JEE Exam  >  JEE Tests  >  BITSAT Practice Test - 8 - JEE MCQ

BITSAT Practice Test - 8 - JEE MCQ


Test Description

30 Questions MCQ Test - BITSAT Practice Test - 8

BITSAT Practice Test - 8 for JEE 2025 is part of JEE preparation. The BITSAT Practice Test - 8 questions and answers have been prepared according to the JEE exam syllabus.The BITSAT Practice Test - 8 MCQs are made for JEE 2025 Exam. Find important definitions, questions, notes, meanings, examples, exercises, MCQs and online tests for BITSAT Practice Test - 8 below.
Solutions of BITSAT Practice Test - 8 questions in English are available as part of our course for JEE & BITSAT Practice Test - 8 solutions in Hindi for JEE course. Download more important topics, notes, lectures and mock test series for JEE Exam by signing up for free. Attempt BITSAT Practice Test - 8 | 130 questions in 180 minutes | Mock test for JEE preparation | Free important questions MCQ to study for JEE Exam | Download free PDF with solutions
BITSAT Practice Test - 8 - Question 1

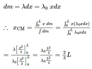
A non-uniform thin rod of length L is placed along X-axis as such its one of ends is at the origin. The linear mass density of rod is λ = λ0x. The distance of centre of mass of rod from the origin is

Detailed Solution for BITSAT Practice Test - 8 - Question 1

The mass of the considered element is, 

BITSAT Practice Test - 8 - Question 2

The electrons in the atom of an element which determine its chemical and electrical properties are called

Detailed Solution for BITSAT Practice Test - 8 - Question 2

The electrons in the outermost shell of an atom determines the electrical and chemical properties of element. They take part in the formation of chemical bonds, form free charge carriers in semiconductors, show photoelectric effect etc. The electrons in outermost shell are called valence electrons.

BITSAT Practice Test - 8 - Question 3

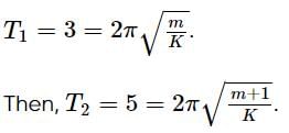
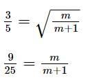
A body of mass, m is attached to the lower end of a spring whose upper end is fixed. The spring has negligible mass. When the mass m is slightly pulled down and released, it oscillates with a time period of 3 s. When the mass m is increased by 1 kg, the time period of oscillations becomes 5 s. The value of m in kg is

Detailed Solution for BITSAT Practice Test - 8 - Question 3


By dividing both the equations, we get,

9m + 9 = 25

16m = 9

m = 9/16.

BITSAT Practice Test - 8 - Question 4

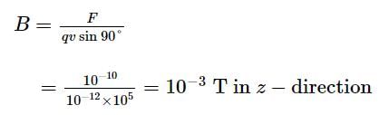
If a particle of charge 10−12 C moving along the x-direction with a velocity of 105 m/s experience a force of 10−10 N in y-direction due to magnetic field, then the minimum value of magnetic field is

Detailed Solution for BITSAT Practice Test - 8 - Question 4

The minimum value of magnetic field

BITSAT Practice Test - 8 - Question 5

A ray of light is incident from glass on the interface between water and glass at an angle i and refracted parallel to the water surface after comming out of water, then value of μg will be

Detailed Solution for BITSAT Practice Test - 8 - Question 5

Here r = 90°.

From Snell's law,

BITSAT Practice Test - 8 - Question 6

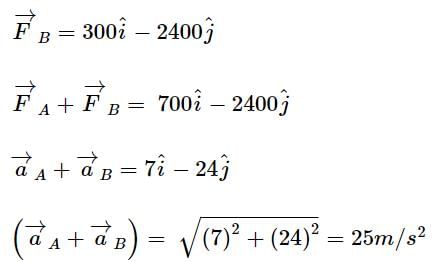
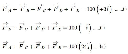
Five persons Ram, Shyam, Mohan, Sohan and Rohit are pulling a cart of mass 100 kg on a smooth surface and cart is moving with an acceleration 3 m s−2 in east direction. If Shyam stop pulling, the cart moves with acceleration 24 m s−2 in the north direction. When Ram stops pulling, it moves with the acceleration 1 m s−2 in the west direction. What is the magnitude of acceleration of the cart when only Ram and Shyam pull the cart keeping their direction same as the old directions?

