JEE Exam  >  JEE Tests  >  BITSAT Chemistry Test - 8 - JEE MCQ

BITSAT Chemistry Test - 8 - JEE MCQ


Test Description

30 Questions MCQ Test - BITSAT Chemistry Test - 8

BITSAT Chemistry Test - 8 for JEE 2025 is part of JEE preparation. The BITSAT Chemistry Test - 8 questions and answers have been prepared according to the JEE exam syllabus.The BITSAT Chemistry Test - 8 MCQs are made for JEE 2025 Exam. Find important definitions, questions, notes, meanings, examples, exercises, MCQs and online tests for BITSAT Chemistry Test - 8 below.
Solutions of BITSAT Chemistry Test - 8 questions in English are available as part of our course for JEE & BITSAT Chemistry Test - 8 solutions in Hindi for JEE course. Download more important topics, notes, lectures and mock test series for JEE Exam by signing up for free. Attempt BITSAT Chemistry Test - 8 | 30 questions in 40 minutes | Mock test for JEE preparation | Free important questions MCQ to study for JEE Exam | Download free PDF with solutions
BITSAT Chemistry Test - 8 - Question 1

In towns, a layer of air is condensed as smoke due to pollution. It is called

Detailed Solution for BITSAT Chemistry Test - 8 - Question 1

Smog is the combination term for smoke and fog and it is formed when smoke is present along with fog in the environment.

BITSAT Chemistry Test - 8 - Question 2

The constituent of light oil is

Detailed Solution for BITSAT Chemistry Test - 8 - Question 2

Light oil obtained from fractional distillation of petroleum contains 5-8% of benzene.

BITSAT Chemistry Test - 8 - Question 3

Which of the following is used as refrigerant?

Detailed Solution for BITSAT Chemistry Test - 8 - Question 3

Mixed halides of flourine and chlorine are easily liquifible gases having low boiling point and low specific heats.

BITSAT Chemistry Test - 8 - Question 4

A neutral atom (Atomic No. > 1) contains

Detailed Solution for BITSAT Chemistry Test - 8 - Question 4

A neutral atom whose atomic number (Z) is greater than one, contains protons, electrons and also neutrons equal to difference of atomic mass and atomic number (Z).

BITSAT Chemistry Test - 8 - Question 5

 Which of the following is correct sequence for ionic radius ?

Detailed Solution for BITSAT Chemistry Test - 8 - Question 5

Higher the negative charges, higher will be the size of the ion. Also, negative ion (anion) is always bigger than the cation or neutral atom counter part.

BITSAT Chemistry Test - 8 - Question 6

Diamond is used in glass cutting due to its

Detailed Solution for BITSAT Chemistry Test - 8 - Question 6

Diamond is the hardest natural substance known so it is used for glass cutting purposes.

BITSAT Chemistry Test - 8 - Question 7

Electroplating was discovered by

Detailed Solution for BITSAT Chemistry Test - 8 - Question 7

The process of coating a metal with a corrosion resistant metal by electrolysis is called as electroplating. It was first discovered by Faraday.

BITSAT Chemistry Test - 8 - Question 8

Which of the following is used as “control rod” in fission reactor ?

Detailed Solution for BITSAT Chemistry Test - 8 - Question 8

Boron or cadmium rods, are used as control rods. These rods absorb neutrons and thereby control the rate of fission.

BITSAT Chemistry Test - 8 - Question 9

Milk is an emulsion of

Detailed Solution for BITSAT Chemistry Test - 8 - Question 9

Milk is an emulsion of fat particles dispersed in water. Emulsions are the dispersions of one liquid in the other when two immiscible or partly miscible liquids is shaken.

BITSAT Chemistry Test - 8 - Question 10

Colloidal found effective in medicines is

Detailed Solution for BITSAT Chemistry Test - 8 - Question 10

Most of the medicines in use are colloidal in nature. For example, Colloidal antimony is used in curing kala- azar. Colloidal medicines are more effective because they are easily assimilated and absorbed.

BITSAT Chemistry Test - 8 - Question 11

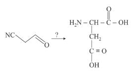
How would you accomplish the following synthesis of aspartic acid?

Detailed Solution for BITSAT Chemistry Test - 8 - Question 11


Hydrogen cyanide reacts with aldehyde to produce cyanohydrin. Ammonia acts as a nucleophile and substitutes hydroxyl group. Hydrolysis of cyanide group will convert into carboxylic acid group. It is known as Strecker synthesis.

