JEE Exam  >  JEE Tests  >  BITSAT Practice Test - 6 - JEE MCQ

BITSAT Practice Test - 6 - JEE MCQ


Test Description

30 Questions MCQ Test - BITSAT Practice Test - 6

BITSAT Practice Test - 6 for JEE 2025 is part of JEE preparation. The BITSAT Practice Test - 6 questions and answers have been prepared according to the JEE exam syllabus.The BITSAT Practice Test - 6 MCQs are made for JEE 2025 Exam. Find important definitions, questions, notes, meanings, examples, exercises, MCQs and online tests for BITSAT Practice Test - 6 below.
Solutions of BITSAT Practice Test - 6 questions in English are available as part of our course for JEE & BITSAT Practice Test - 6 solutions in Hindi for JEE course. Download more important topics, notes, lectures and mock test series for JEE Exam by signing up for free. Attempt BITSAT Practice Test - 6 | 130 questions in 180 minutes | Mock test for JEE preparation | Free important questions MCQ to study for JEE Exam | Download free PDF with solutions
BITSAT Practice Test - 6 - Question 1

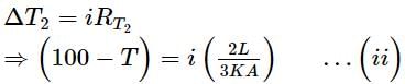
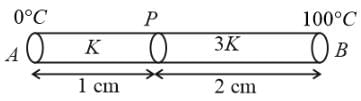
Two bars of thermal conductivities K and 3K and lengths 1 cm and 2 cm, respectively, have equal cross-sectional area, they are joined lengthwise as shown in the figure. If the temperature at the ends of this composite bar is 0°C and 100°C  respectively (see figure), then the temperature (T) of the interface is:

Detailed Solution for BITSAT Practice Test - 6 - Question 1

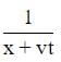
Two bars of thermal conductivities K & 3K & 3 of 1 cm & 2 cm are connected in series,


Two thermal resistance are connected in series 
We know that, 

Here, L is the length of rod, A is the area of cross-section and K is the thermal conductivity of the rod. 
Rod AP and PB are in series , current flow is same in both rods.  
Let, temperature T on point P for rod AP be,
 
For rod BP, length is double in this case,

Dividing equation (i) by equation (ii), we get, 

⇒ 2T = 300 − 3T
⇒ 5T = 300
⇒ T = 60°C
Temperature at the junction point is 60°C.

BITSAT Practice Test - 6 - Question 2

As the temperature of a liquid is raised, the coefficient of viscosity,

Detailed Solution for BITSAT Practice Test - 6 - Question 2
  • Viscosity is the property of fluids by the virtue of which it opposes any relative motion between the layers of fluid or between any object and fluid surrounding it. It is analogous to friction for fluids.
  • It depends strongly on temperature. In liquids, it usually decreases with increasing temperature.
  • Also, as the temperature rises, the atoms of the liquid become more mobile and the coefficient of viscosity falls.
BITSAT Practice Test - 6 - Question 3

What is the dimensional formula of  

Detailed Solution for BITSAT Practice Test - 6 - Question 3


BITSAT Practice Test - 6 - Question 4

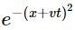
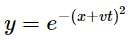
Which of the following functions represent a wave?

Detailed Solution for BITSAT Practice Test - 6 - Question 4

All the given functions are in the form of f(x ± vt).

For travelling wave, these functions should be continuous and finite for all values of t.

Only the function  has finite values and is defined for all values of t.

BITSAT Practice Test - 6 - Question 5

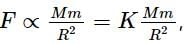
Assertion: Gravitational force on an object on the moon is one-sixth that on the earth.
Reason: The law of gravitation is the same on both the moon and the earth.

Detailed Solution for BITSAT Practice Test - 6 - Question 5

Newton's law of gravitation says that the force acting between two bodies is given by, 

where M and m are the mass of the different bodies, R is the distance between them and K is the proportionality constant.
From the above formula, we can see force depends on mass as well distance between them. In the case of gravitational force M and R are the mass and radius of planet. We know that earth is massive compare to the moon and its radius is also bigger than the moon.
Then, the gravitational force due to earth is 6 times more than the moon. 

