Bank Exams Exam  >  Bank Exams Tests  >  IBPS RRB Clerk Mains Mock Test - 1 - Bank Exams MCQ

IBPS RRB Clerk Mains Mock Test - 1 - Bank Exams MCQ


Test Description

30 Questions MCQ Test - IBPS RRB Clerk Mains Mock Test - 1

IBPS RRB Clerk Mains Mock Test - 1 for Bank Exams 2025 is part of Bank Exams preparation. The IBPS RRB Clerk Mains Mock Test - 1 questions and answers have been prepared according to the Bank Exams exam syllabus.The IBPS RRB Clerk Mains Mock Test - 1 MCQs are made for Bank Exams 2025 Exam. Find important definitions, questions, notes, meanings, examples, exercises, MCQs and online tests for IBPS RRB Clerk Mains Mock Test - 1 below.
Solutions of IBPS RRB Clerk Mains Mock Test - 1 questions in English are available as part of our course for Bank Exams & IBPS RRB Clerk Mains Mock Test - 1 solutions in Hindi for Bank Exams course. Download more important topics, notes, lectures and mock test series for Bank Exams Exam by signing up for free. Attempt IBPS RRB Clerk Mains Mock Test - 1 | 200 questions in 120 minutes | Mock test for Bank Exams preparation | Free important questions MCQ to study for Bank Exams Exam | Download free PDF with solutions
IBPS RRB Clerk Mains Mock Test - 1 - Question 1

If all the letters of the following words are changed to the second successive letter and arrange the letters in alphabetical order within the word, then how many words have more than one vowel that is immediately followed by consonants?

I. NOSTALGIC

II. EMPOWER

III. REMAND

Detailed Solution for IBPS RRB Clerk Mains Mock Test - 1 - Question 1
I. NOSTALGIC → PQUVCNIKE → CEIKNPQUV

II. EMPOWER → GORQYGT → GGOQRTY

III. REMAND → TGOCPF → CFGOPT

Hence, option a is correct

IBPS RRB Clerk Mains Mock Test - 1 - Question 2

If all the digits are arranged in the descending order from left to right within each number given below, after changing all the odd digits to the previous digit as per the number series, then what will be the sum of the squares of the first digit of the first number and the third digit of the second number from the left end?

I. 23556789876

II. 987654325678

Detailed Solution for IBPS RRB Clerk Mains Mock Test - 1 - Question 2
I. 23556789876 = 22446688866 = 88866664422

II. 987654325678 = 886644224668 = 888666644422

82 + 82 = 128

IBPS RRB Clerk Mains Mock Test - 1 - Question 3

Study the following information carefully and answer the questions given below.

Person X starts walking from point B towards east and walks for 10m to reach point F then he turns to the right and walks for 15m to reach point K where he turns to the left and walks for 7m to reach point Y where he turns to the left and walks for 8m to reach point S.

Person Y starts walking from point G towards north and walks for 4m to reach point Z then he turns to the left and walks for 5m to reach point J where he turns to the left and walks for 11m to reach point R then he turns to the left and walks for 10m to reach point S.

Q. If point U is 8m south of point R, then what is the direction and distance of point Y with respect to point U?

Detailed Solution for IBPS RRB Clerk Mains Mock Test - 1 - Question 3

IBPS RRB Clerk Mains Mock Test - 1 - Question 4

Study the following information carefully and answer the questions given below.

Person X starts walking from point B towards east and walks for 10m to reach point F then he turns to the right and walks for 15m to reach point K where he turns to the left and walks for 7m to reach point Y where he turns to the left and walks for 8m to reach point S.

Person Y starts walking from point G towards north and walks for 4m to reach point Z then he turns to the left and walks for 5m to reach point J where he turns to the left and walks for 11m to reach point R then he turns to the left and walks for 10m to reach point S.

Q. What is the shortest distance between point J and point F?

Detailed Solution for IBPS RRB Clerk Mains Mock Test - 1 - Question 4

IBPS RRB Clerk Mains Mock Test - 1 - Question 5

Study the following information carefully and answer the questions given below.

Person X starts walking from point B towards east and walks for 10m to reach point F then he turns to the right and walks for 15m to reach point K where he turns to the left and walks for 7m to reach point Y where he turns to the left and walks for 8m to reach point S.

Person Y starts walking from point G towards north and walks for 4m to reach point Z then he turns to the left and walks for 5m to reach point J where he turns to the left and walks for 11m to reach point R then he turns to the left and walks for 10m to reach point S.

Q. If point N is north of point B and west of point J, then what is the distance between point Z and point N?

Detailed Solution for IBPS RRB Clerk Mains Mock Test - 1 - Question 5

IBPS RRB Clerk Mains Mock Test - 1 - Question 6

Direction: Study the information given below carefully and answer the questions that follow.

Eighteen persons A-R live in a building with five floors. Each floor has 4 flats – flat-1, flat-2, flat-3, and flat-4 from left to right such that flat-1 is the leftmost flat and flat -4 is the rightmost flat. The ground floor is numbered as 1 and the topmost floor is numbered as 5. Each flat is built in such a way that flat-1 of floor 2 is just above the flat 1 of floor 1 and so on. Flat-1, 3 are odd-numbered while Flat-2, 4 are even-numbered.

Note:

1. Each flat is of the same dimensions. The two flats in which no one lives are on an even-numbered floor and an even-numbered flat.

2. If a person lives in the flat, which is just above the flat of another person, then, both live in the same numbered flat.

B’s floor and the flat are immediately above the D’s floor and flat. C’s flat and K's flat numbers are not the same. N and O do not live in flat 4. G does not live on an even-numbered floor and even-numbered flat. E and C do not live on the third floor. M lives on a floor and flat just above on the floor and flat of H. The flat between K and O is vacant and K lives in one of the flats above O. Flat 4 of every floor is occupied. Q lives on one of the floors above P but does not live on the topmost floor. L lives in an odd-numbered flat which is on the left of O. R and N live on the same floor and only one more person lives with them on that floor. G lives on the floor and flat just above the M’s floor and flat. I live on one of the floors on which one flat is vacant. R and I both live in flat 1. F lives on a floor and flat just above N’s floor and flat. K and G do not live on the fifth floor. Two persons live between Q and P in the same numbered flat. A live on the fifth floor but does not live above the vacant flat and immediately above R.

