JEE Exam  >  JEE Tests  >  BITSAT Mathematics Test - 8 - JEE MCQ

BITSAT Mathematics Test - 8 - JEE MCQ


Test Description

30 Questions MCQ Test - BITSAT Mathematics Test - 8

BITSAT Mathematics Test - 8 for JEE 2025 is part of JEE preparation. The BITSAT Mathematics Test - 8 questions and answers have been prepared according to the JEE exam syllabus.The BITSAT Mathematics Test - 8 MCQs are made for JEE 2025 Exam. Find important definitions, questions, notes, meanings, examples, exercises, MCQs and online tests for BITSAT Mathematics Test - 8 below.
Solutions of BITSAT Mathematics Test - 8 questions in English are available as part of our course for JEE & BITSAT Mathematics Test - 8 solutions in Hindi for JEE course. Download more important topics, notes, lectures and mock test series for JEE Exam by signing up for free. Attempt BITSAT Mathematics Test - 8 | 40 questions in 50 minutes | Mock test for JEE preparation | Free important questions MCQ to study for JEE Exam | Download free PDF with solutions
BITSAT Mathematics Test - 8 - Question 1

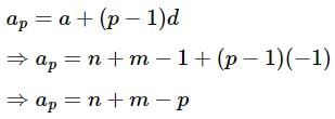
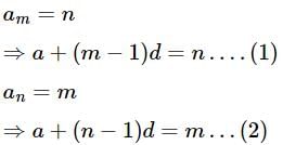
If the mth term of an AP is n and the nth term is m, then write its pth term

Detailed Solution for BITSAT Mathematics Test - 8 - Question 1

Given:

Solving equations,
(1) and (2), we get: 
d = −1, a = n + m − 1
p th term:

Thus, the p th term is n + m − p.

BITSAT Mathematics Test - 8 - Question 2

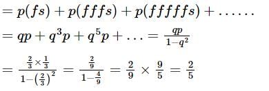
An unbiased die is rolled until a number greater than 4 appears. The probability that an even number of trials are needed, is:

Detailed Solution for BITSAT Mathematics Test - 8 - Question 2

p = Probability of success (s) = 2/3 = 1/3
q = Probability of failure 
The probability that success occurs in even number of trials.

BITSAT Mathematics Test - 8 - Question 3

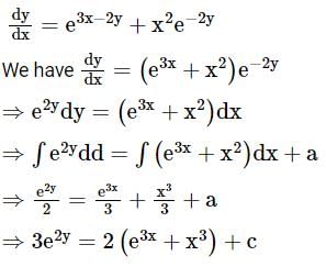
The solution to the differential equation dy/dx = e3x - 2y + x2e-2y is:

Detailed Solution for BITSAT Mathematics Test - 8 - Question 3

Given:

BITSAT Mathematics Test - 8 - Question 4

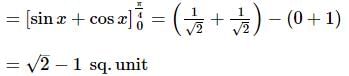
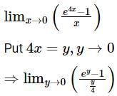
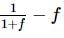
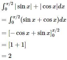
Evaluate  

Detailed Solution for BITSAT Mathematics Test - 8 - Question 4

Given: 

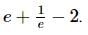
BITSAT Mathematics Test - 8 - Question 5

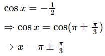
Solve the equation 2 sin2 x + 3 cos x = 0

Detailed Solution for BITSAT Mathematics Test - 8 - Question 5

Given: 

Either cos⁡ x − 2 = 0 or 2 cos ⁡x + 1 = 0
But cos⁡ x − 2 = 0
i.e. cos⁡ x = 2, which is not possible. Now, from 2 cos⁡ x + 1 = 0, we get:

Therefore, general solution of the equation is:

BITSAT Mathematics Test - 8 - Question 6

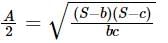
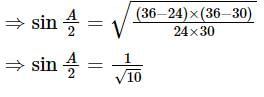
In a ΔABC, if a = 18 , b = 24 and c = 30 then find the value of sin (A/2) ?