BITSAT Practice Test - 6 - Question 6

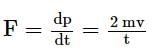
A particle of mass m moving with a velocity v strikes a wall and rebounds back. If the magnitude of the velocity is unchanged, the magnitude of force exerted on the wall by the particle during the time of contact, t will be -

Detailed Solution for BITSAT Practice Test - 6 - Question 6

BITSAT Practice Test - 6 - Question 7

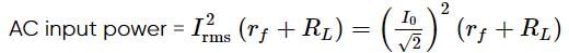
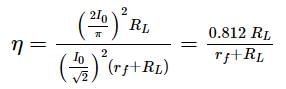
The maximum efficiency of full wave rectifier is

Detailed Solution for BITSAT Practice Test - 6 - Question 7

Efficiency of a rectifier is given by

For full wave rectifier


∴ Rectifier efficiency

η  will be maximum, if rf is negligible as compared to RL.
∴ Maximum rectified efficiency = 81.2%.

BITSAT Practice Test - 6 - Question 8

A generator has an e.m.f. of 440 V and internal resistance of 400 Ω. Its terminals are connected to a load of 4000 ohm. The voltage across the load is

Detailed Solution for BITSAT Practice Test - 6 - Question 8

The internal resistance and the load will be in series connection, the total resistance across the circuit is given by,
R = RL + r = 4000 + 400 = 4400 Ω
The emf of the transformer is V = 440 V 
Current flowing through the circuit, 

Therefore, the voltage across the load is given as,

= RLi = 4000 × 0.1 = 400

BITSAT Practice Test - 6 - Question 9

Assertion: Threshold wavelength of certain metal λ0. Light of wavelength slightly less than λ0 is incident on the plate. It is found that after some time the emission of electrons stops
Reason: The ejected electrons experience force of attraction due to development of positive charges on plate which after certain time is adequate enough to hold them to plate itself.

Detailed Solution for BITSAT Practice Test - 6 - Question 9

If both Assertion and Reason are true and the Reason is correct explanation of the Assertion.
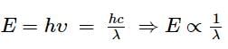
Energy of incident photon's 
As we decrease wavelength to less than it's threshold wavelength corresponding energy of photon's increases. So, due to sufficient energy possessed by photon's , photo electons emission take place,after some time emission of electrons stops , as photo emmiting surface gained sufficient positive charge so ejected electron will experience attraction from surface electrons which becomes positively charged.

BITSAT Practice Test - 6 - Question 10

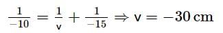
A point object is placed on the principal axis of a concave mirror, at a distance of 15 cm from the pole. The radius of curvature of the mirror is 20 cm and the object is made to oscillate along the principal axis with an amplitude of 2 mm. The amplitude of its image will be

Detailed Solution for BITSAT Practice Test - 6 - Question 10

Using mirror formula,


Amplitude of image = 4 x 2 = 8 mm.

BITSAT Practice Test - 6 - Question 11

At a certain instant a stationary transverse wave is found to have maximum kinetic energy. The appearance of string at that instant is

Detailed Solution for BITSAT Practice Test - 6 - Question 11

When particles vibrate in loops, they perform SHM. So particles have maximum speed when they cross mean position and their speed is zero at the extreme position. Also, all the particles in a loop have a phase difference of 0. So when all particles cross their mean position, kinetic energy is maximum and shape of the string is straight.

BITSAT Practice Test - 6 - Question 12

A bird is sitting in a large closed cage which is placed on a spring balance. It records a weight of 25 N. The bird (mass m = 0.5 kg) flies upward in the cage with an acceleration of 2 ms−2. The spring balance will now record a weight of

Detailed Solution for BITSAT Practice Test - 6 - Question 12

When the bird is at rest inside the cage, the spring balance records its weight, which is equal to the gravitational force acting on it, i.e., 25 N.

When the bird flies upward in the cage with an acceleration of 2 m/s^2, the net force acting on the bird is given by:

F = m*a

where F is the net force, m is the mass of the bird, and a is the acceleration.

F = 0.5 kg * 2 m/s^2 = 1 N

This means that the bird is exerting an additional force of 1 N upwards while flying.

Therefore, the spring balance will now record a weight of:

W = 25 N + 1 N = 26 N

So the spring balance will now record a weight of 26 N.