Q. Who lives just above R in the same flat number?

Detailed Solution for IBPS RRB Clerk Mains Mock Test - 1 - Question 6
Eighteen persons: A-R

Floors: 1 to 5

Flats: Flat-1, Flat-2, Flat-3, and Flat-4

1. The flat between K and O is vacant and K lives in one of the flats above O.

2. Flat 4 of every floor is occupied.

So, it is clear that vacant flats are Flat 2 of 2nd and 4th floor.

3. K and G do not live on the fifth floor. G does not live on an even-numbered floor and even-numbered flat.

So, K must be living in flat 2 on the 3rd floor.

4. M lives on a floor and flat just above on the floor and flat of H. G lives on the floor and flat just above the M’s floor and flat.

So, G should live on Flat 3 on the 3rd floor.

5. L lives in an odd-numbered flat which is on the left of O.

So, L must be living in flat 1 on the 1st floor.

6. R and N live on the same floor and only one more person lives with them on that floor.

7. R and I both live in flat 1. N and O do not live in flat 4.

So, R and N live on the 4th floor.

8. I live on one of the floors on which one flat is vacant.

8. F lives on a floor and flat just above N’s floor and flat. Two persons live between Q and P in the same flat.

9. Q lives on one of the floors above P but does not live on the topmost floor.

So, Q lives on the 4th floor and P lives on the 1st floor.

10. A lives on the fifth floor but does not live above the vacant flat and immediately above R.

So, A lives in Flat 4 on the 5th floor.

11. B’s floor and the flat are immediately above the D’s floor and flat. C’s flat and K's flat numbers are not the same.

12. E and C do not live on the third floor.

So, the final arrangement is as follows:

So, C lives just above R in the same flat.

Hence, the correct option is (B).

IBPS RRB Clerk Mains Mock Test - 1 - Question 7

Direction: Study the information given below carefully and answer the questions that follow.

Eighteen persons A-R live in a building with five floors. Each floor has 4 flats – flat-1, flat-2, flat-3, and flat-4 from left to right such that flat-1 is the leftmost flat and flat -4 is the rightmost flat. The ground floor is numbered as 1 and the topmost floor is numbered as 5. Each flat is built in such a way that flat-1 of floor 2 is just above the flat 1 of floor 1 and so on. Flat-1, 3 are odd-numbered while Flat-2, 4 are even-numbered.

Note:

1. Each flat is of the same dimensions. The two flats in which no one lives are on an even-numbered floor and an even-numbered flat.

2. If a person lives in the flat, which is just above the flat of another person, then, both live in the same numbered flat.

B’s floor and the flat are immediately above the D’s floor and flat. C’s flat and K's flat numbers are not the same. N and O do not live in flat 4. G does not live on an even-numbered floor and even-numbered flat. E and C do not live on the third floor. M lives on a floor and flat just above on the floor and flat of H. The flat between K and O is vacant and K lives in one of the flats above O. Flat 4 of every floor is occupied. Q lives on one of the floors above P but does not live on the topmost floor. L lives in an odd-numbered flat which is on the left of O. R and N live on the same floor and only one more person lives with them on that floor. G lives on the floor and flat just above the M’s floor and flat. I live on one of the floors on which one flat is vacant. R and I both live in flat 1. F lives on a floor and flat just above N’s floor and flat. K and G do not live on the fifth floor. Two persons live between Q and P in the same numbered flat. A live on the fifth floor but does not live above the vacant flat and immediately above R.

Q. Who lives two places above P in the same flat number?

Detailed Solution for IBPS RRB Clerk Mains Mock Test - 1 - Question 7
Eighteen persons: A-R

Floors: 1 to 5

Flats: Flat-1, Flat-2, Flat-3, and Flat-4

1. The flat between K and O is vacant and K lives in one of the flats above O.

2. Flat 4 of every floor is occupied.

So, it is clear that vacant flats are Flat 2 of 2nd and 4th floor.

3. K and G do not live on the fifth floor. G does not live on an even-numbered floor and even-numbered flat.

So, K must be living in flat 2 on the 3rd floor.

4. M lives on a floor and flat just above on the floor and flat of H. G lives on the floor and flat just above the M’s floor and flat.

So, G should live on Flat 3 on the 3rd floor.

5. L lives in an odd-numbered flat which is on the left of O.

So, L must be living in flat 1 on the 1st floor.

6. R and N live on the same floor and only one more person lives with them on that floor.

7. R and I both live in flat 1. N and O do not live in flat 4.

So, R and N live on the 4th floor.

8. I live on one of the floors on which one flat is vacant.

8. F lives on a floor and flat just above N’s floor and flat. Two persons live between Q and P in the same flat.

9. Q lives on one of the floors above P but does not live on the topmost floor.

So, Q lives on the 4th floor and P lives on the 1st floor.

10. A lives on the fifth floor but does not live above the vacant flat and immediately above R.

So, A lives in Flat 4 on the 5th floor.

11. B’s floor and the flat are immediately above the D’s floor and flat. C’s flat and K's flat numbers are not the same.

12. E and C do not live on the third floor.

So, the final arrangement is as follows:

So, B lives two places above P in the same flat.

Hence, the correct option is (A).

IBPS RRB Clerk Mains Mock Test - 1 - Question 8

Direction: Study the information given below carefully and answer the questions that follow.

Eighteen persons A-R live in a building with five floors. Each floor has 4 flats – flat-1, flat-2, flat-3, and flat-4 from left to right such that flat-1 is the leftmost flat and flat -4 is the rightmost flat. The ground floor is numbered as 1 and the topmost floor is numbered as 5. Each flat is built in such a way that flat-1 of floor 2 is just above the flat 1 of floor 1 and so on. Flat-1, 3 are odd-numbered while Flat-2, 4 are even-numbered.

