JEE Exam  >  JEE Tests  >  BITSAT Practice Test - 10 - JEE MCQ

BITSAT Practice Test - 10 - JEE MCQ


Test Description

30 Questions MCQ Test - BITSAT Practice Test - 10

BITSAT Practice Test - 10 for JEE 2025 is part of JEE preparation. The BITSAT Practice Test - 10 questions and answers have been prepared according to the JEE exam syllabus.The BITSAT Practice Test - 10 MCQs are made for JEE 2025 Exam. Find important definitions, questions, notes, meanings, examples, exercises, MCQs and online tests for BITSAT Practice Test - 10 below.
Solutions of BITSAT Practice Test - 10 questions in English are available as part of our course for JEE & BITSAT Practice Test - 10 solutions in Hindi for JEE course. Download more important topics, notes, lectures and mock test series for JEE Exam by signing up for free. Attempt BITSAT Practice Test - 10 | 130 questions in 180 minutes | Mock test for JEE preparation | Free important questions MCQ to study for JEE Exam | Download free PDF with solutions
BITSAT Practice Test - 10 - Question 1

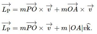
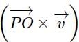
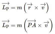
A small mass m is attached to a massless string whose other end is fixed at P as shown in the figure. The mass is undergoing circular motion is the x − y plane with centre at O and constant angular speed ω. If the angular momentum of the system, calculated about O and P are denoted by , respectively, then

Detailed Solution for BITSAT Practice Test - 10 - Question 1

 

Given angular momentum about O and P are IO and IP, respectively.
Angular momentum about P: 



Also, angular moment about O,

Thus, the direction of  is constant.
But  will continuously change its direction.
Thus,  ​​will change its direction at every instant and thus varies.
But  = constant.

BITSAT Practice Test - 10 - Question 2

If the velocity of a particle is  find the acceleration of the particle at t = 1 s.

Detailed Solution for BITSAT Practice Test - 10 - Question 2

Given,
velocity of the particle is 
time instance is 1 sec.
The acceleration of the particle is the rate of change of velocity with respect to time thus, acceleration is given by,

Acceleration of the particle remains constant at all times.

BITSAT Practice Test - 10 - Question 3

Two pendulums begin to swing simultaneously. If the ratio of the frequency of oscillations of the two is 7 : 8, then the ratio of lengths of the two pendulums will be

Detailed Solution for BITSAT Practice Test - 10 - Question 3

Let us suppose that original length simple pendulum is L and time period is now if the acceleration due to gravity is g.
Now the frequency should be 
Given the ratio of frequencies,it means,

BITSAT Practice Test - 10 - Question 4

Efficiency of a carnot engine is 50% when temperature of outlet is 500 K. In order to increase its efficiency up to 60%, keeping temperature of intake the same, what should be the temperature of outlet?

Detailed Solution for BITSAT Practice Test - 10 - Question 4

Efficiency of the carnot engine,

where,

η = efficiency

Tf = temperature of sink

Ti = temperature of source

Temperature should be in Kelvin.

For 50% efficiency,

For 60% efficiency,

BITSAT Practice Test - 10 - Question 5

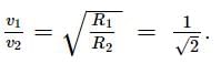
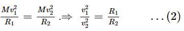
If the radii of circular paths of two particles of same masses are in the ratio of 1 : 2, then in order to have same centripetal force, their speeds should be in the ratio of:

Detailed Solution for BITSAT Practice Test - 10 - Question 5

If a particle of the mass M, revolving in a circular path of the radius R, with the speed v, then the centripetal force F is,  acting towards the centre along the radius. In the following diagram, according to the question,

 Centripetal forces are the same, so,  
By equation (1) and (2), 

BITSAT Practice Test - 10 - Question 6

A smooth block is released from rest on a 45° incline and then, it slides a distance d. The time taken to slide is n times as much to slide on a rough incline than on a smooth incline. The coefficient of friction is,

Detailed Solution for BITSAT Practice Test - 10 - Question 6


As the block is released from rest, it means the initial velocity, (u) = 0

and let block cover a distance d at a time (t1),

a = gsinθ.

We know,

Substituting values, we get,

When the block slides from a rough surface, then,

The coefficient of kinetic friction is applicable here as the block moves over the inclined plane.