BITSAT Practice Test - 6 - Question 13

The electric field components in the given figure are Ex = αx1/2 and Ey = Ez = 0 in which α = 800 N C−1 m−1/2. The charge within the cube is, if net flux through the cube is 1.05 mC−1 (assume a = 0.1 ma = 0.1 m)

Detailed Solution for BITSAT Practice Test - 6 - Question 13

According to Gauss' law, the net  total electric flux through  a closed surface is proportional to the charge enclosed by the closed surface.
Mathematically, 

Net flux passing through closed surface =ϕ = 1.05 N m2 C−1

Total enclosed charge = qenclosed = ?

Permittivity = ε0 = 8.854 × 10−12 

Substituting the values and simplifying we get

qenclosed = ϕε0  = 1.05 × 8.854 × 10−12 
= 9.27 × 10−12 C

BITSAT Practice Test - 6 - Question 14

A unit less quantity

Detailed Solution for BITSAT Practice Test - 6 - Question 14

For a quantity to be unit less, its dimensions = 1 = M0L0T0.

Hence, it has to be dimensionless.

Some examples are refractive index and relative density, these are unit less and dimensionless.

Quantities like angles are dimensionless, but they have a unit.

Hence, the correct answer is never has a non-zero dimension.

BITSAT Practice Test - 6 - Question 15

Two blocks of masses M and m are connected by a string passing over a pulley as shown in the figure.

The downward acceleration of the block with mass m is

Detailed Solution for BITSAT Practice Test - 6 - Question 15

Two blocks of masses M and m are connected by a string passing over a pulley. Let T is the tension in the string and a is the downward acceleration. Applying II law of motion for the block of mass M.
T = Ma ...(i)
For block of mass m
ma = mg - T ...(ii)

From Equations, (i) and (ii), we get
ma = mg - Ma

BITSAT Practice Test - 6 - Question 16

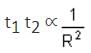
For a given velocity, a projectile has the same range R for two angles of projection. If t1 and t2 are the times of flight in the two cases, then:

Detailed Solution for BITSAT Practice Test - 6 - Question 16

BITSAT Practice Test - 6 - Question 17

A block is kept on a frictionless inclined surface with angle of inclination α. The incline is given an acceleration 'a' to keep the block stationary. Then 'a' is equal to

Detailed Solution for BITSAT Practice Test - 6 - Question 17

BITSAT Practice Test - 6 - Question 18

A particle of mass m moves on the x-axis under the influence of a force of attraction towards the origin O, given by . If it starts from rest at a distance 'a' from the origin, the speed attained by it after reaching a point at a distance x will be

Detailed Solution for BITSAT Practice Test - 6 - Question 18

BITSAT Practice Test - 6 - Question 19

A solid cylinder of mass M and radius R rolls down an inclined plane of height 'h'. The angular velocity of the cylinder when it reaches the bottom of the plane will be

Detailed Solution for BITSAT Practice Test - 6 - Question 19

BITSAT Practice Test - 6 - Question 20

Suppose the gravitational force varies inversely as the nth power of the distance. The time period of a planet in circular orbit of radius R around sun will be proportional to:

Detailed Solution for BITSAT Practice Test - 6 - Question 20

Necessary centripetal force is provided by the gravitational force,


Time period of revolution is

or 

BITSAT Practice Test - 6 - Question 21

Directions: In the following question, Statement-1 (Assertion) is followed by Statement-2 (Reason). The question has the following four choices out of which only one choice is correct.
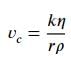
Statement-1: The critical velocity of a liquid flowing through a tube is inversely proportional to the radius of the tube.
Statement-2: The velocity of a liquid flowing through a tube is inversely proportional to the cross-sectional area of the tube.

Detailed Solution for BITSAT Practice Test - 6 - Question 21

 

Yes, the critical velocity of a liquid flowing through a tube is inversely proportional to the radius of the tube: 

 

Yes, the velocity of a liquid flowing through a tube is inversely proportional to the cross-sectional area of the tube. This means that as the cross-sectional area increases, the velocity decreases. For example, if the cross-sectional area of a pipe is halved, the velocity of the liquid will double. 

BITSAT Practice Test - 6 - Question 22

Directions: The air column in a pipe closed at one end is made to vibrate in its second overtone by a tuning fork of frequency 400 Hz. The speed of sound in air is 320 ms-1. The end correction may be neglected. Let P0 denote the mean pressure at any point in the pipe and ΔP0 denote the maximum amplitude of pressure variation.
The length L of the air column is

Detailed Solution for BITSAT Practice Test - 6 - Question 22

Figure shows the longitudinal displacement y as a function of x for x lying between x = 0 and x = L, where L is the length of the pipe.