Note:

1. Each flat is of the same dimensions. The two flats in which no one lives are on an even-numbered floor and an even-numbered flat.

2. If a person lives in the flat, which is just above the flat of another person, then, both live in the same numbered flat.

B’s floor and the flat are immediately above the D’s floor and flat. C’s flat and K's flat numbers are not the same. N and O do not live in flat 4. G does not live on an even-numbered floor and even-numbered flat. E and C do not live on the third floor. M lives on a floor and flat just above on the floor and flat of H. The flat between K and O is vacant and K lives in one of the flats above O. Flat 4 of every floor is occupied. Q lives on one of the floors above P but does not live on the topmost floor. L lives in an odd-numbered flat which is on the left of O. R and N live on the same floor and only one more person lives with them on that floor. G lives on the floor and flat just above the M’s floor and flat. I live on one of the floors on which one flat is vacant. R and I both live in flat 1. F lives on a floor and flat just above N’s floor and flat. K and G do not live on the fifth floor. Two persons live between Q and P in the same numbered flat. A live on the fifth floor but does not live above the vacant flat and immediately above R.

Q. How many persons live between the flats of H and F (in the same flat number)?

Detailed Solution for IBPS RRB Clerk Mains Mock Test - 1 - Question 8
Eighteen persons: A-R

Floors: 1 to 5

Flats: Flat-1, Flat-2, Flat-3, and Flat-4

1. The flat between K and O is vacant and K lives in one of the flats above O.

2. Flat 4 of every floor is occupied.

So, it is clear that vacant flats are Flat 2 of 2nd and 4th floor.

3. K and G do not live on the fifth floor. G does not live on an even-numbered floor and even-numbered flat.

So, K must be living in flat 2 on the 3rd floor.

4. M lives on a floor and flat just above on the floor and flat of H. G lives on the floor and flat just above the M’s floor and flat.

So, G should live on Flat 3 on the 3rd floor.

5. L lives in an odd-numbered flat which is on the left of O.

So, L must be living in flat 1 on the 1st floor.

6. R and N live on the same floor and only one more person lives with them on that floor.

7. R and I both live in flat 1. N and O do not live in flat 4.

So, R and N live on the 4th floor.

8. I live on one of the floors on which one flat is vacant.

8. F lives on a floor and flat just above N’s floor and flat. Two persons live between Q and P in the same flat.

9. Q lives on one of the floors above P but does not live on the topmost floor.

So, Q lives on the 4th floor and P lives on the 1st floor.

10. A lives on the fifth floor but does not live above the vacant flat and immediately above R.

So, A lives in Flat 4 on the 5th floor.

11. B’s floor and the flat are immediately above the D’s floor and flat. C’s flat and K's flat numbers are not the same.

12. E and C do not live on the third floor.

So, the final arrangement is as follows:

So, three persons live between the flats of H and F.

Hence, the correct option is (D).

IBPS RRB Clerk Mains Mock Test - 1 - Question 9

Direction: Study the information given below carefully and answer the questions that follow.

Eighteen persons A-R live in a building with five floors. Each floor has 4 flats – flat-1, flat-2, flat-3, and flat-4 from left to right such that flat-1 is the leftmost flat and flat -4 is the rightmost flat. The ground floor is numbered as 1 and the topmost floor is numbered as 5. Each flat is built in such a way that flat-1 of floor 2 is just above the flat 1 of floor 1 and so on. Flat-1, 3 are odd-numbered while Flat-2, 4 are even-numbered.

Note:

1. Each flat is of the same dimensions. The two flats in which no one lives are on an even-numbered floor and an even-numbered flat.

2. If a person lives in the flat, which is just above the flat of another person, then, both live in the same numbered flat.

B’s floor and the flat are immediately above the D’s floor and flat. C’s flat and K's flat numbers are not the same. N and O do not live in flat 4. G does not live on an even-numbered floor and even-numbered flat. E and C do not live on the third floor. M lives on a floor and flat just above on the floor and flat of H. The flat between K and O is vacant and K lives in one of the flats above O. Flat 4 of every floor is occupied. Q lives on one of the floors above P but does not live on the topmost floor. L lives in an odd-numbered flat which is on the left of O. R and N live on the same floor and only one more person lives with them on that floor. G lives on the floor and flat just above the M’s floor and flat. I live on one of the floors on which one flat is vacant. R and I both live in flat 1. F lives on a floor and flat just above N’s floor and flat. K and G do not live on the fifth floor. Two persons live between Q and P in the same numbered flat. A live on the fifth floor but does not live above the vacant flat and immediately above R.

Q. Who among the following lives with I on the same floor?

Detailed Solution for IBPS RRB Clerk Mains Mock Test - 1 - Question 9
Eighteen persons: A-R

Floors: 1 to 5

Flats: Flat-1, Flat-2, Flat-3, and Flat-4

1. The flat between K and O is vacant and K lives in one of the flats above O.

2. Flat 4 of every floor is occupied.

So, it is clear that vacant flats are Flat 2 of 2nd and 4th floor.

3. K and G do not live on the fifth floor. G does not live on an even-numbered floor and even-numbered flat.

So, K must be living in flat 2 on the 3rd floor.

4. M lives on a floor and flat just above on the floor and flat of H. G lives on the floor and flat just above the M’s floor and flat.

So, G should live on Flat 3 on the 3rd floor.

5. L lives in an odd-numbered flat which is on the left of O.

So, L must be living in flat 1 on the 1st floor.

6. R and N live on the same floor and only one more person lives with them on that floor.

7. R and I both live in flat 1. N and O do not live in flat 4.

So, R and N live on the 4th floor.

