JEE Exam  >  JEE Tests  >  BITSAT Mathematics Test - 6 - JEE MCQ

BITSAT Mathematics Test - 6 - JEE MCQ


Test Description

30 Questions MCQ Test - BITSAT Mathematics Test - 6

BITSAT Mathematics Test - 6 for JEE 2025 is part of JEE preparation. The BITSAT Mathematics Test - 6 questions and answers have been prepared according to the JEE exam syllabus.The BITSAT Mathematics Test - 6 MCQs are made for JEE 2025 Exam. Find important definitions, questions, notes, meanings, examples, exercises, MCQs and online tests for BITSAT Mathematics Test - 6 below.
Solutions of BITSAT Mathematics Test - 6 questions in English are available as part of our course for JEE & BITSAT Mathematics Test - 6 solutions in Hindi for JEE course. Download more important topics, notes, lectures and mock test series for JEE Exam by signing up for free. Attempt BITSAT Mathematics Test - 6 | 40 questions in 50 minutes | Mock test for JEE preparation | Free important questions MCQ to study for JEE Exam | Download free PDF with solutions
BITSAT Mathematics Test - 6 - Question 1

The expression is the equivalent of

Detailed Solution for BITSAT Mathematics Test - 6 - Question 1

Consider the expression:

Hence, this is the required solution.

BITSAT Mathematics Test - 6 - Question 2

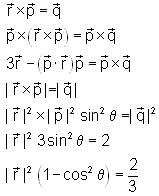
Consider the vector equation is a unit vector and 
Which of the following statements is true?

Detailed Solution for BITSAT Mathematics Test - 6 - Question 2

Here,


Hence, this is the required solution.

BITSAT Mathematics Test - 6 - Question 3

A librarian puts a book in a bookshelf having 50 book slots which are now completely occupied. He puts the book at none of any extreme slots. When he visits the next working day, he finds that exactly 30 slots are still filled with the books. What is the probability that the slots on each side of his book are still vacant? (Assume each book belongs to different individuals)

Detailed Solution for BITSAT Mathematics Test - 6 - Question 3

Apart from the librarian's book, there are 49 other books. When he revisits the library, 29 other books are left in the shelf (excluding his book).
Now,
n(s) = Number of ways of selecting 29 books out of 49 books = 49C29
n(E) = Number of ways of selecting 29 books out of 47 books (leaving two neighbouring positions vacant) = 47C29
Therefore,
required probability
Hence, this is the required solution.

BITSAT Mathematics Test - 6 - Question 4

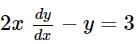
Find the solution of the given differential equation:

Detailed Solution for BITSAT Mathematics Test - 6 - Question 4

Here,

Let

We have to differentiate both sides with respect to x.
Then,

Substitute these values,

And,

Then, we have to find I.F.

So, the complete solution is

Thus,

Hence, this is the required solution.

BITSAT Mathematics Test - 6 - Question 5

If y log x = x - y, then dy/dx  is equal to

Detailed Solution for BITSAT Mathematics Test - 6 - Question 5

Here,
y log x = x - y
Differentiate with respect to x.

Hence, this is the required solution.

BITSAT Mathematics Test - 6 - Question 6

Consider the equation of an ellipse:

What is the distance (in units) of a chord AB from its centre, which is subtending 90o at the centre of the ellipse

Detailed Solution for BITSAT Mathematics Test - 6 - Question 6

We know that the equation of the chord will be

Here, ∝ is the angle subtended at the centre by the chord.
Therefore,

As chord is subtending 90o at the centre, therefore

BITSAT Mathematics Test - 6 - Question 7

The coefficient of a4 in the expression  is

Detailed Solution for BITSAT Mathematics Test - 6 - Question 7

The general term in in the expression is:

For coefficient of a4, we put
10 - 3r = 4
r = 2
Therefore, coefficient of a4

Hence, this is the required solution.

BITSAT Mathematics Test - 6 - Question 8

Consider the matrix given below:

Also, , where I is the identity matrix.
Mark the correct choice from the following options.