The fundamental frequency of a closed pipe is given by

In a closed pipe, only odd harmonics are present, i.e. the frequency v1 of the first overtone is 3 times the fundamental frequency, that of the second overtone v2 is 5 times the fundamental freuency and so on.
v2 = 5v = 
⇒ L =  = 1.0 m

BITSAT Practice Test - 6 - Question 23

A carnot engine has efficiency 1/5. Efficiency becomes 1/3 when temperature of sin k is decreased by 50 K. What is the temperature of source?

Detailed Solution for BITSAT Practice Test - 6 - Question 23

Let T be temperature of source, T1 be initial temperature of sink in the first case and T2 be temperature of sink in second case.
For the first case,

T1 = 
For the second case,


T1 - T2 = 50

= 50
T = 25 × 15 = 375 K

BITSAT Practice Test - 6 - Question 24

When the potential function at any point is given by the expression , the magnitude of the electric field at any point is given by

Detailed Solution for BITSAT Practice Test - 6 - Question 24

By definition,

BITSAT Practice Test - 6 - Question 25

An electron is accelerated to a high speed down the axis of a cathode ray tube by the application of a potential difference of V volts between the cathode and the anode. The particle then passes through a uniform transverse magnetic field in which it experiences a force F. If the potential difference between the anode and the cathode is increased to 2 V, the electron will now experience a force of

Detailed Solution for BITSAT Practice Test - 6 - Question 25

The velocity when the potential difference is V, is

and force F = evB
When the potential difference is doubled, i.e. V' = 2V, the velocity is

 Force F' = ev'B = √2 evB = √2F

BITSAT Practice Test - 6 - Question 26

The number of turns and the radius of cross-section of the coil of a tangent galvanometer are doubled. The value of the reduction factor k will be

Detailed Solution for BITSAT Practice Test - 6 - Question 26

i = 
Since, k = 
r' = 2r, n' = 2n
Then k' =  = k
Then, the value of reduction factor remains the same.

BITSAT Practice Test - 6 - Question 27

In an inductor, the current I (in amperes) varies with time t (in seconds) as I = 5 + 16t. If the emf induced in the inductor is 10 mV, then the power supplied to the inductor at t = 1s is

Detailed Solution for BITSAT Practice Test - 6 - Question 27

BITSAT Practice Test - 6 - Question 28

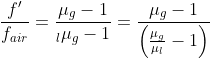
A thin equi-convex lens is made of glass with refractive index 1.5, and its focal length is 0.2 m. If it acts as a concave lens of 0.5 m focal length when dipped in a liquid, the refractive index of the liquid is:

Detailed Solution for BITSAT Practice Test - 6 - Question 28

The focal length of a convex lens of refractive index μg in air is
 ...(i)
Where R1 and R2 are the radius of curvatures of its first and second surface.
When lens immersed in a liquid of refractive index μthen refractive index of material of lens (glass) with respect to liquid is
 ... (ii)
∴ Focal length of lens in liquid is
 ...(iii)
Dividing (i) by (iii), we get

Putting f' = -0.5 m
fair = 0.2 m
 = 1.5
 = ?

⇒ 
⇒ 


∴ Refractive index of liquid = 15/8

BITSAT Practice Test - 6 - Question 29

Assume that the nuclear binding energy per nucleon (B/A) versus mass number (A) is as shown in the figure below. Use this plot to choose the correct choice.

Detailed Solution for BITSAT Practice Test - 6 - Question 29

The curve shows rise at A = 100 and fall at A = 200. Comparing with the actual curve, lighter nuclei in the range 51 < A < 100 will release energy on fusion and heavier nuclei in the range 200 < A < 260 will release energy on fission.

BITSAT Practice Test - 6 - Question 30

A transistor is used as an amplifier in CB mode with a load resistance of 5 kW. The current gain of the amplifier is 0.98 and the input resistance is 70 W. The voltage gain and power gain respectively, are

Detailed Solution for BITSAT Practice Test - 6 - Question 30

View more questions
Information about BITSAT Practice Test - 6 Page
In this test you can find the Exam questions for BITSAT Practice Test - 6 solved & explained in the simplest way possible. Besides giving Questions and answers for BITSAT Practice Test - 6, EduRev gives you an ample number of Online tests for practice
Download as PDF