Detailed Solution for BITSAT Mathematics Test - 8 - Question 6

Given:
For ΔABC we have a = 18, b = 24 and c = 30
Here, we have to find the value of sin⁡(A/2).
As we know that, if a,b and c are the sides of the ΔABC then 2S = a+b+c
⇒ 2S = 18 + 24 + 30
⇒ 2S = 72
⇒ S = 36
As we know that 

BITSAT Mathematics Test - 8 - Question 7

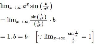
The value of limx→∞ ax sin (b/ax) when (a > 1) is ?

Detailed Solution for BITSAT Mathematics Test - 8 - Question 7

Given:

BITSAT Mathematics Test - 8 - Question 8

If  are vectors such that  then what is the acute angle between 

Detailed Solution for BITSAT Mathematics Test - 8 - Question 8

According to the question,
The cross product of two vectors  is given by 
On solving, we get:


BITSAT Mathematics Test - 8 - Question 9

 is equal to?

Detailed Solution for BITSAT Mathematics Test - 8 - Question 9

Given: 


⇒ 4 x 1 = 4

BITSAT Mathematics Test - 8 - Question 10

Evaluate 

Detailed Solution for BITSAT Mathematics Test - 8 - Question 10

Given: 

BITSAT Mathematics Test - 8 - Question 11

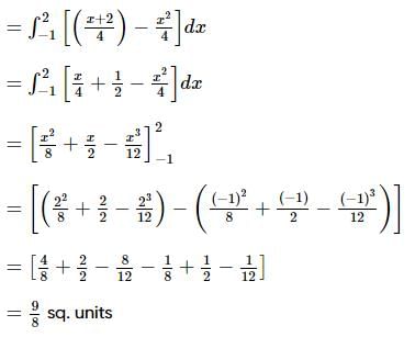
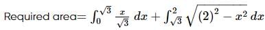
The area bounded by the curve x= 4y and the straight line x = 4y − 2 is

Detailed Solution for BITSAT Mathematics Test - 8 - Question 11

We have,
x= 4y
x = 4y − 2
On solving both the equations simultaneously, we get the points of intersection 

Required area

BITSAT Mathematics Test - 8 - Question 12

The area bounded by the curves y = sin x, y = cosx and y-axis in first quadrant is

Detailed Solution for BITSAT Mathematics Test - 8 - Question 12


In first quadrant sin x and cos x meet at x = π/4.
The required area is as shown in the diagram.
So, the required area 

BITSAT Mathematics Test - 8 - Question 13

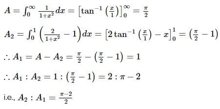
 divides the area enclosed by  x-axis and y-axis in the first quadrant in the ratio

Detailed Solution for BITSAT Mathematics Test - 8 - Question 13

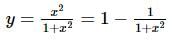
Given:

And, second curve is 

This is symmetrical about y-axis and y = 0 is the asymptote for the curve
Points of intersection for the curve is 

BITSAT Mathematics Test - 8 - Question 14

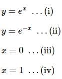
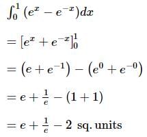
The area (in sq. units) of the region bounded by y = ex, y = e−x, x = 0 and x = 1 is

Detailed Solution for BITSAT Mathematics Test - 8 - Question 14

To find the bounded area, we have to plot all of the four curves

Here, the limits of x will be from 0 to 1.
So, area will be given by

BITSAT Mathematics Test - 8 - Question 15

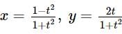
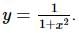
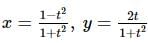
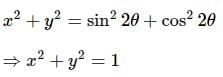
Area enclosed by the curve y = f(x) defined parametrically as  is

Detailed Solution for BITSAT Mathematics Test - 8 - Question 15

Given

Clearly t can be any real number

So,

This is the circle with centre at origin an radius is unity. 
∴ Required area = π(1)= π sq. units.

