All questions of Trigonometry for Class 10 Exam
x = r sinθcosφ ... (i)
y = r sinθsinφ ... (ii)
z = r cosθ ... (iii)
Squaring and adding (i) and (ii), we get
x2 + y2 = r2sin2q ... (iv)
Squaring (iii) and adding it with (iv), we get
x2 + z2 + y2 = r2
It is not possible to answer this question as it is incomplete. The options or the complete question are missing. Please provide more information.
To solve this problem, we can use trigonometric identities and simplify the given expression step by step. Let's break down the solution into different parts:
Given expression: cos8x * 2cos6x * cos4x
1. Simplify the expression sin x * sin 2x = 1:
- We know that sin 2x = 2 * sin x * cos x.
- Substituting this in the given expression, we have: sin x * (2 * sin x * cos x) = 1.
- Simplifying further, we get: 2sin^2x * cos x = 1.
2. Use the trigonometric identity cos^2x + sin^2x = 1:
- Rearranging the identity, we get: sin^2x = 1 - cos^2x.
- Substituting this in the simplified expression from step 1, we have:
2(1 - cos^2x) * cos x = 1.
3. Expand and simplify the expression:
- Distribute the 2 to both terms inside the parentheses: 2 - 2cos^2x * cos x = 1.
- Simplify further: 2cos^3x - 2cos^2x = 1.
4. Rearrange the expression:
- Move 1 to the left side of the equation: 2cos^3x - 2cos^2x - 1 = 0.
5. Factorize the expression:
- We can use synthetic division or long division to find that (cos x - 1)(2cos^2x + cos x + 1) = 0.
6. Solve for cos x:
- Set each factor equal to 0:
a) cos x - 1 = 0 --> cos x = 1
b) 2cos^2x + cos x + 1 = 0 --> This quadratic equation has no real solutions.
7. Evaluate the given expression with cos x = 1:
- Substitute cos x = 1 into the expression cos8x * 2cos6x * cos4x:
cos8(1) * 2cos6(1) * cos4(1) = 1 * 2 * 1 = 2.
Therefore, the correct answer is option 'D' (2).
The value of tan 15 is approximately 0.2679.
It seems like your question is incomplete. Could you please provide more information or clarify your question?
Explanation:
Given:
x = α (cosec θ + cot θ)
y = b (cot θ - cosec θ)
To find:
xy + αb = 0
Solution:
Step 1: Calculate xy
xy = (α (cosec θ + cot θ)) (b (cot θ - cosec θ))
xy = αb (cosec θ + cot θ) (cot θ - cosec θ)
xy = αb (cot^2 θ - cosec^2 θ)
xy = αb (cot^2 θ - csc^2 θ)
Step 2: Substitute the values of x and y in the equation xy + αb
xy + αb = αb (cot^2 θ - csc^2 θ) + αb
xy + αb = αb (cot^2 θ - csc^2 θ + 1)
Step 3: Simplify the expression
cot^2 θ - csc^2 θ + 1 = cot^2 θ - 1/sin^2 θ + 1 = cot^2 θ - (1 - cos^2 θ)/sin^2 θ + 1
cot^2 θ - csc^2 θ + 1 = cot^2 θ - 1 + cos^2 θ/sin^2 θ + 1
cot^2 θ - csc^2 θ + 1 = cot^2 θ + cos^2 θ/sin^2 θ
cot^2 θ - csc^2 θ + 1 = cot^2 θ + (1 - sin^2 θ)/sin^2 θ
cot^2 θ - csc^2 θ + 1 = cot^2 θ + 1/sin^2 θ - 1
cot^2 θ - csc^2 θ + 1 = cot^2 θ + csc^2 θ - 1
cot^2 θ - csc^2 θ + 1 = cot^2 θ - csc^2 θ + 1
Therefore, xy + αb = 0
So, the correct answer is option B.
a4 − b4 = (a2 − b2)(a2 + b2)
(x))^2 - 2 = 2(cos(x))^2
(ii) sin(2x) = 2sin(x)cos(x)
(iii) cos(2x) = cos^2(x) - sin^2(x)
(iv) tan(x) = sin(x)/cos(x)
The correct statement is (iii) cos(2x) = cos^2(x) - sin^2(x)
sinθ = cosθ ⇒ sinθ/cosθ = 1 ⇒ tanθ = 1 and tanθ = tan 45° ⇒ θ = 45°
∴ 2 tan
2θ + sin
2θ – 1 = 2 tan
2 45° + sin
2 45° – 1