Detailed Solution for BITSAT Practice Test - 8 - Question 6



From (i) and (ii),

From (i) and (iii),

BITSAT Practice Test - 8 - Question 7

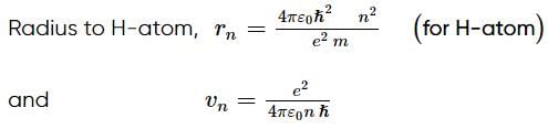
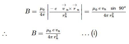
An electron is moving along the first Bohr orbit of a Hydrogen atom. The corresponding magnetic field induction at its centre is (1G = 10−4 T)

Detailed Solution for BITSAT Practice Test - 8 - Question 7

The magnetic field at a centre of H-atom due to moving electron is



On putting the values in Eqn. (i), we get

BITSAT Practice Test - 8 - Question 8

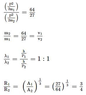
An isolated nucleus which was initially at rest, disintegrates into two nuclei due to internal nuclear forces and no γ rays are produced. If the ratio of their kinetic energy is found to be 64/27  then.

Detailed Solution for BITSAT Practice Test - 8 - Question 8

P1 = P2 = P
m1v1 = m2v2

BITSAT Practice Test - 8 - Question 9

The sides of a rectangle are 6.01 m and 12 m. Taking the significant figures into account, the area of the rectangle is

Detailed Solution for BITSAT Practice Test - 8 - Question 9

Area of rectangle = 6.01 × 12 = 72.12 m2

​Result should have only two significant numbers (same as in 12 m). So, correct area will be 72 m2.

BITSAT Practice Test - 8 - Question 10

The diagram below shows the propagation of a wave. Which points are in same phase? 

Detailed Solution for BITSAT Practice Test - 8 - Question 10

Points B and F are in the same phase as the distance between them is equal to the wavelength. The phase of a periodic function of some real variable, is the angle illustrating the number of periods spanned by that variable. It is denoted and expressed in such a scale that it varies by one full turn as the variable goes through each period.

BITSAT Practice Test - 8 - Question 11

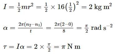
What torque will increase the angular velocity of a solid disc of mass 16 kg and diameter 1 m from zero to 120 rpm in 8 s?

Detailed Solution for BITSAT Practice Test - 8 - Question 11

BITSAT Practice Test - 8 - Question 12

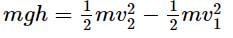
A motorcyclist is trying to jump across a path as shown by driving horizontally off a cliff A at a speed of 5 m s−1. Ignore air resistance and take g = 10 m s−2. The speed with which he touches the clift B is

Detailed Solution for BITSAT Practice Test - 8 - Question 12

Speed in horizontal direction remains constant during whole journey because there is no acceleration in this direction.
Loss of gravitation potential energy = gain in kinetic energy


Hence, the speed with which he touches the cliff B is

BITSAT Practice Test - 8 - Question 13

A small object is placed 10 cm in front of a plane mirror. If you stand behind the object, 30 cm from the mirror and look at its image, for what distance must you focus your eyes?

Detailed Solution for BITSAT Practice Test - 8 - Question 13

From the concept of image formation by plane mirror, virtual image will be formed at 10 cm10 cm behind the mirror. 
As shown in figure.

​​​​​​Here we can see image acts as object for eye and thus object distance is, u = 40 cm
So eye must have to focus on image of the object, i.e at 40 cm

BITSAT Practice Test - 8 - Question 14

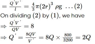
In Millikan's oil drop experiment a drop of charge Q and radius r is kept constant between two plates of potential difference of 800 V. Then charge on other drop of radius 2r which is kept constant with a potential difference of 3200 V is

Detailed Solution for BITSAT Practice Test - 8 - Question 14

Case is shown in figure, 

Now we can see, 
= QE = mg

Where density of material is ρ and accleration due to gravity is g
Similarly for other case, 

BITSAT Practice Test - 8 - Question 15

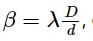
If Young's double slit experiment is performed in water,

Detailed Solution for BITSAT Practice Test - 8 - Question 15

As light moves from air to water, its speed decreases due to refractive index of water.

Fringe width, as λ decreases on entering in water, β also decreases.

λ = wavelength in medium,

D = separation between slit and screen,

d = separation between slits.

BITSAT Practice Test - 8 - Question 16

A force 'F' is applied on a square plate of side 'L'. If percentage error in determination of 'L' is 3% and 'F' is 4%, then the permissible error in pressure is

Detailed Solution for BITSAT Practice Test - 8 - Question 16

We know that, p = 
% error in pressure = (% error in F) + 2(error in L)
= (4%) + 2(3%)
= 10%

BITSAT Practice Test - 8 - Question 17

A string of negligible mass, going over a clamped pulley of mass m, supports a block of mass M as shown in the figure. The force on the pulley by the clamp is given by

Detailed Solution for BITSAT Practice Test - 8 - Question 17


The horizontally acting tension, T = Mg
The downward vertical force = (M + m)g
So, resultant force, which is choice (d).