BITSAT Practice Test - 10 - Question 7

A current-carrying coil is subjected to a uniform magnetic field. The coil will orient so that its plane becomes

Detailed Solution for BITSAT Practice Test - 10 - Question 7

The coil will orient in a position of torque equilibrium. 
As the torque on the loop is given by  so torque will be zero when area vector  is parallel to magnetic field i.e. when the plane of the coil is perpendicular to the magnetic field. This is so because area vector is perpendicular to the plane of the loop.

BITSAT Practice Test - 10 - Question 8

A radioactive material decays by simultaneous emission of two particles with half-lives 1620 years and 810 years respectively. The time in years after which one-fourth of material remains, is

Detailed Solution for BITSAT Practice Test - 10 - Question 8

Since, from Rutherford - Soddy law, the number of atoms left after half-lives is given by

Where, N0 is the original number of atoms.
The number of half-lives, 

Relation between effective disintegration constant (λ) and half life (T)


Effective half life,

BITSAT Practice Test - 10 - Question 9

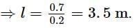
The emf of a standard cell is 1.5 V and its balancing length is 7.5 m. The balancing length (in meters) for a 3.5 Ω resistance, through which a current of 0.2 A flows will be

Detailed Solution for BITSAT Practice Test - 10 - Question 9

Here, the potential gradient for the potentiometer will be, 
Now, the potential difference across the given resistance will be, V = IR = 0.2 A × 3.5 Ω = 0.7
If the balancing length for the given resistance is l, then, 
V = xl
⇒ 0.7 = 0.2 × l

BITSAT Practice Test - 10 - Question 10

A stone is projected from a point on the ground in such a way so as to hit a bird at height 3h and could attain a maximum height 4h above the ground. If at the instant of projection, the bird flies away horizontally with speed 10 m s−1  and the stone still hits the bird while descending, then the horizontal velocity of stone is

Detailed Solution for BITSAT Practice Test - 10 - Question 10

Particle taken t1 time to reach from 0 to 3h and also t1 to reach from 3h to 4h and yet again t1 time from 4h to 3h.
∴ vx3t− 10 × 3t1 = vxt1
⇒ vx = 15 m s−1

BITSAT Practice Test - 10 - Question 11

Three rods of same dimensions have thermal conductivities 3K, 2K and K, with their ends at 100°C, 50°C and 0°C respectively. They are arranged as shown in the diagram. The temperature of the junction J in steady-state is:

Detailed Solution for BITSAT Practice Test - 10 - Question 11

Let T = temperature of the junction J
L = length and A = area of each rod
Heat conducted in first rod = heat conducted by second rod + heat conducted by third rod

BITSAT Practice Test - 10 - Question 12

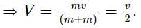
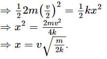
In the figure given below, the mass on the left is moving to the right with a constant velocity v and after colliding inelastically with the mass on the right, sticks to it. If the spring of spring constant k was initially at its equilibrium position, what is the amplitude to the resultant oscillation?

Detailed Solution for BITSAT Practice Test - 10 - Question 12

At the time of collision net force on the system along horizontal is zero, so, from the conservation of linear momentum, we have 
mv + 0 = (m + m)V, let V be the common velocity of both blocks.

At the amplitude means maximum displacement. Total kinetic energy at mean position is converted to total potential energy at the extreme position.

BITSAT Practice Test - 10 - Question 13

In a full-wave rectifier, circuit operating from 60 Hz main frequency, the fundamental frequency in ripple would be,

Detailed Solution for BITSAT Practice Test - 10 - Question 13

A full-wave rectifier is defined as a type of rectifier that converts both halves of each cycle of an alternating wave (AC signal) into a pulsating DC signal.

Therefore, the fundamental frequency of output will be doubled the fundamental frequency of input.
fo = 2fin ⇒ fo = 2 × 60 = 120 Hz

BITSAT Practice Test - 10 - Question 14

The potentiometer wire 10 m long and 20 Ω resistance is connected to a 3 V emf battery and a 10 Ω resistance. The value of potential gradient in V m−1 of the wire will be

Detailed Solution for BITSAT Practice Test - 10 - Question 14

Equivalent resistance of the circuit is given as Req = 10 + 20 = 30 Ω. 
Current flowing in the circuit is given as 
Voltage drop across the potentiometer wire is given as V = ε − IR, where ε is the emf of battery.