8. I live on one of the floors on which one flat is vacant.

8. F lives on a floor and flat just above N’s floor and flat. Two persons live between Q and P in the same flat.

9. Q lives on one of the floors above P but does not live on the topmost floor.

So, Q lives on the 4th floor and P lives on the 1st floor.

10. A lives on the fifth floor but does not live above the vacant flat and immediately above R.

So, A lives in Flat 4 on the 5th floor.

11. B’s floor and the flat are immediately above the D’s floor and flat. C’s flat and K's flat numbers are not the same.

12. E and C do not live on the third floor.

So, the final arrangement is as follows:

So, M and D live with I on the same floor.

Hence, the correct option is (B).

IBPS RRB Clerk Mains Mock Test - 1 - Question 10

Direction: Study the information given below carefully and answer the questions that follow.

Eighteen persons A-R live in a building with five floors. Each floor has 4 flats – flat-1, flat-2, flat-3, and flat-4 from left to right such that flat-1 is the leftmost flat and flat -4 is the rightmost flat. The ground floor is numbered as 1 and the topmost floor is numbered as 5. Each flat is built in such a way that flat-1 of floor 2 is just above the flat 1 of floor 1 and so on. Flat-1, 3 are odd-numbered while Flat-2, 4 are even-numbered.

Note:

1. Each flat is of the same dimensions. The two flats in which no one lives are on an even-numbered floor and an even-numbered flat.

2. If a person lives in the flat, which is just above the flat of another person, then, both live in the same numbered flat.

B’s floor and the flat are immediately above the D’s floor and flat. C’s flat and K's flat numbers are not the same. N and O do not live in flat 4. G does not live on an even-numbered floor and even-numbered flat. E and C do not live on the third floor. M lives on a floor and flat just above on the floor and flat of H. The flat between K and O is vacant and K lives in one of the flats above O. Flat 4 of every floor is occupied. Q lives on one of the floors above P but does not live on the topmost floor. L lives in an odd-numbered flat which is on the left of O. R and N live on the same floor and only one more person lives with them on that floor. G lives on the floor and flat just above the M’s floor and flat. I live on one of the floors on which one flat is vacant. R and I both live in flat 1. F lives on a floor and flat just above N’s floor and flat. K and G do not live on the fifth floor. Two persons live between Q and P in the same numbered flat. A live on the fifth floor but does not live above the vacant flat and immediately above R.

Q. Which of the following is true?

Detailed Solution for IBPS RRB Clerk Mains Mock Test - 1 - Question 10
Eighteen persons: A-R

Floors: 1 to 5

Flats: Flat-1, Flat-2, Flat-3, and Flat-4

1. The flat between K and O is vacant and K lives in one of the flats above O.

2. Flat 4 of every floor is occupied.

So, it is clear that vacant flats are Flat 2 of 2nd and 4th floor.

3. K and G do not live on the fifth floor. G does not live on an even-numbered floor and even-numbered flat.

So, K must be living in flat 2 on the 3rd floor.

4. M lives on a floor and flat just above on the floor and flat of H. G lives on the floor and flat just above the M’s floor and flat.

So, G should live on Flat 3 on the 3rd floor.

5. L lives in an odd-numbered flat which is on the left of O.

So, L must be living in flat 1 on the 1st floor.

6. R and N live on the same floor and only one more person lives with them on that floor.

7. R and I both live in flat 1. N and O do not live in flat 4.

So, R and N live on the 4th floor.

8. I live on one of the floors on which one flat is vacant.

8. F lives on a floor and flat just above N’s floor and flat. Two persons live between Q and P in the same flat.

9. Q lives on one of the floors above P but does not live on the topmost floor.

So, Q lives on the 4th floor and P lives on the 1st floor.

10. A lives on the fifth floor but does not live above the vacant flat and immediately above R.

So, A lives in Flat 4 on the 5th floor.

11. B’s floor and the flat are immediately above the D’s floor and flat. C’s flat and K's flat numbers are not the same.

12. E and C do not live on the third floor.

So, the final arrangement is as follows:

So, C lives on the 5th floor in flat 1.

Hence, the correct option is (C).

IBPS RRB Clerk Mains Mock Test - 1 - Question 11

Study the following information carefully and answer the questions given below.

A family consists of nine members with three generations and three married couples. E is the sister-in-law of Z, who does not have any siblings. D is the father-in-law of Z. K is the grandson of Z’s mother-in-law. Only one child of D is married. M is the father-in-law of A, who is the father of K. I is the mother-in-law of T’s mother. O is the grandmother of T.

Q. How T is related to M?

Detailed Solution for IBPS RRB Clerk Mains Mock Test - 1 - Question 11

IBPS RRB Clerk Mains Mock Test - 1 - Question 12

Study the following information carefully and answer the questions given below.

A family consists of nine members with three generations and three married couples. E is the sister-in-law of Z, who does not have any siblings. D is the father-in-law of Z. K is the grandson of Z’s mother-in-law. Only one child of D is married. M is the father-in-law of A, who is the father of K. I is the mother-in-law of T’s mother. O is the grandmother of T.

Q. If U is the Spouse of K, then how U is related to Z?

Detailed Solution for IBPS RRB Clerk Mains Mock Test - 1 - Question 12

IBPS RRB Clerk Mains Mock Test - 1 - Question 13

Study the following information carefully and answer the questions given below.

A family consists of nine members with three generations and three married couples. E is the sister-in-law of Z, who does not have any siblings. D is the father-in-law of Z. K is the grandson of Z’s mother-in-law. Only one child of D is married. M is the father-in-law of A, who is the father of K. I is the mother-in-law of T’s mother. O is the grandmother of T.

Q. How E is related to I?

Detailed Solution for IBPS RRB Clerk Mains Mock Test - 1 - Question 13

IBPS RRB Clerk Mains Mock Test - 1 - Question 14

Direction: In the question below are given four statements followed by four conclusions numbered I, II, III and IV. You have to take the given statements to be true even if they seem to be at variance with commonly known facts. Read all the conclusions and then decide which of the given conclusions logically follows from the given statements disregarding commonly known facts.