Detailed Solution for BITSAT Mathematics Test - 6 - Question 8

Since P is orthogonal, each row is orthogonal to the other rows.
Therefore,

Hence, this is the required solution.

BITSAT Mathematics Test - 6 - Question 9

Consider the following function:
where [∙] denotes the greatest integer function.
What is the range of the f(x)?

Detailed Solution for BITSAT Mathematics Test - 6 - Question 9

We have

Thus, this will give all the integral values which are not less than 0.
So, all the whole numbers are the range of the function.
Hence, this is the required solution.

BITSAT Mathematics Test - 6 - Question 10

Consider the following function:
where k is a positive integer.
Which of the following statements are true?
i.
ii.
iii.
iv.

Detailed Solution for BITSAT Mathematics Test - 6 - Question 10

Consider the expression:


Now,

Hence, this is the required solution.

BITSAT Mathematics Test - 6 - Question 11

The differential equation obtained by eliminating arbitrary constants from y=aebx is

Detailed Solution for BITSAT Mathematics Test - 6 - Question 11

The given equation is
y=aebx

BITSAT Mathematics Test - 6 - Question 12

The solution of the differential equation  represents :

Detailed Solution for BITSAT Mathematics Test - 6 - Question 12


2log (y + 3) = log x + log c
(y+3)2=xc, which is parabola.

BITSAT Mathematics Test - 6 - Question 13

The solution of inequality 4tanx −3.2tanx + 2 ≤ 0 is

Detailed Solution for BITSAT Mathematics Test - 6 - Question 13

4tanx − 3.2tanx + 2 ≤ 0
Let 2tanx = t
⇒ t− 3t + 2 ≤ 0
⇒ (t − 2) (t − 1) ≤ 0
⇒1 ≤ t ≤ 2
⇒20 ≤ 2tanx ≤ 21
⇒0 ≤ tanx ≤1

BITSAT Mathematics Test - 6 - Question 14

The number of solutions of equation |tan2x|=sinx in  [0,π] is

Detailed Solution for BITSAT Mathematics Test - 6 - Question 14

Given that: |tan2x|=sinx in [0,π]
Drawing the graph of y=|tan2x| and y=sinx

Another Method



BITSAT Mathematics Test - 6 - Question 15

The value of is equal to

Detailed Solution for BITSAT Mathematics Test - 6 - Question 15


BITSAT Mathematics Test - 6 - Question 16

sin is equal to

Detailed Solution for BITSAT Mathematics Test - 6 - Question 16



∴sin3θ = 3sinθ − 4sin3θ

BITSAT Mathematics Test - 6 - Question 17

Solution of the equation xdy−[y+xy(1 + log x)] dx = 0 is

Detailed Solution for BITSAT Mathematics Test - 6 - Question 17

We have,

Integrating, we get,

BITSAT Mathematics Test - 6 - Question 18

he general solution of the differential equation (1 + tan y)(dx − dy) + 2x dy = 0 is

Detailed Solution for BITSAT Mathematics Test - 6 - Question 18

We have, (1 + tan y)(dx − dy)+2x dy = 0
⇒(1 + tan y) dx = (1 + tan y − 2x) dy

It is a linear differential equation.

=(cos y + sin y)ey
So, the solution is
xey(sin y+cos y) = ∫e(sin y + cos y)dy + c
⇒ xey(sin y+cos y)=esin y + c
⇒ x(sin y+cos y)=siny+ce−y.