BITSAT Mathematics Test - 8 - Question 16

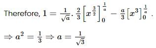
If the area bounded by y = ax2 and x = ay2, a > 0, is 1 sq. unit, then a =

Detailed Solution for BITSAT Mathematics Test - 8 - Question 16

The x−coordinate of A is 1/a.
According to the given condition, 

BITSAT Mathematics Test - 8 - Question 17

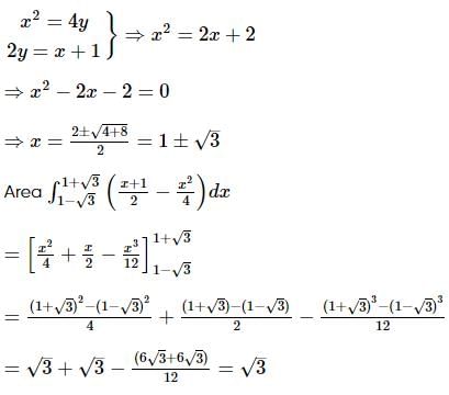
Area bounded by the curves x= 4y and 2y = x + 1 is

Detailed Solution for BITSAT Mathematics Test - 8 - Question 17


Shaded portion is required Area.

BITSAT Mathematics Test - 8 - Question 18

Assertion: The area of the region {(x, y) : x+ y≤ 5, ||x| − |y|| ≥ 1} is 
Reason: 

Detailed Solution for BITSAT Mathematics Test - 8 - Question 18

BITSAT Mathematics Test - 8 - Question 19

The area of the region bounded by the x− axis and the curves defined by y = tan x, 

Detailed Solution for BITSAT Mathematics Test - 8 - Question 19

BITSAT Mathematics Test - 8 - Question 20

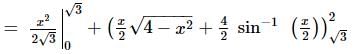
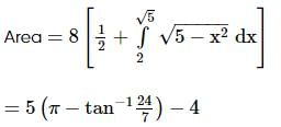
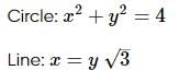
Area lying in the first quadrant and bounded by the circle x+ y= 4, the line x = y√3 and x−axis is

Detailed Solution for BITSAT Mathematics Test - 8 - Question 20







BITSAT Mathematics Test - 8 - Question 21

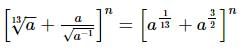
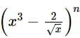
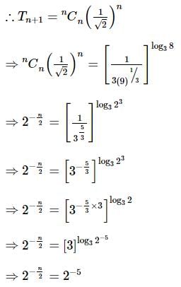
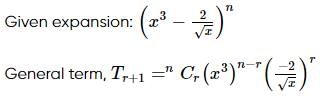
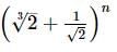
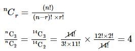
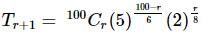
The number of irrational terms in the expansion of   is

Detailed Solution for BITSAT Mathematics Test - 8 - Question 21

The general term in the expansion of  is given by

As 5 and 2 are relatively prime, Tr+1 will be rational, if  are both integers i.e., if (100−r) is a multiple of 6 and r is a multiple of 8.
As 0 ≤ r ≤ 100, multiples of  8 upto 100 and corresponding value of 100 − r are
r = 0, 8, 16, 24,…., 88, 96
⇒ 100 − r = 100, 92, 84, 76, …, 12, 4
Out of 100 − r, multiples of 6 are 84, 60, 36, 12
∴ There are four rational terms.
Hence, the number of irrational terms is 101 − 4 = 97.

BITSAT Mathematics Test - 8 - Question 22

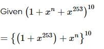
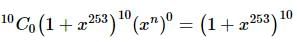
The coefficient of x1012  in the expansion of (1 + x+ x253)10, (where n ≤ 22 is any positive integer), is

Detailed Solution for BITSAT Mathematics Test - 8 - Question 22


Using the binomial expansion (a + b)= nC0anb+ nC1an−1b + nC2an−2b+ ... + nCna0bn,
= 10C0(1 + x253)10(xn)+ 10C1(1 + x253)(xn)+ 10C2(1 + x253)8(xn)+ ... + 10C10(1 + x253)0(xn)10 
As 253 = 23 × 11 and 1012 = 253 × 4, also n ≤ 22
⇒ Coefficient of x1012 will come only from the first term, i.e. in

The general term in the expansion of 
Hence, the general term in the expansion of 

Since, 1012 = 253 × 4, hence r = 4
Thus, the required coefficient is = 10C4.

