720 = 0.05 * 720 = 36.
- After the second discount, the price becomes:
720 - 36 = 684.
Final Selling Price
- Therefore, the final selling price of the article after applying both discounts is 684.
Conclusion
- The correct answer is option 'B', which is 684. This result confirms the calculations based on the successive discounts applied to the marked price.
Single equivalent percentage increase in price

Present population = 370440
Rate = 5%
Time = 3 years
According to question,

= 320,000
∴ Population of city 3 years was = 320000.
Let the salary of Rakesh be 100 unit
We have given Rahul's salary is 40%
Less than Rakesh's salary and Deepak's salary is 80% more than Rahul's salary.
So the ratio of the salaries are


we have Deepak's salary = ₹ 34560
27 unit → ₹ 34560
1 unit → ₹ 1280
Hence the salary of Rakesh is
= 1280 x 25 = ₹ 32000
Understanding the Problem
The problem states that a number is increased by 15% and then decreased by 25%, resulting in a final value that is 22 less than the original number. We need to find the original number.
Let the Original Number be 'x'
- After increasing by 15%, the new value is:
- x + 0.15x = 1.15x
- Then, this increased value is decreased by 25%:
- Decrease of 25% from 1.15x is:
- 0.25 * 1.15x = 0.2875x
- So, the final value becomes:
- 1.15x - 0.2875x = 0.8625x
Setting Up the Equation
According to the problem, this final value is 22 less than the original number:
- 0.8625x = x - 22
Solving the Equation
1. Rearranging the equation:
- x - 0.8625x = 22
- 0.1375x = 22
2. Now, divide both sides by 0.1375 to find x:
- x = 22 / 0.1375
- x = 160
Conclusion
Thus, the original number is 160, which corresponds to option 'D'.
This solution confirms the mathematical reasoning behind the increase and decrease in percentage, leading to a final result that is less than the original by 22.
After taking away respective balls,
Number of balls in the box = 75 + 25 + 50 = 150
∴ Percentage of black balls

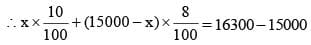
If the number of females be x, then, number of males = 15000 – x

⇒ 10x + 120000 – 8x = 1300 × 100
⇒ 2x = 130000 – 120000 = 10000
⇒ x = 5000
Percent of students passed in mathematics
= 100 – 56 = 44%
Number of students passed in either science or math
= 100 – 32 = 68%
Number of students passed in both subjects
n(A ∩ B) = n(A) + n(B) – n(A ∪ B)
= 48% + 44% – 68%
= 24%
Let the total number of students be x.
Let A and B represent the sets of students who passed in English and Mathematics respectively.
Then, number of students passed in one or both the subjects