Statements:

No Pastry is Cake

All Cake is Party

Some Party are Biscuit

All Biscuit are Cold drink

Conclusions:

I. Some Pastry are Cold drink

II. Some Party is Cold drink

III. Some Cake is Cold drink

IV. Some Biscuit is Cake

Detailed Solution for IBPS RRB Clerk Mains Mock Test - 1 - Question 14
The least possible Venn diagram for the given statements is as follows;

Conclusions:

I. Some Pastry are Cold-drink → (It is possible but not definite)

II. Some Party is Cold-drink → (It is possible and definite)

III. Some Cake is Cold-drink → (It is possible but not definite)

IV. Some Biscuit is Cake → (It is possible but not definite)

Clearly some Party will always be Cold-drink.

So, II follows.

Hence, the correct option is (C).

IBPS RRB Clerk Mains Mock Test - 1 - Question 15

Direction: In the question below are given four statements followed by four conclusions numbered I, II, III and IV. You have to take the given statements to be true even if they seem to be at variance with commonly known facts. Read all the conclusions and then decide which of the given conclusions logically follows from the given statements disregarding commonly known facts.

Statements:

Only few cup are Brown

Only a few brown are tea

100% of tea is milk

No cup is beans

Conclusions:

I. Some milk are brown

II. No cup is tea

III. Some cup are tea

IV. No milk are beans

Detailed Solution for IBPS RRB Clerk Mains Mock Test - 1 - Question 15
The least possible Venn diagram is shown below

I. Some milk are brown → true

II. No cup is tea → false (The possibility is true hence definite is false).

III. Some cup are tea → false (The possibility is true hence definite is false).

IV. No milk are beans → false (It is possible but not definite)

Conclusion II and III make a complementary pair.

So, the answer is only I and either II or III follows

Hence, the correct option is (C).

IBPS RRB Clerk Mains Mock Test - 1 - Question 16

Direction: In the question below are given four statements followed by four conclusions numbered I, II, III and IV. You have to take the given statements to be true even if they seem to be at variance with commonly known facts. Read all the conclusions and then decide which of the given conclusions logically follows from the given statements disregarding commonly known facts.

Statements:

No rats are Cockroaches

No flies are Rats

All Cockroaches are Bats

All Rats are Cats

Conclusions:

I. All Bats are Flies

II. No Cats are Flies

III. Some Flies are Cats

IV. Some Cats are Bats

Detailed Solution for IBPS RRB Clerk Mains Mock Test - 1 - Question 16
The least possible Venn diagram for the given statements is as follows

Conclusions:

I. All Bats are Flies → (It is possible but not definite)

II. No Cats are Flies → (It is possible but not definite)

III. Some Flies are Cats → (It is possible but not definite)

IV. Some Cats are Bats → (It is possible but not definite)

Conclusion II and III form complementary pair.

So, Either II or III follow is the correct answer.

Hence, the correct option is (C).

IBPS RRB Clerk Mains Mock Test - 1 - Question 17

Study the following information carefully and answer the questions given below.

Words arrangement machine when given an input line of numbers rearranges them following a particular rule in each step. The following is an illustration of input and rearrangement.

Input: Entry Occur Relay Idiom Hound Ready Globe

Step I: Relay Entry Occur Idiom Hound Ready Globe

Step II: Relay Globe Entry Occur Idiom Hound Ready

Step III: Relay Globe Ready Entry Occur Idiom Hound

Step IV: Relay Globe Ready Hound Entry Occur Idiom

Step V: Relay Globe Ready Hound Idiom Entry Occur

Step V is the last step

Input: Reign Flame Proxy Leave Fetch Label Pedal

Q. How many words are there in between “Fetch” and “Proxy” in step II?

Detailed Solution for IBPS RRB Clerk Mains Mock Test - 1 - Question 17
For Words Arrangement: Words are arranged in alphabetical order according to the second letter from the right end of each word.

Input: Reign Flame Proxy Leave Fetch Label Pedal

Step I: Pedal Reign Flame Proxy Leave Fetch Label

Step II: Pedal Fetch Reign Flame Proxy Leave Label

Step III: Pedal Fetch Label Reign Flame Proxy Leave

Step IV: Pedal Fetch Label Reign Flame Leave Proxy

IBPS RRB Clerk Mains Mock Test - 1 - Question 18

Study the following information carefully and answer the questions given below.

Words arrangement machine when given an input line of numbers rearranges them following a particular rule in each step. The following is an illustration of input and rearrangement.

Input: Entry Occur Relay Idiom Hound Ready Globe

Step I: Relay Entry Occur Idiom Hound Ready Globe

Step II: Relay Globe Entry Occur Idiom Hound Ready

Step III: Relay Globe Ready Entry Occur Idiom Hound

Step IV: Relay Globe Ready Hound Entry Occur Idiom

Step V: Relay Globe Ready Hound Idiom Entry Occur

Step V is the last step

Input: Reign Flame Proxy Leave Fetch Label Pedal

Q. Which of the following word is third to the left of the fifth word from the left end in Step III?

Detailed Solution for IBPS RRB Clerk Mains Mock Test - 1 - Question 18
For Words Arrangement: Words are arranged in alphabetical order according to the second letter from the right end of each word.

Input: Reign Flame Proxy Leave Fetch Label Pedal

Step I: Pedal Reign Flame Proxy Leave Fetch Label

Step II: Pedal Fetch Reign Flame Proxy Leave Label

Step III: Pedal Fetch Label Reign Flame Proxy Leave

Step IV: Pedal Fetch Label Reign Flame Leave Proxy

IBPS RRB Clerk Mains Mock Test - 1 - Question 19

Study the following information carefully and answer the questions given below.

Words arrangement machine when given an input line of numbers rearranges them following a particular rule in each step. The following is an illustration of input and rearrangement.

