JEE Exam  >  JEE Tests  >  BITSAT Mathematics Test - 6 - JEE MCQ

BITSAT Mathematics Test - 6 - JEE MCQ


Test Description

30 Questions MCQ Test - BITSAT Mathematics Test - 6

BITSAT Mathematics Test - 6 for JEE 2025 is part of JEE preparation. The BITSAT Mathematics Test - 6 questions and answers have been prepared according to the JEE exam syllabus.The BITSAT Mathematics Test - 6 MCQs are made for JEE 2025 Exam. Find important definitions, questions, notes, meanings, examples, exercises, MCQs and online tests for BITSAT Mathematics Test - 6 below.
Solutions of BITSAT Mathematics Test - 6 questions in English are available as part of our course for JEE & BITSAT Mathematics Test - 6 solutions in Hindi for JEE course. Download more important topics, notes, lectures and mock test series for JEE Exam by signing up for free. Attempt BITSAT Mathematics Test - 6 | 45 questions in 60 minutes | Mock test for JEE preparation | Free important questions MCQ to study for JEE Exam | Download free PDF with solutions
BITSAT Mathematics Test - 6 - Question 1

The area enclosed between the ellipse x2 + 9y2 = 9 and the straight line x + 3y = 3, in the first quadrant is

Detailed Solution for BITSAT Mathematics Test - 6 - Question 1

The intersection points of x2 + 9y2 = 9  and x + 3y = 3 are (0,1) and (3,0).

The area A is given by the integral of the difference between the top and bottom functions from 0 to 3:

A = ∫ from 0 to 3 of [ (1/3) * sqrt(9 - x²) - (1 - x/3) ] dx

Now simplify the expression inside the integral:

This becomes:
A = ∫ from 0 to 3 of [ (1/3) * sqrt(9 - x²) - 1 + x/3 ] dx

Now break the integral into three simpler parts:

  1. First part: (1/3) * ∫ sqrt(9 - x²) dx from 0 to 3

  2. Second part: ∫ 1 dx from 0 to 3

  3. Third part: (1/3) * ∫ x dx from 0 to 3

Now evaluate each part:

  1. ∫ sqrt(9 - x²) dx from 0 to 3 = (9π) / 4

  2. ∫ 1 dx from 0 to 3 = 3

  3. ∫ x dx from 0 to 3 = (1/2) * (3²) = 9/2

Put them all together:

  • First term: (1/3) * (9π / 4) = (3π) / 4

  • Second term: -3

  • Third term: (1/3) * (9/2) = 3/2

Now compute:

A = (3π) / 4 - 3 + 3/2

Convert everything to a common denominator:

  • (3π)/4 is already in 4ths

  • 3 = 6/2

  • 3/2 stays the same

So:
A = (3π)/4 - 6/2 + 3/2 = (3π)/4 - 3/2

BITSAT Mathematics Test - 6 - Question 2

The coefficient of x-9 in the expansion of ((x2/2) - (2/x))9 is

Detailed Solution for BITSAT Mathematics Test - 6 - Question 2

The term x-9 will be T(10). Therefore T(10) will be
⇒ (-2/x)9
⇒ -512/x9
⇒ -512x-9

BITSAT Mathematics Test - 6 - Question 3

The differential equation of the family of lines through the origin is

Detailed Solution for BITSAT Mathematics Test - 6 - Question 3

Let y = mx be the family of lines through origin. Therefore, dy/dx = m
Eliminating m, we get y = (dy/dx).x or x(dy/dx) – y = 0.

BITSAT Mathematics Test - 6 - Question 4

The circles x2 + y2 - 12x -12y = 0 and x2 + y2 + 6x + 6y = 0

Detailed Solution for BITSAT Mathematics Test - 6 - Question 4


BITSAT Mathematics Test - 6 - Question 5

Length of tangent drawn from (5,1) to the circle x+ y+ 6x - 4y - 3 = 0 is

Detailed Solution for BITSAT Mathematics Test - 6 - Question 5

Given circle is  x+ y+ 6x - 4y - 3 = 0 .....(i)
Given point is (5, 1) Let P = (5,1)
Now length of the tangent from P(x, y) to circle (i) = √ x+ y+ 2gx + 2fy + c​.
Now length of the tangent from P(5, 1) to circle (i) = √ 52+12+ 6.5 − 4.1 − 3​ = 7

BITSAT Mathematics Test - 6 - Question 6

The solution of differential equation (dy/dx) = [(x(2logx + 1)) / (siny + ycosy)] is

Detailed Solution for BITSAT Mathematics Test - 6 - Question 6

(siny+ y.cosy)dy = [x(2logx + 1)]dx

Integrating both sides, we get

BITSAT Mathematics Test - 6 - Question 7

In an Argand plane the inequality π/4 < arg (z) < π/3 represent the region bounded by

