Bank Exams Exam  >  Bank Exams Tests  >  IBPS RRB Clerk Prelims Mock Test - 3 - Bank Exams MCQ

IBPS RRB Clerk Prelims Mock Test - 3 - Bank Exams MCQ


Test Description

30 Questions MCQ Test - IBPS RRB Clerk Prelims Mock Test - 3

IBPS RRB Clerk Prelims Mock Test - 3 for Bank Exams 2025 is part of Bank Exams preparation. The IBPS RRB Clerk Prelims Mock Test - 3 questions and answers have been prepared according to the Bank Exams exam syllabus.The IBPS RRB Clerk Prelims Mock Test - 3 MCQs are made for Bank Exams 2025 Exam. Find important definitions, questions, notes, meanings, examples, exercises, MCQs and online tests for IBPS RRB Clerk Prelims Mock Test - 3 below.
Solutions of IBPS RRB Clerk Prelims Mock Test - 3 questions in English are available as part of our course for Bank Exams & IBPS RRB Clerk Prelims Mock Test - 3 solutions in Hindi for Bank Exams course. Download more important topics, notes, lectures and mock test series for Bank Exams Exam by signing up for free. Attempt IBPS RRB Clerk Prelims Mock Test - 3 | 80 questions in 45 minutes | Mock test for Bank Exams preparation | Free important questions MCQ to study for Bank Exams Exam | Download free PDF with solutions
IBPS RRB Clerk Prelims Mock Test - 3 - Question 1

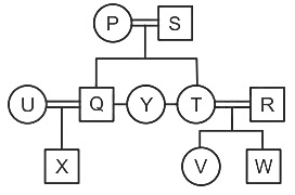
Directions: These questions are based on the following information.

In a family, there are 10 members P, Q, R, S, T, U, V, W, X and Y. There are 5 females in the family. P has only one son. T is sister-in-law of U and R is husband of T. Q is brother of Y. X is grandson of S and son of Q. U is daughter-in-law of P. V is sister of W and cousin of X. S is wife of P and Y is unmarried.T is sister of Y.

Q. How T is related to Y?

Detailed Solution for IBPS RRB Clerk Prelims Mock Test - 3 - Question 1
From the given information

1. S is wife of P.

2. P has only one son.

3. X is grandson of S and son of Q.

4. Q is brother of Y.

5. Y is unmarried.

6. U is daughter-in-law of P.

7. T is sister-in-law of U.

8. R is husband of T.

9. T is sister of Y.

10. V is sister of W and cousin of X.

So, T is sister of Y.

Hence, the correct option is (B).

IBPS RRB Clerk Prelims Mock Test - 3 - Question 2

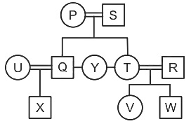
Directions: These questions are based on the following information.

In a family, there are 10 members P, Q, R, S, T, U, V, W, X and Y. There are 5 females in the family. P has only one son. T is sister-in-law of U and R is husband of T. Q is brother of Y. X is grandson of S and son of Q. U is daughter-in-law of P. V is sister of W and cousin of X. S is wife of P and Y is unmarried.T is sister of Y.

Q. How R is related to S?

Detailed Solution for IBPS RRB Clerk Prelims Mock Test - 3 - Question 2
From the given information

1. S is wife of P.

2. P has only one son.

3. X is grandson of S and son of Q.

4. Q is brother of Y.

5. Y is unmarried.

6. U is daughter-in-law of P.

7. T is sister-in-law of U.

8. R is husband of T.

9. T is sister of Y.

10. V is sister of W and cousin of X.

So, R is son-in-law of S.

Hence, the correct option is (A).

IBPS RRB Clerk Prelims Mock Test - 3 - Question 3

Directions: These questions are based on the following information.

In a family, there are 10 members P, Q, R, S, T, U, V, W, X and Y. There are 5 females in the family. P has only one son. T is sister-in-law of U and R is husband of T. Q is brother of Y. X is grandson of S and son of Q. U is daughter-in-law of P. V is sister of W and cousin of X. S is wife of P and Y is unmarried.T is sister of Y.

Q. How W is related to R?

Detailed Solution for IBPS RRB Clerk Prelims Mock Test - 3 - Question 3
From the given information

1. S is wife of P.

2. P has only one son.

3. X is grandson of S and son of Q.

4. Q is brother of Y.

5. Y is unmarried.

6. U is daughter-in-law of P.

7. T is sister-in-law of U.

8. R is husband of T.

9. T is sister of Y.

10. V is sister of W and cousin of X.

So, W is son of R.