Input: Entry Occur Relay Idiom Hound Ready Globe

Step I: Relay Entry Occur Idiom Hound Ready Globe

Step II: Relay Globe Entry Occur Idiom Hound Ready

Step III: Relay Globe Ready Entry Occur Idiom Hound

Step IV: Relay Globe Ready Hound Entry Occur Idiom

Step V: Relay Globe Ready Hound Idiom Entry Occur

Step V is the last step

Input: Reign Flame Proxy Leave Fetch Label Pedal

Q. In which of the following steps “Proxy Leave Label” is obtained in the same sequence for the first time?

Detailed Solution for IBPS RRB Clerk Mains Mock Test - 1 - Question 19
For Words Arrangement: Words are arranged in alphabetical order according to the second letter from the right end of each word.

Input: Reign Flame Proxy Leave Fetch Label Pedal

Step I: Pedal Reign Flame Proxy Leave Fetch Label

Step II: Pedal Fetch Reign Flame Proxy Leave Label

Step III: Pedal Fetch Label Reign Flame Proxy Leave

Step IV: Pedal Fetch Label Reign Flame Leave Proxy

IBPS RRB Clerk Mains Mock Test - 1 - Question 20

Study the following information carefully and answer the questions given below.

Words arrangement machine when given an input line of numbers rearranges them following a particular rule in each step. The following is an illustration of input and rearrangement.

Input: Entry Occur Relay Idiom Hound Ready Globe

Step I: Relay Entry Occur Idiom Hound Ready Globe

Step II: Relay Globe Entry Occur Idiom Hound Ready

Step III: Relay Globe Ready Entry Occur Idiom Hound

Step IV: Relay Globe Ready Hound Entry Occur Idiom

Step V: Relay Globe Ready Hound Idiom Entry Occur

Step V is the last step

Input: Reign Flame Proxy Leave Fetch Label Pedal

Q. Which of the following word is second to the left of “Proxy” in Step IV?

Detailed Solution for IBPS RRB Clerk Mains Mock Test - 1 - Question 20
For Words Arrangement: Words are arranged in alphabetical order according to the second letter from the right end of each word.

Input: Reign Flame Proxy Leave Fetch Label Pedal

Step I: Pedal Reign Flame Proxy Leave Fetch Label

Step II: Pedal Fetch Reign Flame Proxy Leave Label

Step III: Pedal Fetch Label Reign Flame Proxy Leave

Step IV: Pedal Fetch Label Reign Flame Leave Proxy

IBPS RRB Clerk Mains Mock Test - 1 - Question 21

Directions: Study the following information carefully and answer the questions follows:

Seven people – A, C, E, P, R, T and U are sitting in a single row (not necessarily in the same order). Only three people are facing towards north and rest are facing south. Each of them likes different colours – Red, Blue, Green, Violet, Brown, Pink and White. The one who likes red is sitting fifth from the right end of the row. Only one person is sitting between R and the one who likes red. The one who likes green is sitting third to the left of R. The one who likes violet is an immediate neighbour of the one who likes green. A doesn’t like red but is sitting second to the right of the one who likes violet. U is an immediate neighbour of A and both are facing the opposite direction. The one who likes blue is sitting fourth to the left of U.E doesn’t like blue. The one who likes brown is sitting fourth to the left of E. E is sitting third to the right of C. P is sitting fourth to the right of the one who likes white.

Q. Who among the following likes Green?

Detailed Solution for IBPS RRB Clerk Mains Mock Test - 1 - Question 21
7 people: A, C, E, P, R, T and U.

Colours: Red, Blue, Green, Violet, Brown, Pink and White.

Facing directions: North and south.

1) The one who likes red is sitting fifth from the right end of the row.

2) Only one person is sitting between R and the one who likes red.

3) The one who likes green is sitting third to the left of R.

In case 1, R is facing south.

In case 2, R is facing north.

4) The one who likes violet is an immediate neighbour of the one who likes green.

5) A doesn’t like red but is sitting second to the right of the one who likes violet.

Thus, case 2 gets eliminated.

6) U is an immediate neighbour of A and both are facing the opposite direction.

7) The one who likes blue is sitting fourth to the left of U.

U cannot face the south direction so we get that U is facing north and A is facing the south direction.

8) E doesn’t like blue.

9) The one who likes brown is sitting fourth to the left of E.

10) E is sitting third to the right of C.

On taking conditions 8), 9) and 10) together, we have only one possible position for E i.e. immediate left of U.

So, R likes brown and C is sitting immediate left of R.

11) P is sitting fourth to the right of the one who likes white.

This means P likes red and facing the south direction.

So, the final arrangement will be as follows:

So, T likes green.

Hence, the correct option is (B).

IBPS RRB Clerk Mains Mock Test - 1 - Question 22

Directions: Study the following information carefully and answer the questions follows:

Seven people – A, C, E, P, R, T and U are sitting in a single row (not necessarily in the same order). Only three people are facing towards north and rest are facing south. Each of them likes different colours – Red, Blue, Green, Violet, Brown, Pink and White. The one who likes red is sitting fifth from the right end of the row. Only one person is sitting between R and the one who likes red. The one who likes green is sitting third to the left of R. The one who likes violet is an immediate neighbour of the one who likes green. A doesn’t like red but is sitting second to the right of the one who likes violet. U is an immediate neighbour of A and both are facing the opposite direction. The one who likes blue is sitting fourth to the left of U.E doesn’t like blue. The one who likes brown is sitting fourth to the left of E. E is sitting third to the right of C. P is sitting fourth to the right of the one who likes white.

Q. Who among the following is not facing towards south?

Detailed Solution for IBPS RRB Clerk Mains Mock Test - 1 - Question 22
7 people: A, C, E, P, R, T and U.

Colours: Red, Blue, Green, Violet, Brown, Pink and White.

Facing directions: North and south.

1) The one who likes red is sitting fifth from the right end of the row.

2) Only one person is sitting between R and the one who likes red.

3) The one who likes green is sitting third to the left of R.

In case 1, R is facing south.

In case 2, R is facing north.