BITSAT Chemistry Test - 8 - Question 12

The Glycosidic linkages and Peptide linkages are present in:

Detailed Solution for BITSAT Chemistry Test - 8 - Question 12

(i) Glycosidic linkage: The two monosaccharide units are joined together through an ether linkage formed by loss of a molecule of H2O. Such a linkage between two monosaccharide units through oxygen atom is called glycosidic linkage.
(ii) Peptide linkage: The carboxyl group of one amino acid and amino group of another amino acid gets condensed with the elimination of water molecule. The resulting −CO−NH− linkage is called a peptide bond.

BITSAT Chemistry Test - 8 - Question 13

When glucose is reduced with sodium amalgam in aqueous solution, it gives

Detailed Solution for BITSAT Chemistry Test - 8 - Question 13

Sodium amalgam, commonly represented as Na/Hg is an alloy of mercury and sodium.
Na/Hg is strong reducing agent, which reduces carbonyl compound to alcohols by electron transfer mechanism. During reduction of glucose, only more reactive - CHO group is reduced, while rest of the molecule remains same.

BITSAT Chemistry Test - 8 - Question 14

Which of the following structures is a D-aldotetrose that gives a meso diacid upon oxidation with dilute aq. HNO3?

Detailed Solution for BITSAT Chemistry Test - 8 - Question 14

BITSAT Chemistry Test - 8 - Question 15

Statement-1: A solution of sucrose in water is dextro rotatory but on hydrolysis in presence of H+ , the solution becomes leavo rotatory
Statement-2: Inversion of sugar follows first order kinetics.

Detailed Solution for BITSAT Chemistry Test - 8 - Question 15

STATEMENT-1 is True because Sucrose upon hydrolysis gives unequal amounts of glucose and fructose.
STATEMENT-2 is True;
STATEMENT-2 is Not a Correct explanation for STATEMENT-1

BITSAT Chemistry Test - 8 - Question 16

Consider the following statements:
I. Bleaching action of Cl2 is due to oxidation of coloured substances
II. HOCl > HOBr > HOI : Acidic strength
III. CIF3 < BrF3 < IF3 : Polarity
Choose the correct statements.

Detailed Solution for BITSAT Chemistry Test - 8 - Question 16

Chlorine bleaching action is through
(i) Process of oxidation in prejence of water Cl2+H2O→HOCl+HCl
(ii) Depends upon the stability of conjugate base:ClO4>BrO4>IO4
(iii) Increase in dipole moment (μ=q×d)
Increase in bond length M - F
Increase in size of M

BITSAT Chemistry Test - 8 - Question 17

Assertion: Nitrogen and oxygen present in the atmosphere do not react to form oxides of nitrogen.
Reason: High temperature is required for the reaction between nitrogen and oxygen.

Detailed Solution for BITSAT Chemistry Test - 8 - Question 17

N2 (g) and O2 (g) react under electric arc at 200°C to form NO(g). Both the assertion and reason are correct, and reason is the correct explanation.

BITSAT Chemistry Test - 8 - Question 18

Which of the following is a consequence of the inert pair effect?
(a) SnClacts as a reducing agent.
(b) SnCl4 acts as an oxidizing agent.
(c) TlCl acts as an oxidizing agent.
(d) PbO2 is an oxidant.

Detailed Solution for BITSAT Chemistry Test - 8 - Question 18

Inert pair effect is the inertness of the ns electrons due to the poor shielding effect of the 4f sub-shell. As the result, for the downward elements of the p - block elements, the lower oxidation state is more stable than their respective higher oxidation state.
Due to the inert pair effect,
Tl+3→Tl+, stable
Pb+4→Pb+2, stable
In PbO2, is in +4 oxidation state, which can be reduced to +2 oxidation state.

BITSAT Chemistry Test - 8 - Question 19

Carbon and silicon belongs to 14th group. The maximum covalency of carbon in commonly occurring compounds is 4 whereas that of silicon is 6 . This is due to

Detailed Solution for BITSAT Chemistry Test - 8 - Question 19

Electronic configuration of  C and Si are as follows-
C=2s2 2p2
Si=3s2 3p2
Carbon has no d - orbital to expand but Si has vacant d- orbitals and it can expand its valency using these vacant d - orbitals and forms compounds like SiF6 2- with covalency of Si = 6.