BITSAT Practice Test - 8 - Question 18

The air of density ρ and moving with a velocity v strikes perpendicularly the inclined surface of area A and of a wedge kept on a horizontal surface. The mass of the wedge is m. Assuming the collisions to be perfectly inelastic, the minimum value of the coefficient of friction between the wedge and the ground, so that the wedge does not move is
(Assume mass of particles of air is negligible)

Detailed Solution for BITSAT Practice Test - 8 - Question 18

As the collision is completely inelastic, so change in momentum is ρAv2.
Resolving it into components as shown, we have

BITSAT Practice Test - 8 - Question 19

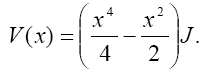
The potential energy of a 1 kg particle, free to move along the x-axis, is given by The total mechanical energy of the particle is 2 J. Then, the maximum speed (in m/s) is

Detailed Solution for BITSAT Practice Test - 8 - Question 19

Velocity of a particle will be maximum when its kinetic energy is maximum and corresponding to this, potential energy will be minimum.
 J

For minimum value,


Hence, minimum potential energy of the particle is
 J


Hence, maximum velocity of the particle
 m/s

BITSAT Practice Test - 8 - Question 20

A uniform thin rod of mass M and length L is hinged by a frictionless pivot at its end O as shown in the figure. A bullet of mass m moving horizontally with a velocity v strikes the free end of the rod and gets embedded in it. The angular velocity of the system about O, just after the collision, is

Detailed Solution for BITSAT Practice Test - 8 - Question 20

Let ω be the angular velocity acuired by the system (rod + bullet) immediately after the collision.
Since no external torque acts, the angular momentum of the system is conserved. Thus
mvL = Iω ....(1)
where I is the moment of inertia of the system about an axis passing through O and perpendicular to the rod. Thus
I = M.I. of rod about O + M.I. of bullet stuck at its lower end about O
= 1/3 ML2 + mL2 = 1/3 (M + 3m)L2 ...(2)
Using Eq. (1) in Eq. (2), we have
mvL = 1/3 (M + 3m)L2ω
or ω = 
Hence the correct choice is (c).

BITSAT Practice Test - 8 - Question 21

A cube is subjected to a uniform volume compression. If the side of the cube is decreased by 2%, then the bulk strain is

Detailed Solution for BITSAT Practice Test - 8 - Question 21

BITSAT Practice Test - 8 - Question 22

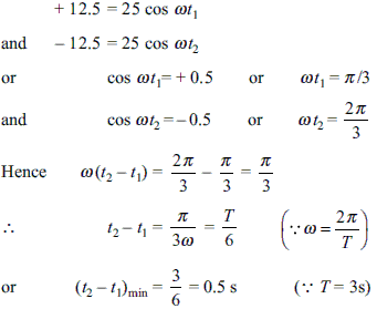
A particle executes SHM of amplitude 25 cm and time period 3 s. What is the minimum time required for the particle to move between two points located at 12.5 cm on either side of the mean position?

Detailed Solution for BITSAT Practice Test - 8 - Question 22

Let A and B be the two extreme positions of the particle with O as the mean position. Displacements to the right of O are taken as positive while those to the left of O are taken as negative

Let the displacement of the particle is SHM be given by

Let us suppose that at time t = 0, the particle is at extreme position B. Setting x = A at t = 0 in Eq. (i)
we have

Now let us say that the particle reaches point C at t = t1 and point D at t = t2. At C, the displacement x(t1) = + 12.5 cm and at D, it is x(t2) = -12.5 cm (see Fig.).
So from (ii) we have

Notice that cos ωt2 = -0.5 even for t2 = 4π/3 .
This value of t2 does not correspond to the minimum time because this is the time at which the particle, moving to left, reaches A and then returns to D.

BITSAT Practice Test - 8 - Question 23

A transverse sinusoidal wave of amplitude a, wavelength λ and frequency f is travelling on a stretched string. The maximum speed at any point on the string is v/10, where v is the speed of propagation of the wave. If a = 10-3 m and v = 10 ms-1, then λ and f are given by

Detailed Solution for BITSAT Practice Test - 8 - Question 23

BITSAT Practice Test - 8 - Question 24

A copper wire is held at the two ends by rigid supports. At 30oC, the wire is just taut with negligible tension. Find the speed of transverse waves in the wire at 10oC.