BITSAT Mathematics Test - 6 - Question 19

If the solution of the differential equation represents a circle, then the value of a is -
 

Detailed Solution for BITSAT Mathematics Test - 6 - Question 19

We have,
⇒ (ax + 3) dx = (2y + f) dy
On integrating, we obtain

This will represent a circle, if

BITSAT Mathematics Test - 6 - Question 20

An integrating factor of the differential equation is

Detailed Solution for BITSAT Mathematics Test - 6 - Question 20

Given, 

This is a linear equation, comparing with the equation

BITSAT Mathematics Test - 6 - Question 21

The equation of the curve passing through the point (1,1) such that the slope of the tangent at any point  (x,y) is equal to the product of its co-ordinates is

Detailed Solution for BITSAT Mathematics Test - 6 - Question 21


Equation (i) passing through (1,2)

Put in (i)

BITSAT Mathematics Test - 6 - Question 22

The solution of the equation x(1+x2) dy = (y + y x– x2)dx is (c is constant of integration)

Detailed Solution for BITSAT Mathematics Test - 6 - Question 22

x (1 + y2) dy = (y + yx2 – x2) dx

Solution is:

BITSAT Mathematics Test - 6 - Question 23

Which of the following is solution of the differential equation y′y′′′=3(y′′)2

Detailed Solution for BITSAT Mathematics Test - 6 - Question 23

∴ y′y′′′=3(y′′)2

∴ x=A1y2+A2y+A3

BITSAT Mathematics Test - 6 - Question 24

The value of ( sin36° sin72° sin108° sin144°) is equal to

Detailed Solution for BITSAT Mathematics Test - 6 - Question 24

sin36° sin72° sin108° sin144°
=sin236°sin272°

BITSAT Mathematics Test - 6 - Question 25

If then tan A, tan B & tan C are in

Detailed Solution for BITSAT Mathematics Test - 6 - Question 25

We have,

Applying componendo and dividendo, we get

⇒tan2B=tanA tanC
⇒tanA, tanB & tanC are in G.P.

BITSAT Mathematics Test - 6 - Question 26

The greatest and least value of sin x cos are respectively

Detailed Solution for BITSAT Mathematics Test - 6 - Question 26


Thus, the greatest and least value of f (x) are 1/2 and respectively.
Hence, the correct  option is B

BITSAT Mathematics Test - 6 - Question 27

The general solution of the differential equation (1+tany)(dx−dy)+2xdy=0 is 

Detailed Solution for BITSAT Mathematics Test - 6 - Question 27

We have, (1+tany)(dx−dy)+2xdy=0
⇒(1+tany)dx=(1+tany−2x)dy

It is a linear differential equation.

=(cosy+siny)ey
So, the solution is
xe(sin y + cos y) = ∫e(sin y + cos y)dy + c
⇒ xey(sin y+cos y)=eysin y + c
⇒ x(sin y + cos y) = sin y + ce−y.

BITSAT Mathematics Test - 6 - Question 28

If ϕ(x)=ϕ′ and ϕ(1) = 2 , then ϕ(3) is equal to

Detailed Solution for BITSAT Mathematics Test - 6 - Question 28

Given:
ϕ(x)=ϕ′(x)

Integrating,

⇒log ϕ (x) = x + k
⇒ϕ(x)=ex+k = ex⋅c
⇒ϕ(x) = cex

∴ ϕ(x)=2ex−1
⇒ ϕ (3) = 2e2

BITSAT Mathematics Test - 6 - Question 29

Consider the differential equation  Also x=1 at y = 0 . Tick the appropriate option.

Detailed Solution for BITSAT Mathematics Test - 6 - Question 29


(Linear differential equation in x)
∴ General solution is 
Now as at y = 0, x=1; so c=1
Finally, 

BITSAT Mathematics Test - 6 - Question 30

If  x∈(−π,  π)  then find the number of solutions of the equation  21+|cosx|+∣∣cos2x∣∣+... = 4

Detailed Solution for BITSAT Mathematics Test - 6 - Question 30

Given, 21+|cosx|+∣∣cos2x∣∣+∣∣cos3x∣∣+... = 22


Thus, total four solutions are possible for the given equation, they are 

View more questions
Information about BITSAT Mathematics Test - 6 Page
In this test you can find the Exam questions for BITSAT Mathematics Test - 6 solved & explained in the simplest way possible. Besides giving Questions and answers for BITSAT Mathematics Test - 6, EduRev gives you an ample number of Online tests for practice
Download as PDF