4) The one who likes violet is an immediate neighbour of the one who likes green.

5) A doesn’t like red but is sitting second to the right of the one who likes violet.

Thus, case 2 gets eliminated.

6) U is an immediate neighbour of A and both are facing the opposite direction.

7) The one who likes blue is sitting fourth to the left of U.

U cannot face the south direction so we get that U is facing north and A is facing the south direction.

8) E doesn’t like blue.

9) The one who likes brown is sitting fourth to the left of E.

10) E is sitting third to the right of C.

On taking conditions 8), 9) and 10) together, we have only one possible position for E i.e. immediate left of U.

So, R likes brown and C is sitting immediate left of R.

11) P is sitting fourth to the right of the one who likes white.

This means P likes red and facing the south direction.

So, the final arrangement will be as follows:

So, the one who likes pink is not facing towards south.

Hence, the correct option is (C).

IBPS RRB Clerk Mains Mock Test - 1 - Question 23

Directions: Study the following information carefully and answer the questions follows:

Seven people – A, C, E, P, R, T and U are sitting in a single row (not necessarily in the same order). Only three people are facing towards north and rest are facing south. Each of them likes different colours – Red, Blue, Green, Violet, Brown, Pink and White. The one who likes red is sitting fifth from the right end of the row. Only one person is sitting between R and the one who likes red. The one who likes green is sitting third to the left of R. The one who likes violet is an immediate neighbour of the one who likes green. A doesn’t like red but is sitting second to the right of the one who likes violet. U is an immediate neighbour of A and both are facing the opposite direction. The one who likes blue is sitting fourth to the left of U.E doesn’t like blue. The one who likes brown is sitting fourth to the left of E. E is sitting third to the right of C. P is sitting fourth to the right of the one who likes white.

Q. Four of the following five options are alike in a certain way, find out the odd pair?

Detailed Solution for IBPS RRB Clerk Mains Mock Test - 1 - Question 23
7 people: A, C, E, P, R, T and U.

Colours: Red, Blue, Green, Violet, Brown, Pink and White.

Facing directions: North and south.

1) The one who likes red is sitting fifth from the right end of the row.

2) Only one person is sitting between R and the one who likes red.

3) The one who likes green is sitting third to the left of R.

In case 1, R is facing south.

In case 2, R is facing north.

4) The one who likes violet is an immediate neighbour of the one who likes green.

5) A doesn’t like red but is sitting second to the right of the one who likes violet.

Thus, case 2 gets eliminated.

6) U is an immediate neighbour of A and both are facing the opposite direction.

7) The one who likes blue is sitting fourth to the left of U.

U cannot face the south direction so we get that U is facing north and A is facing the south direction.

8) E doesn’t like blue.

9) The one who likes brown is sitting fourth to the left of E.

10) E is sitting third to the right of C.

On taking conditions 8), 9) and 10) together, we have only one possible position for E i.e. immediate left of U.

So, R likes brown and C is sitting immediate left of R.

11) P is sitting fourth to the right of the one who likes white.

This means P likes red and facing the south direction.

So, the final arrangement will be as follows:

Since, all the given options are facing the same directions except C and R who are facing the opposite direction.

So, C and R is the odd pair.

Hence, the correct option is (A).

IBPS RRB Clerk Mains Mock Test - 1 - Question 24

Directions: Study the following information carefully and answer the questions follows:

Seven people – A, C, E, P, R, T and U are sitting in a single row (not necessarily in the same order). Only three people are facing towards north and rest are facing south. Each of them likes different colours – Red, Blue, Green, Violet, Brown, Pink and White. The one who likes red is sitting fifth from the right end of the row. Only one person is sitting between R and the one who likes red. The one who likes green is sitting third to the left of R. The one who likes violet is an immediate neighbour of the one who likes green. A doesn’t like red but is sitting second to the right of the one who likes violet. U is an immediate neighbour of A and both are facing the opposite direction. The one who likes blue is sitting fourth to the left of U.E doesn’t like blue. The one who likes brown is sitting fourth to the left of E. E is sitting third to the right of C. P is sitting fourth to the right of the one who likes white.

Q. Who among the following is/are sitting at the extreme ends?

Detailed Solution for IBPS RRB Clerk Mains Mock Test - 1 - Question 24
7 people: A, C, E, P, R, T and U.

Colours: Red, Blue, Green, Violet, Brown, Pink and White.

Facing directions: North and south.

1) The one who likes red is sitting fifth from the right end of the row.

2) Only one person is sitting between R and the one who likes red.

3) The one who likes green is sitting third to the left of R.

In case 1, R is facing south.

In case 2, R is facing north.

4) The one who likes violet is an immediate neighbour of the one who likes green.

5) A doesn’t like red but is sitting second to the right of the one who likes violet.

Thus, case 2 gets eliminated.

6) U is an immediate neighbour of A and both are facing the opposite direction.

7) The one who likes blue is sitting fourth to the left of U.

U cannot face the south direction so we get that U is facing north and A is facing the south direction.

8) E doesn’t like blue.

9) The one who likes brown is sitting fourth to the left of E.

10) E is sitting third to the right of C.

On taking conditions 8), 9) and 10) together, we have only one possible position for E i.e. immediate left of U.

So, R likes brown and C is sitting immediate left of R.

11) P is sitting fourth to the right of the one who likes white.

This means P likes red and facing the south direction.

So, the final arrangement will be as follows:

So, R and the one who likes white are sitting at the extreme ends.

Hence, the correct option is (E).

IBPS RRB Clerk Mains Mock Test - 1 - Question 25

If all the consonants before 'M' (in alphabet series) of the word "CONSIDERATION" are changed to their immediately succeeding letters (as per alphabet series) and all the consonants after 'M' (in alphabet series) of the same word are changed to their immediately preceding letters (as per alphabet series) then what is the exactly middle letter of the meaningful english (singular) word formed from third, fourth, sixth, ninth and tenth letters of the changed word?