Detailed Solution for BITSAT Practice Test - 8 - Question 24

When the temperature changes from 30oC to 10oC, then change in length of the wire is 

Now, Y =  or F = , where a is the area of cross-section of the wire
 F or T = 
= 4.76  107 aN
Now, speed of transverse wave, v = 
But, 
 v = 
= 72 ms-1

BITSAT Practice Test - 8 - Question 25

Six charges, each equal to + q, are placed at the corners of a regular hexagon of side a. The electric potential at the point where the diagonals of the hexagon intersect will be

Detailed Solution for BITSAT Practice Test - 8 - Question 25

Longest diagonal of a regular hexagon is 2a.
Distance of the point of intersection of diagonals from each of its vertices = Side of the hexagon = a.
The potential at this point due to each charge = 
Therefore, total potential = , which is choice (c).

BITSAT Practice Test - 8 - Question 26

The figure below shows four cells E, F, G and H of emfs 2 V, 1 V, 3 V and 1 V and internal resistances 2 Ω, 1 Ω, 3 Ω and 1 Ω, respectively.

The current flowing in the 2 Ω resistor is

Detailed Solution for BITSAT Practice Test - 8 - Question 26

Let I1 and I2 be the currents in branches BAD and DCB, respectively as shown in the figure. Let I3 be the current along DB through the 2 Ω resistor.

Applying Kirchhoff's first law at function D, we have
I1 = I2 + I3 or I3 = I1 - I2
Applying Kirchhoff's second law to loops BADB and DCBD, we have
2I1 + I1 + 2(I1 - I2) = 2 - 1 = 1
or, 5I1 - 2I2 = 1 (i)
and 3I2 + I2 - 2(I1 - I2) = 3 - 1 = 2
or, 6I2 - 2I1 = 2 (ii)
From Eqs. (i) and (ii), we get 
 
The negative sign shows that the current through the 2 Ω resistor flows along BD and not along DB as assumed. So, the correct choice is (d).

BITSAT Practice Test - 8 - Question 27

A moving coil galvanometer consists of a coil of N turns and area A suspended by a thin phosphor bronze strip in radial magnetic field B. The moment of inertia of the coil about the axis of rotation is l and C is the torsional constant of the phosphor bronze strip. When a current i is passed through the coil, it deflects through an angle θ (in radians). The current sensitivity of the galvanometer is increased if

Detailed Solution for BITSAT Practice Test - 8 - Question 27

Let θ be the angular deflection (in radians) when a current i is passed through the coil.
Then, restoring torque = Cθ
When the coil is in equilibrium, Deflecting torque = Restoring torque, i.e. iNAB = Cθ
 Current sensitivity is 
Hence, the correct choice is (a).

BITSAT Practice Test - 8 - Question 28

Two long, parallel, horizontal rails, distance d apart and each having a resistance λ per unit length are joined at one end by a resistance R. A perfectly conducting rod MN of mass m is free to slide along the rails without friction (see the figure). There is a uniform magnetic field of induction B normal to the plane of the paper and directed into the paper. A variable force F is applied to the rod MN such that as the rod moves, constant current flows through R.

The magnitude of the emf induced in the loop is

Detailed Solution for BITSAT Practice Test - 8 - Question 28

Let the distance from R to MN be x. Then the area of the loop between MN and R is xd and the magnetic flux linked with the loop is Bxd.
As the rod moves, the emf induced in the loop is given by
|e| = d/dt (Bxd) = Bd dx/dt = Bvd
where v = velocity of MN.

BITSAT Practice Test - 8 - Question 29

The objective of a telescope has a focal length of 1.2 m. It is used to view a 10.0 m tall tower 2 km away. What is the height of the image of the tower formed by the objective?

Detailed Solution for BITSAT Practice Test - 8 - Question 29

Given u = -2 km = -2000 m and f0 = 1.2 m.
The lens formula is


Since f0 << u, f0 + u ≈ u. Hence
v = f0 = 1.2 m
Therefore, magnification produced by the objective is

∴ Height of image = I × m0 = 10 m × - 
= -0.006 m = -6 mm
The negative sign indicates the image is inverted.
Hence the correct choice is (c).

BITSAT Practice Test - 8 - Question 30

A diatomic molecule is made of two masses m1 and m2, which are separated by a distance r. If we calculate its rotational energy by applying Bohr's rule of angular momentum quantisation, then its energy will be given by

Detailed Solution for BITSAT Practice Test - 8 - Question 30

According to Bohr's postulate, 
Putting 
Moment of inertia, I = 
KE rotational = 
= 
= 

View more questions
Information about BITSAT Practice Test - 8 Page
In this test you can find the Exam questions for BITSAT Practice Test - 8 solved & explained in the simplest way possible. Besides giving Questions and answers for BITSAT Practice Test - 8, EduRev gives you an ample number of Online tests for practice
Download as PDF