Hence, the correct option is (A).

IBPS RRB Clerk Prelims Mock Test - 3 - Question 4

Study the following information carefully and answer the questions given below.

578 796 429 685 849

Q. If all the digits are arranged in the ascending order from left to right within each number, then which of the following is the second lowest number?

Detailed Solution for IBPS RRB Clerk Prelims Mock Test - 3 - Question 4
Given Series

578 796 429 685 849

After arrangement:

578 679 249 568 489

IBPS RRB Clerk Prelims Mock Test - 3 - Question 5

Study the following information carefully and answer the questions given below.

578 796 429 685 849

Q. If the position of the first and last digits of each number is interchanged, then what is the difference between the second highest number and the lowest number thus formed?

Detailed Solution for IBPS RRB Clerk Prelims Mock Test - 3 - Question 5
Given Series

578 796 429 685 849

After arrangement:

875 697 924586 948

Difference → 924 – 586 → 338

IBPS RRB Clerk Prelims Mock Test - 3 - Question 6

Study the following information carefully and answer the questions given below.

578 796 429 685 849

Q. If 125 is subtracted from each number, then which of the following number thus formed will be divisible by 3?

Detailed Solution for IBPS RRB Clerk Prelims Mock Test - 3 - Question 6
Given Series

578 796 429 685 849

After subtracting 125:

453 671 304 560 724

IBPS RRB Clerk Prelims Mock Test - 3 - Question 7

Study the following information carefully and answer the questions given below.

578 796 429 685 849

Q. If 2 is subtracted from each odd digit of the given numbers, then what is the sum of the lowest and the highest numbers?

Detailed Solution for IBPS RRB Clerk Prelims Mock Test - 3 - Question 7
Given Series

578 796 429 685 849

After subtraction:

358 576 427 683 847

Sum → 847 + 358 → 1205

IBPS RRB Clerk Prelims Mock Test - 3 - Question 8

Direction: In the question below are given three statements followed by three conclusions numbered I, II, and III. You have to take the given statements to be true even if they seem to be at variance with commonly known facts. Read all the conclusions and then decide which of the given conclusions logically follows from the given statements disregarding commonly known facts.

Statements:

I. Only a few apples are good.

II. Some apples are not rotten.

Conclusions:

I. Some rotten being good is a possibility.

II. Some apples are not good.

Detailed Solution for IBPS RRB Clerk Prelims Mock Test - 3 - Question 8
The least possible Venn diagram for the given statements is as follows,

I. Some rotten being good is a possibility → True (It can be possible as it is not definite)

II. Some apples are not good → True (It is definite)

Thus, both the conclusion follows.

Hence, the correct option is (C).

IBPS RRB Clerk Prelims Mock Test - 3 - Question 9

Direction: In the question below are given three statements followed by three conclusions numbered I, II, and III. You have to take the given statements to be true even if they seem to be at variance with commonly known facts. Read all the conclusions and then decide which of the given conclusions logically follows from the given statements disregarding commonly known facts.

Statements:

I. Only a few leaves are holidays.

II. Few trips are funny.

III. No funny is holiday.

Conclusions:

I. Some leaves are not holiday.

II. Some trips are not holiday.

III. Some trips are holiday.

Detailed Solution for IBPS RRB Clerk Prelims Mock Test - 3 - Question 9
The least possible Venn diagram for the given statements is as follows

I. Some leaves are not holiday→ True (It is definite)

II. Some trips are not holiday → True (the part of trips which is funny is not holiday)

III. Some trips are holiday → False (It can be possible, but it is not definite)

So, both conclusions I and II follow.

Hence, the correct option is (B).

IBPS RRB Clerk Prelims Mock Test - 3 - Question 10

Direction: In the question below are given three statements followed by three conclusions numbered I, II, and III. You have to take the given statements to be true even if they seem to be at variance with commonly known facts. Read all the conclusions and then decide which of the given conclusions logically follows from the given statements disregarding commonly known facts.

Statements:

Some men are cow.

All men and cow are genius.

Some men which are not cow are rich.

Conclusion:

I. Some genius are rich.

II. Some rich are cow.

III. Some cow are genius.

Detailed Solution for IBPS RRB Clerk Prelims Mock Test - 3 - Question 10
The least possible Venn diagram for the given statements is as follows,

Conclusion:

I. Some genius are rich → True (All men are genius and some men which are not cow are rich)

II. Some rich are cow → False (It is possible but not definite)

III. Some cow are genius → True (All men and cow are genius)

Thus, only conclusion I and III follows.

Hence, the correct option is (C).