Potential gradient of potentiometer wire is given as 

BITSAT Practice Test - 10 - Question 15

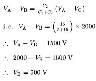
In the given circuit, if point C is connected to the earth and a potential of +2000 V is given to the point A, the potential at B is

Detailed Solution for BITSAT Practice Test - 10 - Question 15

As the two capacitors of equal capacitance 10 μF in the upper branch are in series, so their equivalent capacitance is 5 μF. So, given circuit can be redrawn as

Now as the 5 μF and 10 μF capacitors are in parallel, so their equivalent capacitance is 15 μF.
The capacitors 5 μF and 15 μF are in series, so potential across 5 μF capacitor is given by

BITSAT Practice Test - 10 - Question 16

A parachutist, after bailing out, falls 50 m without friction. When parachute opens, it retards at 2 ms-2. He reaches the ground with a speed of 3 ms-1. At what height did he bail out?

Detailed Solution for BITSAT Practice Test - 10 - Question 16

Let velocity at the end of 50 m be u m/s.
u2 = 2gh = 2 x 9.8 x 50 = 980 units
Let further displacement be s.


 Total height = h + s = 50 + 243 = 293m

BITSAT Practice Test - 10 - Question 17

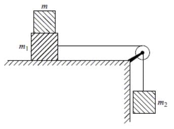
Two blocks of masses m1 = 4 kg and m2 = 6 kg are connected by a string of negligible mass passing over a frictionless pulley as shown in the figure. The coefficient of friction between block m1 and the horizontal surface is 0.4. When the system is released, the masses m1 and m2 start accelerating. What additional mass m should be placed over mass mso that the masses (m1 + m) slide with a uniform speed?

Detailed Solution for BITSAT Practice Test - 10 - Question 17

When the masses are accelerating, there is a tension in the string. When a mass m is added to m1 such that the acceleration is zero, the system of masses (m1 + m) will slide on the surface with a uniform speed and then, there is no tension in the string. This will happen if the downward force m2g equals the force of friction μ(m1 + m)g on blocks m1 and m.
 11 kg
Hence, the correct choice is (c).

BITSAT Practice Test - 10 - Question 18

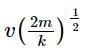
A spring scale is adjusted to read zero. Particles of mass 1 g fall on the pan of the scale and collide elastically and they rebound upward with the same speed. If the height of fall of particles is 2 metres and their rate of collision is 100 particles per second, then the scale reading (in grams) will be

Detailed Solution for BITSAT Practice Test - 10 - Question 18

Scale reading is due to the force acting on its pan. This force is due to the rate of change of momentum given to it because of colliding particles.
Velocity with which the particle collides with the pan, v =  =  = 2.8√5 ms-1
= 12.52 x 10-3 kg ms-1
 Momentum imparted to pan per second = 12.52 x 10-3 x 100
= 1.252 kg = 1252 g (weight)

BITSAT Practice Test - 10 - Question 19

The potential energy of a 1 kg particle, free to move along the x-axis, is given by V(x) = J. The total mechanical energy of the particle is 2 J. Then, the maximum speed (in m/s) is

Detailed Solution for BITSAT Practice Test - 10 - Question 19

dv/dx = x3 - x = 0
⇒ x(x2 - 1) = 0
⇒ x = 0, ±1
 = (3x2 - 1) = Positive for x = ±1
i.e. V is minimum at x = ±1
⇒ Vmax = - J
⇒ Kmax = 2 -  =  J
 × 1 × v2 = 
⇒ v = 3/√2 m/sec

BITSAT Practice Test - 10 - Question 20

A rocket is fired from Earth to the Moon. The distance between Earth and the Moon is r and the mass of Earth is 81 times the mass of the Moon. The gravitational force on the rocket will be zero when its distance from the Moon is

Detailed Solution for BITSAT Practice Test - 10 - Question 20

Let the rocket be at a distance x from the moon when the gravitational force on it is zero.
Its distance from earth = r - x. Gravitational force on the rocket due to earth is

where m is the mass of the rocket, Gravitational force on the rocket due to moon is

Since the two forces are in opposite directions, the net force on the rocket will be zero if Fe = Fm.
Equating the two we get

which gives x = r/10.
Hence the correct choice is (c).

BITSAT Practice Test - 10 - Question 21

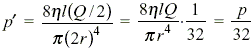
When water flows at a rate Q through a capillary tube of radius r that is placed horizontally, a pressure difference p develops across the ends of the tube. If the radius of the tube is doubled and the rate of flow halved, the pressure difference becomes

Detailed Solution for BITSAT Practice Test - 10 - Question 21

If the length of capillary tube is l, the pressure difference is given by

where η is the coefficient of viscosity of water. If r becomes 2r and Q becomes Q/2, we have

Hence the correct choice is (a).