BITSAT Mathematics Test - 8 - Question 23

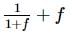
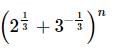
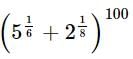
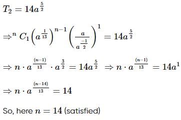
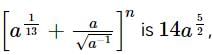
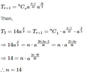
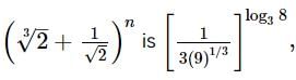
If the second term in the expansion  (n ∈ N) is 14a5/2, then n is equal to

Detailed Solution for BITSAT Mathematics Test - 8 - Question 23

BITSAT Mathematics Test - 8 - Question 24

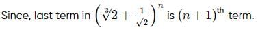
If the last term in    then the fifth term is

Detailed Solution for BITSAT Mathematics Test - 8 - Question 24

We have,

General term of the binomial expansion of (x + y)n is given by Tr+1 = nCr(x)n−r(y)r.


BITSAT Mathematics Test - 8 - Question 25

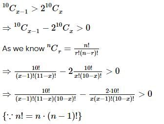
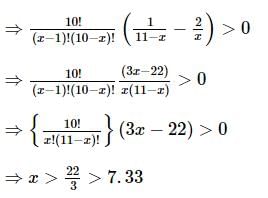
The least positive integral value of x which satisfies the inequality 10Cx−1 > 210Cx is

Detailed Solution for BITSAT Mathematics Test - 8 - Question 25



So, the least positive integral value of x is 8.

BITSAT Mathematics Test - 8 - Question 26

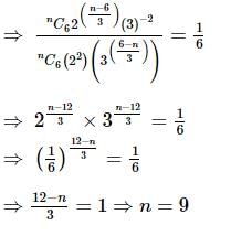
If the second term of the expansion  then the value of  is

Detailed Solution for BITSAT Mathematics Test - 8 - Question 26

Given,
The second term in the expansion of 
Now,

We know that,

Then,

Hence, the required solution is 4.

BITSAT Mathematics Test - 8 - Question 27

If last three digits of the expression 17256 are A1,A2 & A3 respectively, then the value of expression 2A+ A− 4A1 equals

Detailed Solution for BITSAT Mathematics Test - 8 - Question 27

We can have 17256 = (290 − 1)128
= 1000I + 128C2(290)128C1(290) + 1, where I is an integer
= 1000I + 128(290)(18415 − 1) + 1
= 1000m + 681
∴ A1 = 6, A2 = 8, A3 = 1

BITSAT Mathematics Test - 8 - Question 28

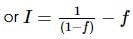
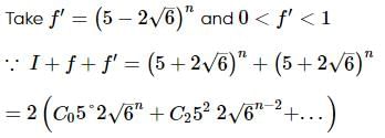
If (5 + 2√6)= I + f ; n, I ∈ N and 0 ≤ f < 1, then I equals

Detailed Solution for BITSAT Mathematics Test - 8 - Question 28


= 2k = (even integer)
∴ f + f′ = 1 (Because Both Values are Between 0 & 1 and I is Integer)
Now, (I + f)f′ = (5 + 2√6)(5 − 2√6)= (25 − 24)= 1
⇒ (I + f)(1 − f) = 1

BITSAT Mathematics Test - 8 - Question 29

If in the expansion of   a term like x2 exists and n is a double-digit number, then least value of n is

Detailed Solution for BITSAT Mathematics Test - 8 - Question 29


Now, since term with x2 exists, so, equating power of x in general term to 2, we get,
∴  3n − 3r − r/2 = 2

Now we know that 0 ≤ r ≤ n and r ∈ W.
will be the least double digit integer when r = 8
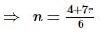
∴ n = 10

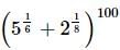
BITSAT Mathematics Test - 8 - Question 30

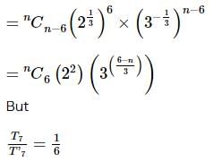
If the ratio of the 7th term from the beginning to the 7th term from the end in the expansion of   then the value of n is

Detailed Solution for BITSAT Mathematics Test - 8 - Question 30

We have,

T7 = 7th term from the beginning

And,
 term from the end
= (n + 2 − 7)th term from the beginning
= (n − 5)th term from the beginning

View more questions
Information about BITSAT Mathematics Test - 8 Page
In this test you can find the Exam questions for BITSAT Mathematics Test - 8 solved & explained in the simplest way possible. Besides giving Questions and answers for BITSAT Mathematics Test - 8, EduRev gives you an ample number of Online tests for practice
Download as PDF