Detailed Solution for IBPS RRB Clerk Mains Mock Test - 1 - Question 25
The given word

CONSIDERATION

Changed Word:

DOMRIEEQASIOM

The third, Fourth, Sixth, Ninth and Tenth letters are M, R, E, A and S.

Meaningful english (singular) word formed is SMEAR, which means to put false allegations on someone to damage his/her reputation.

Exactly middle letter is 'E'.

Hence, the correct option is (E).

IBPS RRB Clerk Mains Mock Test - 1 - Question 26

Direction: Study the information given below carefully and answer the question that follow.

A boy starts from a point P and walks 6 km towards south to reach point Q. He takes a left turn and walks 3 km to reach point R. He takes a left turn again and walks 12 km to reach point S. From there he takes left turn and walks 6 km and reaches point T. He takes a left turn again and walks another 6 km to reach point U. He takes a left turn and walks 5 km to reach point V.

Q. Distance between the midpoint of S and R and point U is?

Detailed Solution for IBPS RRB Clerk Mains Mock Test - 1 - Question 26
Given,

A boy starts from a point P and walks 6 km towards south to reach point Q

Then he takes a left turn and walks 3 km to reach point R.

After that, he takes a left turn again and walks 12 km to reach point S.

From there he takes left turn and walks 6 km and reaches point T.

Now he takes a left turn again and walks another 6 km to reach point U.

Finally he takes a left turn and walks 5 km to reach point V.

We have drawn the figure according to the information given in the question,

It is clear from the figure that distance between the midpoint of S and R and point U = UO = TS = 6 km.

Hence, the correct option is (C).

IBPS RRB Clerk Mains Mock Test - 1 - Question 27

Direction: Study the following information carefully to answer the given questions:

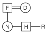
If ‘A ¥ B’ means ‘A is the mother of B’

If ‘A € B’ means ‘A is the sister of B’

If ‘A $ B’ means ‘A is the father of B’

If ‘A # B’ means ‘A is the brother of B’

If ‘A % B’ means ‘A is the daughter of B’

If ‘A © B’ means ‘A is the grandfather of B’

If ‘A & B’ means ‘A is the husband of B’

If ‘A * B’ means ‘A is the wife of B’

If ‘A ^ B’ means ‘A is the son of B’

If ‘A @ B’ means ‘A is the grandmother of B’

Q. How is L related to H in the following expression?

M & N ¥ O # L & K % J & H % G

Detailed Solution for IBPS RRB Clerk Mains Mock Test - 1 - Question 27
Let us first decode the given symbols and then draw a family tree.

‘M & N ¥ O # L & K % J & H % G’ means M is the husband of N, N is the mother of O, O is the brother of L, L is the husband of K, K is the daughter of J, J is the husband of H, H is the daughter of G.

From the family tree, L is the son-in-law of H.

So, Son-in-law is the correct answer.

Hence, the correct option is (B).

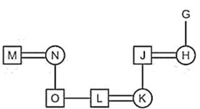
IBPS RRB Clerk Mains Mock Test - 1 - Question 28

Directions: Study the following information carefully and answer the questions given below:

‘A $ B’ means A is the mother of B.

‘A # B’ means A is the brother of B.

‘A @ B’ means A is the husband of B.

‘A % B’ means A is the daughter of B.

Q. If 'G $ M @ K', how is K related to G?

Detailed Solution for IBPS RRB Clerk Mains Mock Test - 1 - Question 28
Let us first decode the given symbols and then draw a family tree

Given expression: 'G $ M @ k' means G is the mother of M and M is the husband of K.

So, K is the daughter-in-law of G.

Hence, the correct option is (B).

IBPS RRB Clerk Mains Mock Test - 1 - Question 29

Directions: Study the following information carefully and answer the questions given below:

‘A $ B’ means A is the mother of B.

‘A # B’ means A is the brother of B.

‘A @ B’ means A is the husband of B.

‘A % B’ means A is the daughter of B.

Q. Which of the following indicates H is the brother of N?

Detailed Solution for IBPS RRB Clerk Mains Mock Test - 1 - Question 29
Let us first decode the given symbols and then draw a family tree

Using statement number 1:

'H # R $ D $ N' means H is the father of R, R is the mother of D and D is the mother of N.

It is clear from the diagram that the required relationship of brother between H and N can't be established.

So, no result found.

Using statement number 2:

'N % F @ D $ H # R' means N is the daughter of F, F is the husband of D, D is the mother of H and H is the brother of R.

Here we can see that H is the brother of N.

So, answer is 'N % F @ D $ H # R'.

Hence, the correct option is (B).

IBPS RRB Clerk Mains Mock Test - 1 - Question 30

Direction: A statement is given followed by two conclusions numbered I and II. You have to assume everything in the statement to be true and then consider the two conclusions together to decide which of them logically follows.

Statement: It is unhealthy to keep plants in bedrooms, especially at nights. Due to the excess carbon dioxide produced during those hours, it can lead to suffocation.

Conclusions:

I: We should not grow plants at home.

II: Plants need to be placed in outer spaces like windows or balconies.

Detailed Solution for IBPS RRB Clerk Mains Mock Test - 1 - Question 30
We first need to read the statement carefully and then see what immediate inferences can be drawn based on our first reading. The next step is to look at the conclusions given in the options, analyze them and see if they seem relevant with respect to the information/data provided to us.

The statement talks about the scientific phenomenon of plants, to give out excess carbon dioxide during night times. Out of the conclusions provided, the second one is the right one as not growing plants wouldn’t definitely make a healthy change but rather changing the location of plants would be an effective change.

Thus, only II follows.

Hence, the correct option is (B).

View more questions
Information about IBPS RRB Clerk Mains Mock Test - 1 Page
In this test you can find the Exam questions for IBPS RRB Clerk Mains Mock Test - 1 solved & explained in the simplest way possible. Besides giving Questions and answers for IBPS RRB Clerk Mains Mock Test - 1, EduRev gives you an ample number of Online tests for practice
Download as PDF