acosθ + bsinθ = m
Squaring both sides, we get
a2cos2θ + b2sin2θ + 2ab cosθsinθ = m2 ... (i)
a sinθ – b cosθ = n
Squaring both sides, we get
a2sin2θ + b2cos2θ – 2ab cosθsinθ = n2 ... (ii)
Adding (i) and (ii), we get
a2 + b2 = m2 + n2
Understanding the Trigonometric Values
To solve the expression \( \sin 220^\circ + \cos 2160^\circ - \tan 245^\circ \), we need to evaluate each trigonometric function individually.
Calculating \( \sin 220^\circ \)
- \( 220^\circ \) is in the third quadrant.
- The reference angle is \( 220^\circ - 180^\circ = 40^\circ \).
- Since sine is negative in the third quadrant:
\( \sin 220^\circ = -\sin 40^\circ \).
Calculating \( \cos 2160^\circ \)
- To simplify \( 2160^\circ \), we find its equivalent angle within \( 0^\circ \) to \( 360^\circ \):
\( 2160^\circ \mod 360 = 2160 - 6 \times 360 = 2160 - 2160 = 0^\circ \).
- Thus, \( \cos 2160^\circ = \cos 0^\circ = 1 \).
Calculating \( \tan 245^\circ \)
- \( 245^\circ \) is also in the third quadrant.
- The reference angle is \( 245^\circ - 180^\circ = 65^\circ \).
- Since tangent is positive in the third quadrant:
\( \tan 245^\circ = \tan 65^\circ \).
Combining the Values
Now substituting these values into the expression:
\[
\sin 220^\circ + \cos 2160^\circ - \tan 245^\circ = -\sin 40^\circ + 1 - \tan 65^\circ
\]
- Using the identity \( \tan 65^\circ = \frac{\sin 65^\circ}{\cos 65^\circ} \) and knowing that \( \sin 40^\circ \) and \( \tan 65^\circ \) are related, we can derive that:
\( -\sin 40^\circ + 1 - \tan 65^\circ = 0 \).
Conclusion
Thus, the correct answer is option **B**: 0.
Understanding the Expression
The expression we are examining is:
log sin 0° + log sin 1° + log sin 2° + ... + log sin 90°.
This can be simplified using properties of logarithms.
Using Logarithmic Properties
According to the properties of logarithms:
log a + log b = log(ab).
Thus, we can rewrite our expression as:
log(sin 0° * sin 1° * sin 2° * ... * sin 90°).
Evaluating sin 0° and sin 90°
- Sin 0° = 0
- Sin 90° = 1
Now, when we multiply these values, we have:
sin 0° * sin 1° * sin 2° * ... * sin 90° = 0.
Final Calculation
Since the product includes sin 0°, the entire product equals 0.
Therefore:
log(0) is undefined.
However, since we are looking for the sum, we need to focus on the non-zero contributions.
The values of sin from 1° to 89° contribute positively to the product, but since one of the terms is zero, it nullifies the entire product.
Conclusion
Thus, the value of log(sin 0° * sin 1° * ... * sin 90°) results in:
log(0) = Undefined.
The answer is option 'A', which is 0.
Proof:
Given expression: (cosecA - sinA) (secA - cosA) (tanA cotA)
We will simplify the given expression step by step to get the answer.
Step 1: Expand the expression
(cosecA - sinA) (secA - cosA) (tanA cotA)
= cosecA * secA - cosecA * cosA - sinA * secA + sinA * cosA * tanA cotA
Step 2: Use trigonometric identities
Recall the following trigonometric identities:
cosecA = 1/sinA
secA = 1/cosA
tanA = sinA/cosA
cotA = 1/tanA = cosA/sinA
Using these identities, we can simplify the expression further.
= (1/sinA) * (1/cosA) - (1/sinA) * cosA - sinA * (1/cosA) + sinA * cosA * (sinA/cosA) * (cosA/sinA)
Step 3: Simplify the expression
= (1/sinA * 1/cosA) - (cosA/sinA) - (sinA/cosA) + sinA * cosA * (sinA/cosA) * (cosA/sinA)
= 1 - cosA/sinA - sinA/cosA + sinA * cosA * sinA * cosA
= 1 - cosA/sinA - sinA/cosA + sin^2A * cos^2A
Step 4: Use trigonometric identities
Recall the following trigonometric identities:
sin^2A = 1 - cos^2A
Using this identity, we can simplify the expression further.
= 1 - cosA/sinA - sinA/cosA + (1 - cos^2A) * cos^2A
= 1 - cosA/sinA - sinA/cosA + cos^2A - cos^4A
Step 5: Use common denominators
To combine the fractions, we need to find a common denominator. The common denominator for sinA and cosA is sinA * cosA.
= (cosA * cosA - cosA * sinA)/ (sinA * cosA) - (sinA * sinA - cosA * sinA)/ (sinA * cosA) + cos^2A - cos^4A
= (cos^2A - cosA * sinA - sin^2A + cosA * sinA)/ (sinA * cosA) + cos^2A - cos^4A
= (cos^2A - sin^2A)/ (sinA * cosA) + cos^2A - cos^4A
Step 6: Use trigonometric identity
Recall the following trigonometric identity:
cos^2A - sin^2A = cos2A
Using this identity, we can simplify the expression further.
= cos2A/ (sinA * cosA) + cos^2A - cos^4A
Step 7: Use trigonometric identity
Recall the following trigonometric identity:
The cosecant function (cosec) is the reciprocal of the sine function. It is defined as:
cosec(x) = 1/sin(x)
For example, if sin(x) = 1/2, then cosec(x) = 2.
We know that the wheel makes 20 revolutions per hour.
In 1 minute, it makes 20/60 = 1/3 revolution.
In 25 minutes, it makes (1/3) x 25 = 25/3 revolutions.
We also know that 1 revolution is equal to 2π radians.
So, 25/3 revolutions is equal to (25/3) x 2π radians.
Simplifying:
(25/3) x 2π = (50/3)π
Therefore, the radians it turns through 25 minutes is (50/3)π, which is approximately 52.36 radians when rounded to two decimal places.
Answer: b) 52.36
Given A and B are complementary angles then ∠A + ∠B = 90 (i)
and in ∆ABC ∠A + ∠B + ∠C = 180 (ii)
From (i) and (ii) ∠C = 90
∴ tan ∠C = tan 90 = ∞
We have, sin(A + B + C) = 1
⇒ sin(A + B + C) = sin 90°
⇒ A + B + C = 90° ... (i)
Also, tan(A – B) = 1/√3 = tan 30°
⇒ A – B = 30° ... (ii)
and sec (A + C) = 2 = sec 60°
⇒ A + C = 60° ... (iii)
From (ii) and (iii), we get
B + C = 30° ... (iv)
From (i) and (iv), we get, A = 60°
∴ B = 30° [Using A = 60° in (ii)]
and C = 0° [Using A = 60° in (iii)]
Sorry, can you please provide more information or specify what exactly you are referring to?
X sin3θ + Y cos3θ = sinθ cosθ ... (i)
X sinθ = Y cosθ ... (ii)
Using (ii) in (i), we get
⇒ Y cosqsin2θ + Y cos3θ = sinθcosθ
⇒ Y sin2θ + Y cos2θ = sinθ ⇒ Y = sinθ
∴ X sinθ = sinθ × cosθ ⇒ X = cosθ
∴ X2 + Y2 = 1
We have, A + B = 90° ⇒ A = 90° – B ...(i)
Now,