BITSAT Practice Test - 10 - Question 22

A uniform rope of length 12 m and mass 6 kg hangs vertically from a rigid support. A block of mass 2 kg is attached to the free end of the rope. A transverse pulse of wavelength 0.06 m is produced in the lower end of the rope. What is the wavelength of the pulse, when it reaches the top of the rope?

Detailed Solution for BITSAT Practice Test - 10 - Question 22


The speed of the wave is


v = λf
Frequency of the wave does not change, so


BITSAT Practice Test - 10 - Question 23

The electric potential V (in volts) varies with x (in metres) according to the relation V = 5 + 4x2. The force experienced by a negative charge of 2 x 10-6 C, located at x = 0.5 m, is

Detailed Solution for BITSAT Practice Test - 10 - Question 23

Electric field E = -
Force on charge (-q) = -qE = +8qx
At x = 0.5 m, force = 8 x 2 x 10-6 x 0.5 = 8 x 10-6 N
Hence, the correct option is (d).

BITSAT Practice Test - 10 - Question 24

A metallic sphere A of radius 'a' carries a charge Q. It is brought in contact with an uncharged sphere B of radius 'b'. The charge on sphere A now will be

Detailed Solution for BITSAT Practice Test - 10 - Question 24

Charge will flow from A to B until their potentials become equal. If charge q flows from A to B, then 
or, Q - q = a/b, which gives q = 
Hence, charge left on A = Q - q = Q - 
Hence, the correct choice is (d).

BITSAT Practice Test - 10 - Question 25

The resistance of a coil is 4.2 Ω at 100oC and the temperature coefficient of resistance of its material is 0.004oC. Its resistance will be 4 Ω at

Detailed Solution for BITSAT Practice Test - 10 - Question 25

BITSAT Practice Test - 10 - Question 26

A non-planar loop of conducting wire carrying a current I is placed as shown in the figure. Each of the straight sections of the loop is of length 2a. The magnetic field due to this loop at the point P (a, 0, a) points in the direction

Detailed Solution for BITSAT Practice Test - 10 - Question 26

The magnetic field at P(a, 0, a) due to the loop is equal to the vector sum of the magnetic fields produced by loops ABCDA and AFEBA as shown in the figure.

Magnetic field due to loop ABCDA will be along  and due to loop AFEBA, along .
Magnitude of magnetic field due to both the loops will be equal.
Therefore, direction of resultant magnetic field at P will be 

BITSAT Practice Test - 10 - Question 27

Two particles, each of mass m and charge q, are attached to the two ends of a light rigid rod of length 2I. The rod is rotated at a constant angular speed about a perpendicular axis that passes through its centre. The ratio of the magnitude of the magnetic moment of the system to its angular momentum about the centre of the rod is

Detailed Solution for BITSAT Practice Test - 10 - Question 27

BITSAT Practice Test - 10 - Question 28

When one of the slits in Young's experiment is covered with a transparent sheet of thickness 3.6 x 10-3 cm, the central fringe shifts to a position originally occupied by the 30th bright fringe. If λ = 6000 Å, then the refractive index of the sheet is

Detailed Solution for BITSAT Practice Test - 10 - Question 28

BITSAT Practice Test - 10 - Question 29

A mark is made on the surface of a glass sphere of diameter 10 cm and refractive index 1.5. It is viewed through the glass from a portion directly opposite. The distance of the image of the mark from the centre of the sphere will be

Detailed Solution for BITSAT Practice Test - 10 - Question 29

Let P be the position of the mark. Q is the position of its image.
Since the incident ray PA lies in a medium of refractive index μ2, and is refracted into a medium of refractive index μ1, our formula becomes


where u = -2 R = -10 cm,
R = -5 cm, μ2 = 1.5 and μ1 = 1
Putting these values in the above formula, we have

which gives v = -20 cm
∴ Distance of image Q from O = 20 - 5 = 15 cm

BITSAT Practice Test - 10 - Question 30

If  then value of (a + b) = ?

Detailed Solution for BITSAT Practice Test - 10 - Question 30


so a= 1 , b=1 so a+b =2

View more questions
Information about BITSAT Practice Test - 10 Page
In this test you can find the Exam questions for BITSAT Practice Test - 10 solved & explained in the simplest way possible. Besides giving Questions and answers for BITSAT Practice Test - 10, EduRev gives you an ample number of Online tests for practice
Download as PDF