BITSAT Chemistry Test - 8 - Question 20

Which of the following group 14 elements can decompose steam to form dioxide and liberate H2?

Detailed Solution for BITSAT Chemistry Test - 8 - Question 20

Out of the group 14 elements, C and Ge do not react with water and lead is also unaffected because of the protective oxide film formation.
Sn reacts with steam to form SnOand H2.
Sn+2H2O⟶SnO2+2H2
Answer will be Sn.

BITSAT Chemistry Test - 8 - Question 21

Baking power is more commonly used to make cakes or bread "rise". Filler in baking power is

Detailed Solution for BITSAT Chemistry Test - 8 - Question 21

An improved combination of baking power contains about 40% starch, 30% NaHCO3, 20% NaAl(SO4)2 and 10% Ca (H2PO4)2 Here starch acts as filler.

BITSAT Chemistry Test - 8 - Question 22

Two forms of D-glucopyranose, are called

Detailed Solution for BITSAT Chemistry Test - 8 - Question 22

“α” and “β” cyclic hemiacetals of D-glucose having difference in configuration at C- l only are called anomers.

BITSAT Chemistry Test - 8 - Question 23

What kind of linkage or bond exist between two monosaccharide units of lactose ?

Detailed Solution for BITSAT Chemistry Test - 8 - Question 23

C1 of β − D - galactose and C4 of β - D - glucose linkage exist between galactose and glucose unit of lactose. It is also called milk sugar. This linkage is also called β - glycosidic linkage.

BITSAT Chemistry Test - 8 - Question 24

Which form of ethyl acetoacetate is more volatile?

Detailed Solution for BITSAT Chemistry Test - 8 - Question 24

Ethyl acetoacetate exist in two forms.

Enolic form is more volatile due to intra-molecular hydrogen bonding (chelation).

Hence, this is the correct option.

BITSAT Chemistry Test - 8 - Question 25

A sample containing 1.0 mole of an ideal gas is expanded reversibly and isothermally to ten times its original volume in two separate experiments. The expansion is carried out at 300 K and 600 K, respectively. Choose the correct option.

Detailed Solution for BITSAT Chemistry Test - 8 - Question 25

For an ideal gas, the work of reversible expansion under isothermal conditions can be calculated by using the expansion w = -nRT ln 

In isothermal expansion, ∆U = 0

BITSAT Chemistry Test - 8 - Question 26

In the complex ion M has four d-electrons and L is a strong field ligand. According to crystal field theory, the magnetic properties of the complex ion correspond to how many unpaired electrons?

Detailed Solution for BITSAT Chemistry Test - 8 - Question 26

In the presence of a strong field ligand, d4 configuration for octahedral complex is 
Orbital electronic distribution can be given as follows:

Hence, the metal ion has two unpaired electrons and it is paramagnetic in nature.

BITSAT Chemistry Test - 8 - Question 27

Identify 'F' in the following reaction sequence:

Detailed Solution for BITSAT Chemistry Test - 8 - Question 27

BITSAT Chemistry Test - 8 - Question 28

Which one of the following compounds is most likely to give effervescence of CO2 with NaHCO3?

Detailed Solution for BITSAT Chemistry Test - 8 - Question 28

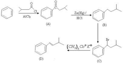
BITSAT Chemistry Test - 8 - Question 29

The major product (D) in the following reaction sequence is:

Detailed Solution for BITSAT Chemistry Test - 8 - Question 29

BITSAT Chemistry Test - 8 - Question 30

The difference in vibrational kinetic energies per mole of CO2 and SO2 at temperature T, according to law of equipartition of energy, is equal to

Detailed Solution for BITSAT Chemistry Test - 8 - Question 30

Vibrational degree of freedom per mole of CO2 (polyatomic linear) = 3n - 5 = 3 × 3 - 5 = 4
Vibrational degree of freedom per mole of SO2 (polyatomic non-linear) = 3n - 6 = 3 × 3 - 6 = 3
Difference in vibrational kinetic energies = 

Information about BITSAT Chemistry Test - 8 Page
In this test you can find the Exam questions for BITSAT Chemistry Test - 8 solved & explained in the simplest way possible. Besides giving Questions and answers for BITSAT Chemistry Test - 8, EduRev gives you an ample number of Online tests for practice
Download as PDF