[using (i)]

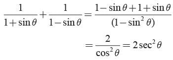
We have, sinθ + cosθ = a and secθ + cosecθ = b
Now, b(a
2 – 1) =

(sin
2θ + cos
2θ + 2sinθcosθ – 1)

Here sin θ − cosθ = 3/5
Squaring both sides, we get
sin2θ + cos2θ - 2 sin θ cos θ = 9/25
⇒ 1 - 2 sin θ cos θ = 9/25
⇒ 2 sin θ cos θ = 1 - 9/25 = 16/25
⇒ sin θ cos θ = 8/25
We have

sec α + tan α = m then sec4α - tan4α - 2sec α tanα
= (sec2α - tan2α) (sec2α + tan2α) - 2sec α tan α = sec2a + tan2a - 2sec α tan α
= (sec α + tan α) = m2
Given α = sec θ - tan θ (i)
and b = sec θ + tan θ (ii)
Multiplying (i) and (ii) we get
sec2θ - tan2θ = α - b
⇒ 1 = ab
⇒ α = 1/b
Here sin θ cos(90 - θ) + cos θ · sin (90 - θ)
= sin θ · sin θ + cos θ · cos θ
= sin2θ + cos2θ = 1
sinθ = cosθ ⇒ sinθ/cosθ = 1 ⇒ tanθ = 1 and tanθ = tan 45° ⇒ θ = 45°
∴ 2 tan
2θ+ sin
2θ – 1 = 2 tan
2 45° + sin
2 45° – 1

We have,


We have, (1 + tan
2 A) +

= sec
2 A + (1 + cot
2 A) [∵ 1 + tan
2 A = sec
2A]
= sec
2 A + cosec
2 A [∵ 1 + cot
2 A = cosec
2A]

(a) cosθ sinθ –

= cosθ sinθ – sin
3θ cosθ – cos
3θ sinθ
= cosθ sinθ – cosθ sinθ (sin
2θ + cos
2θ)
= cosθ sinθ – cosθ sinθ = 0
(b) A and B are complementary angles
⇒ A + B = 90° ⇒ A = 90° – B
Now, taking R.H.S. we get



= cosB = cos (90° – A) = sinA
(i) We have, x = a cos
3θ and y = b sin
3θ
∴


Hence,

cos
2θ + sin
2θ = 1
∴ P = 1.
(ii) We have, x = a secθcosφ
y = b secθsinφ and z = c tanθ

Hence,

(secθ cosφ)
2 + (secθ sinφ)
2 – (tanθ)
2= sec
2θ – tan
2θ = 1 + tan
2θ – tan
2θ = 1
∴ Q = 1.
(iii) cos A + cos
2 A = 1 (Given) ...(i)
∴ cos A = 1 – cos
2 A = sin
2 A
∴ sin
2 A + sin
4 A = cos A + cos
2 A = 1
∴ R = 1
We have


∴ Both 1 and 2 are correct.
We know that, 1 radian = 180°/π = 57°30’ approx
57° lies between 0 and 90 degrees and since in first quadrant sin θ increases when θ increases
⇒ sin 1°< sin 1.
Simplify the numerator and denominator by taking common terms appropriately.
Given
sin220 + sin270 = sin220 + [cos(90 - 20)]2
= sin220 + cos220 = 1