Fill in the blank with the correct word.
Since she believed him to be both candid and trustworthy, she refused to consider the possibility that his statement had been______.
Find the sentence that has a mistake in grammar or usage. If you find no mistake, mark choice 4.
In a press meet on the recent scam, the minister said, "The buck stops here". What did the minister convey by the statement?
Directions: The following verbal analogy has two parts. One part is complete while the other one is incomplete. Complete the portion that is incomplete by selecting the right choice from the given options.
Son : Nuclear : : ______ : Extended
The variable cost (V) of manufacturing a product varies according to the equation V = 4q, where q is the quantity produced. The fixed cost (F) of production of same product reduces with q according to the equation F = 100/q. How many units should be produced to minimise the total cost (V + F)?
Directions: Choose the sentence that best combines the given sentences.
The federal government has diversity of jobs and geographic locations. The federal government offers flexibility in job opportunities that is unmatched in the private sector.
Choose the most appropriate alternative from the options given below to complete the following sentence.
Suresh's dog is the one ________ was hurt in the stampede.
The first term of an AP is equal to the sum of the common ratio of a GP and the first term of the GP, which is equal to the common difference of the AP. If the sum of the first two terms of the GP is equal to the sum of the first 2 terms of the AP, then the ratio of the first term of the GP to the first term of the AP is
12 men can finish a project in 20 days. 18 women can finish the same project in 16 days and 24 children can finish it in 18 days. 8 Women and 16 children worked for 9 days and then left. In how many days will 10 men complete the remaining project?
Ramu is planning to get wireless internet service at his house. Two service providers A and B offer different rates as shown in the table below.
If Ramu plans on using 25 hours of internet service per month, which of the following statements is true?
A jet is flying at a speed of 900 km/hr. If the ambient pressure is 0.75 bar and temperature is —30°C. TakeStagnation y = 1.4 and R= 287 kJ/kgK, then
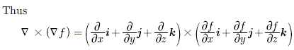
The Expression curl (grad f), where f is a scalar function, is
A vapour compression refrigerator cycle works between temperature limits of 25°C and —10°C. The vapour at the end of isentropic compression is dry. Assuming there is no sub cooling.
If mass flow rate of refrigerant is 5 kg/min, then the capacity of refrigerator (in kW) is —---------------------.
A rod of circular cross section is subjected to an alternating tensile force, varying from 20 kN to 70 kN S„ = 1000 MPa; Sy = 550 MPa; FOS = 2.0 Neglect stress concentration effect and other correction factors The diameter of the rod according to Gerber's theory (in mm) is
The state of plane stress in a plate of 100 mm thickness is given as
= 100 N/mm2,
= 200 N/mm2
Young's modulus = 300 N/mm2
Poisson's ratio = 0.3
The stress developed in the direction of thickness is(Answer up to the nearest integer)
Choose the correct meaning of NC program block `N10 GO1 X 100 M03 S500 F50' can be expressed by
The amplitude versus time curve of a damped-free vibration is shown in the below figure. Curve labelled 'A' is
In a hole and shaft combination of 25 mm nominal size H7 hole limits are +0.021 mm and —0.000 mm E8 shaft limits are —0.040 mm and —0.073 mm The allowance (in microns) during the assembly is
A rotating shaft carries a flywheel which overhangs on the bearing as a cantilever. If this flywheel weight is reduced to half of its original weight, the whirling speed will
In electro chemical machining of pure iron a material removal rate of 600 mm3/min is required. If atomic weight of the work material is 56, valency of the work material is 2, Faraday's constant is 96500 coulombs and density of work material is 7.89 gm/cc, then the current required (in A) is
Kinematic similarly between the model and prototype is the similarity of:
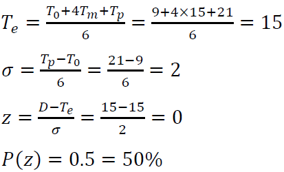
Time estimates of an activity in a PERT network are to = 9 days; tp = 21 days; t,„ = 15 days. The approximate probability of completion of this activity in 14 days is
The value of friction factor is misjudged by +25% in using Darcy - Weisbach equation. The resulting error in the discharge will be
A ball is thrown vertically upwards with a velocity of 10 m/s from a height of 40 m from the ground. If the air resistance is neglected and g = 9.8 m/s2, then the time taken by the ball to reach the ground (in s) is
Match List I (Ingredients) with List II (Welding functions) and select the correct answer using the codes given below the lists:
If A = , B =
, C =
, where i= √1, then which one of the following is correct?
A filled welded joint is subjected to transverse loading F as shown in the figure. Both legs of the fillets are of 10 mm size and the weld length is 30 mm. If the allowance shear stress of the weld is 94 MPa, considering the minimum throat area of the weld, the maximum allowable transverse load (in kN) is (Answer up to two decimal places)
Three group of children respectively 3 girls and 1 boy, 2 girls and 2 boys, 1 girl and 3 boys. One child is selected at random from each group. The probability of selecting 1 girl and 2 boys is —--------.
Number of components (C), phases (P) and degree of freedom (F) are related by Gibbs phase rule as