Detailed Solution for BITSAT Mathematics Test - 6 - Question 7

We have π/4 ​< arg (z) < π/3​
Let z = x + iy
∴ arg (z) = tan-1(y/x​)
The given inequality can be written as
π/4 ​< tan-1(y/x​) < π/3​
⇒ tan(π/4) ​< y/x ​< tan(π/3)​
⇒ 1 < y/x ​< √3​
⇒ x < y < √3​x
This inequality represents the region between the lines
 y = x and y = √3​x

BITSAT Mathematics Test - 6 - Question 8

The differential equation y(dy/dx) + x = c represent

Detailed Solution for BITSAT Mathematics Test - 6 - Question 8

ydy = (c−x)dx
Integrating both sides,
∫ydy = ∫(c−x)dx
y2​/2 = cx − x2​/2 + k
x2/2 + y2/2 ​− cx = k
x2 + y2 − 2cx = 2k
(x−c)2 + y2 = 2k + c2
This is equation of a circle with center on x-axis.

BITSAT Mathematics Test - 6 - Question 9

If y =  , find dy/dx

Detailed Solution for BITSAT Mathematics Test - 6 - Question 9

BITSAT Mathematics Test - 6 - Question 10

(d/dx){log(secx+tanx)}=

Detailed Solution for BITSAT Mathematics Test - 6 - Question 10

 

BITSAT Mathematics Test - 6 - Question 11

9 + 16/2! + 27/3! + 42/4! + ..... ∞ is

Detailed Solution for BITSAT Mathematics Test - 6 - Question 11

BITSAT Mathematics Test - 6 - Question 12
The product of the perpendicular distances drawn from any point on a hyperbola to its asymptotes is
Detailed Solution for BITSAT Mathematics Test - 6 - Question 12

The product of the perpendiculars drawn from any point on a hyperbola to its asymptotes is a constant value. This value can be calculated using the hyperbola's parameters.

  • Consider a hyperbola defined by the equation: x2/a2 - y2/b2 = 1.
  • The asymptotes of this hyperbola are given by the equations: y = (b/a)x and y = -(b/a)x.
  • For any point (x1, y1) on the hyperbola, the perpendicular distances to these asymptotes are calculated.
  • The product of these perpendicular distances is always a2b2/(a2 + b2).

Thus, the correct answer is a2b2/(a2 + b2), which corresponds to option C.

BITSAT Mathematics Test - 6 - Question 13

From the top of the house 15 metres high the angle of depression of a point which is at a distance 15 m from the base of the house is

Detailed Solution for BITSAT Mathematics Test - 6 - Question 13

Given, Perpendicular = 15 m
Base = 15 m
Angle of depression = ​tanθ = 15/15 = 1
θ = 45°

BITSAT Mathematics Test - 6 - Question 14

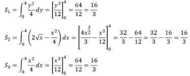
The parabolas y2 = 4x and x2 = 4y divide the square region bounded by the lines x = 4, y = 4 and the coordinate axes. If S₁, S₂, S₃ are respectively the areas of these parts numbered from top to bottom; then S₁ : S₂ : S₃ is

Detailed Solution for BITSAT Mathematics Test - 6 - Question 14



BITSAT Mathematics Test - 6 - Question 15

The solution of the differential equation cos x sin y dx + sin x cos y dy = 0 is

Detailed Solution for BITSAT Mathematics Test - 6 - Question 15

BITSAT Mathematics Test - 6 - Question 16

4 tan⁻11/5 - tan⁻1 1/239 is equal to

Detailed Solution for BITSAT Mathematics Test - 6 - Question 16


BITSAT Mathematics Test - 6 - Question 17

The period of the function sin(πx/2)+cos(πx/2) is

Detailed Solution for BITSAT Mathematics Test - 6 - Question 17

t = T/|a|
  = 2π/π/2
  = 4

BITSAT Mathematics Test - 6 - Question 18

If A and B are any 2 x 2 matrics, then |A + B| = 0 implies

Detailed Solution for BITSAT Mathematics Test - 6 - Question 18

|A+B| = 0
⇒ A + B = O, where O is a zero matrix.
⇒ A = O − B = −B
Take determinant on both sides
⇒ |A| = −|B|
⇒ |A| + |B| = 0

BITSAT Mathematics Test - 6 - Question 19

A and B are square matrices of order n x n, then (A - B)2 is equal to

Detailed Solution for BITSAT Mathematics Test - 6 - Question 19

(A - B)2
⇒ (A - B) x (A - B)
⇒ (A - B) x A - (A - B) x B
⇒  A2 - AB - BA + B2

BITSAT Mathematics Test - 6 - Question 20

Let f(x) = x3 + 3x2 + 3x + 2. Then, at x = -1

Detailed Solution for BITSAT Mathematics Test - 6 - Question 20

f(x) = (x+1)3 + 1      
∴ f'(x) = 3(x+1)2
f'(x) = 0  ⇒  x = -1
Now, f" (-1 - ∈) = 3(-∈)2 > 0, f'(-1 + ∈)2 = 3∈2 > 0
∴ f(x) has neither a maximum nor a minimum at x = -1
Let f'(x) = φ ′ (x) = 3(x+1)2    
∴ φ′(x) = 6(x+1).
φ′(x) = 0  ⇒  x = -1
φ ′ (-1-∈) = 6(-∈) < 0, φ ′ (-1-∈) = 6∈ > 0
∴ φ (x) has a minimum at x = -1

