Engineering Mathematics Exam  >  Engineering Mathematics Tests  >  Differential Equation - Engineering Mathematics MCQ

Differential Equation - Engineering Mathematics MCQ


Test Description

16 Questions MCQ Test - Differential Equation

Differential Equation for Engineering Mathematics 2025 is part of Engineering Mathematics preparation. The Differential Equation questions and answers have been prepared according to the Engineering Mathematics exam syllabus.The Differential Equation MCQs are made for Engineering Mathematics 2025 Exam. Find important definitions, questions, notes, meanings, examples, exercises, MCQs and online tests for Differential Equation below.
Solutions of Differential Equation questions in English are available as part of our course for Engineering Mathematics & Differential Equation solutions in Hindi for Engineering Mathematics course. Download more important topics, notes, lectures and mock test series for Engineering Mathematics Exam by signing up for free. Attempt Differential Equation | 16 questions in 30 minutes | Mock test for Engineering Mathematics preparation | Free important questions MCQ to study for Engineering Mathematics Exam | Download free PDF with solutions
Differential Equation - Question 1

The order of the differential equation of all tangent lines to the parabola y = x2 is

Detailed Solution for Differential Equation - Question 1

Sol.[A]   The parametric form of the given equation is x = t, y = t2. The equation of any tangent at
t is 2xt = y t2. Differentiating, we get 2t = y1. Putting this value in the equation of tangent, we have 2 x y1/2 = y (y1/2)2 Þ 4xy1 = 4y y12

                The order of this equation is one.

 

Differential Equation - Question 2

A technique by which problems in analysis, in particular differential equations, are transformed into algebraic problems is called

Differential Equation - Question 3

The general solution of (x2 D2 – xD), y= 0 is :

Differential Equation - Question 4

which is the linear differential equations

Differential Equation - Question 5

The maximum number of linearly independent solution of with y(0)=1 is 

Differential Equation - Question 6

If x = 2 ln cot t and y = tan t + cot t, the value of dy / dx is 

Detailed Solution for Differential Equation - Question 6

x = tan t + cot t

∴ x = [(sin2t + cos2t)/(sint cost)] = [2/(sin 2t)]

also

 y = 2 log (cot t)

(dx/dt) = (d/dt) [2/(sin 2t)]

(dx/dt) = – 2 ∙ cosec 2t ∙ cot 2t (2)

(dy/dt) = [2/{(cos t)/(sin t)}] ∙ (– cosec2 t)

= [(– 2)/(cos t)] ∙ [(sin t)/(sin2 t)] = [(– 4)/(sin 2t)]

∴ [(dy/dt)/(dx/dt)] = (dy/dx) = [(– 4 cosec 2t)/(– 4 cosec 2t ∙ cot 2t)]

∴ (dy/dx) = tan 2t

Differential Equation - Question 7

Solution of  + 2xy = y is 

Differential Equation - Question 8

The general solution of (x2 D2 – xD), y= 0 is :

Differential Equation - Question 9

 The differential equation formed by y= acosx + bsinx + 4 where a and b are arbitrary constants is :

Detailed Solution for Differential Equation - Question 9

y = acosx + bsinx + 4

⟹dy/dx ​= −asinx + bcosx 

⟹d2y​/dx= −acosx − bsinx 

⟹d2y​/dx= −y + 4 

⟹ d2y​/dx+ y = 4

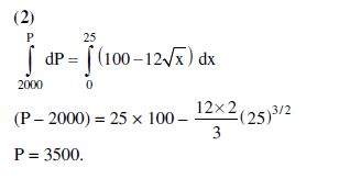
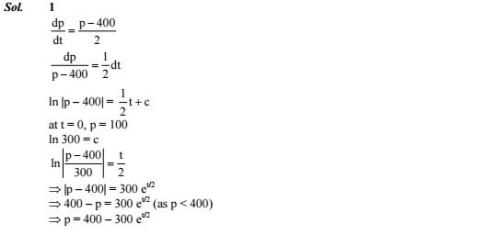
Differential Equation - Question 10
Detailed Solution for Differential Equation - Question 10
Differential Equation - Question 11

The polynomial ar2+br+c=0 is called

Differential Equation - Question 12
Detailed Solution for Differential Equation - Question 12
Differential Equation - Question 13

 The general solution of (x2 D2 – xD), y= 0 is :

Differential Equation - Question 14

 Linear second order ordinary differential equation is non homogeneous if

Differential Equation - Question 15

The polynomial ar2+br+c=0 is called

Differential Equation - Question 16

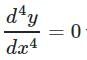
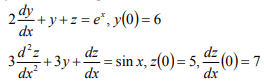
A differential equation is considered to be ordinary if it has

Detailed Solution for Differential Equation - Question 16

The correct answer is (C).

A differential equation is considered to be ordinary if it has one independent variable. Ordinary differential equations can have as many dependent variables as needed. For example the ordinary differential equations

have two dependent variables y and z, and one independent variable, x.

Information about Differential Equation Page
In this test you can find the Exam questions for Differential Equation solved & explained in the simplest way possible. Besides giving Questions and answers for Differential Equation, EduRev gives you an ample number of Online tests for practice
Download as PDF