BITSAT Mathematics Test - 6 - Question 21

If n ∈ N then n3 + 2n is divisible by

Detailed Solution for BITSAT Mathematics Test - 6 - Question 21

f(n) = n3 + 2n
put n=1, to obtain f(1) = 13 + 2.1 = 3
Therefore, f(1) is divisible by 3
Assume that for n=k, f(k) = k3 + 2k is divisible by 3
Now, f(k+1) = (k+1)3 + 2(k+1)
⇒ k3 + 2k + 3(k2 + k + 1)
⇒ f(k) + 3(k+ k + 1)
Since, f(k) is divisible by 3
Therefore, f(k+1) is divisible by 3
and from the principle of mathematical induction f(n) is divisible by 3 for all n∈N

BITSAT Mathematics Test - 6 - Question 22

If α + i β = tan⁻1 z, z = x + yi and α is constant, then locus of \'z\' is

Detailed Solution for BITSAT Mathematics Test - 6 - Question 22

BITSAT Mathematics Test - 6 - Question 23

If equation λx+ 2y- 5xy + 5x - 7y + 3 = 0, represents two straight lines, the value of λ is

Detailed Solution for BITSAT Mathematics Test - 6 - Question 23

BITSAT Mathematics Test - 6 - Question 24

The locus of the point of intersection of two normals to the parabola x2=8y, which are at right angles to each other,is

Detailed Solution for BITSAT Mathematics Test - 6 - Question 24

Let P(4t1, 2t12) and Q(4t2, 2t22) be the points on x2 = 8y. Equation of the normals at P and Q are 
y - 2t12 = -1/t1(x - 4t12)  ....(1) 
y - 2t22 = -1/t2 (x - 4t22)   ....(2)
Since the normals are at right angles, we have
(-1/t1)(-1/t2) = -1
⇒ t1t2 = -1   ....(3)
Solving Eqs. (1) and (2) and from Eq. (3), we have

⇒ 2y = x2 + 12  which is the required locus.

BITSAT Mathematics Test - 6 - Question 25

The equation of the parabola with its vertex at (1,1) and focus at (3,1) is

Detailed Solution for BITSAT Mathematics Test - 6 - Question 25

BITSAT Mathematics Test - 6 - Question 26

Out of 6 boys and 4 girls a group of 7 is to be formed. In how many ways can this be done if the group is to have a majority of boys?

Detailed Solution for BITSAT Mathematics Test - 6 - Question 26

The boys are in majority, if groups formed are 4B 3G, 5B 2G, 6B 1G.
Total number of such combinations
6C4 x 4C3 + 6C5 x 4C2 + 6C6 x 4C1
⇒ 15 x 4 + 6 x 6 + 1 x 4
⇒ 60 + 36 + 4
⇒ 100

BITSAT Mathematics Test - 6 - Question 27

How many even numbers can be formed by using all the digits 2, 3, 4, 5, 6?

Detailed Solution for BITSAT Mathematics Test - 6 - Question 27

For a number to be even its last digit should be divisible by 2.
Therefore, only 2,4,6 can be used as last digits.
Number of such combinations,
⇒ 4!×3 = 24×3 = 72

BITSAT Mathematics Test - 6 - Question 28

A committee of five is to be chosen from a group of 9 people. The probability that a certain married couple will either serve together or not at all is

Detailed Solution for BITSAT Mathematics Test - 6 - Question 28

The total number of ways in which 5 person can be chosen out of 9 person is 9C5 = 126
The couple serves the committee in 7C3 x 2C2 = 35 ways
The couple does not serve the committee in
7C5 - 7C2 = 21 ways
Since the couple will either be together or not at all
∴ favourable number of cases = 35 + 21 = 56
∴ required porbability = 56 126 = 4/9

BITSAT Mathematics Test - 6 - Question 29

A six-faced dice is so biased that it is twice as likely to show an even number as an odd number when thrown. It is thrown twice. The probability that the sum of two numbers thrown is even is

Detailed Solution for BITSAT Mathematics Test - 6 - Question 29

∵ probability for odd = p

∴ probability for even = 2p

∵ p + 2p = 1

⇒ 3p = 1

⇒ p = 1/3​

∴ probability for odd = 1/3​ , probability for even = 2/3​

Sum of two no. is even means either both are odd or both are even

∴ required probability = (1/3​ × 1/3)​ + (2/3 ​× 2/3) ​= 1/9 ​+ 4/9 ​= 5/9​

 

BITSAT Mathematics Test - 6 - Question 30

Detailed Solution for BITSAT Mathematics Test - 6 - Question 30


View more questions
Information about BITSAT Mathematics Test - 6 Page
In this test you can find the Exam questions for BITSAT Mathematics Test - 6 solved & explained in the simplest way possible. Besides giving Questions and answers for BITSAT Mathematics Test - 6, EduRev gives you an ample number of Online tests for practice
Download as PDF