IBPS RRB Clerk Prelims Mock Test - 3 - Question 11

How many such letters are there in the word “WITHDRAWAL” each of which has as many letters between them as there are in the English alphabetical series (Both forward and backward direction)?

Detailed Solution for IBPS RRB Clerk Prelims Mock Test - 3 - Question 11

IBPS RRB Clerk Prelims Mock Test - 3 - Question 12

Which of the following elements should be placed in the blank respectively in order to complete the expression in such a manner that makes ‘D ≤ G’ definitely true?

Statement: __ ≤ __ = __ ≤ __ > __

Detailed Solution for IBPS RRB Clerk Prelims Mock Test - 3 - Question 12
D ≤ F = T ≤ G > L
IBPS RRB Clerk Prelims Mock Test - 3 - Question 13

Which of the following symbol should be placed in the question mark respectively in order to complete the expression in such a manner that makes ‘V > U’ definitely true?

Statement: X > U ? R ≤ S ? V ≥ Z

Detailed Solution for IBPS RRB Clerk Prelims Mock Test - 3 - Question 13
X > U < R ≤ S = V ≥ Z
IBPS RRB Clerk Prelims Mock Test - 3 - Question 14

If the letters of the word ‘RADIOCHEMIST’ are to be arranged in reversed alphabetical order from right to the left end then the position of how many letters will remain unchanged?

Detailed Solution for IBPS RRB Clerk Prelims Mock Test - 3 - Question 14
The given word

RADIOCHEMIST

After arranging the letters in alphabetical order from right to left end, we get:

Here, we have three such letters whose positions are the same in both words.

Hence, the correct option is (E).

IBPS RRB Clerk Prelims Mock Test - 3 - Question 15

Study the following information carefully and answer the questions given below.

There are three married couples in the family. Either both or none of the parents are alive. B is the aunt of H’s brother. C is the daughter-in-law of G. A has no sibling. E is the sister-in-law of F. A is the grandfather of D and father-in-law of E. D is the daughter of C.

Q. Who among the following person is the aunt of D?

Detailed Solution for IBPS RRB Clerk Prelims Mock Test - 3 - Question 15

IBPS RRB Clerk Prelims Mock Test - 3 - Question 16

Study the following information carefully and answer the questions given below.

There are three married couples in the family. Either both or none of the parents are alive. B is the aunt of H’s brother. C is the daughter-in-law of G. A has no sibling. E is the sister-in-law of F. A is the grandfather of D and father-in-law of E. D is the daughter of C.

Q. How is C related to H?

Detailed Solution for IBPS RRB Clerk Prelims Mock Test - 3 - Question 16

IBPS RRB Clerk Prelims Mock Test - 3 - Question 17

Directions: Read the following information carefully and answer the questions that follow:

There are eight employees - P, Q, R, S, T, U, V, and W in a company at different designations - Executive Director, Director, VP, AVP, Senior Manager, Manager, Team Lead, and Associate in descending level of seniority. Q is either the Senior Manager or Manager in the company. P is a senior to V who is senior to U. There are two designations between T and U. R is four posts senior to V. P is junior to at least two members in the company. S is senior to W and an equal number of persons are senior to S and junior to W.

Q. Who is the VP in the company?

Detailed Solution for IBPS RRB Clerk Prelims Mock Test - 3 - Question 17
Eight Employees: P, Q, R, S, T, U, V and W

Designations: Executive Director, Director, VP, AVP, Senior Manager, Manager, Team Lead, and Associate

1) Q is either the Senior Manager or Manager in the company.

2) P is a senior to V who is senior to U.

3) There are two designations between T and U.

4) R is four posts senior to V.

5) P is junior to at least two members in the company.

6) S is senior to W and an equal number of persons are senior to S and junior to W.

As the above conditions are not satisfied in case 2 and case 3, they will get canceled.

So, P is the VP of the company.

Hence, the correct option is (D).

IBPS RRB Clerk Prelims Mock Test - 3 - Question 18

Directions: Read the following information carefully and answer the questions that follow:

There are eight employees - P, Q, R, S, T, U, V, and W in a company at different designations - Executive Director, Director, VP, AVP, Senior Manager, Manager, Team Lead, and Associate in descending level of seniority. Q is either the Senior Manager or Manager in the company. P is a senior to V who is senior to U. There are two designations between T and U. R is four posts senior to V. P is junior to at least two members in the company. S is senior to W and an equal number of persons are senior to S and junior to W.

Q. How any persons are senior to T?

Detailed Solution for IBPS RRB Clerk Prelims Mock Test - 3 - Question 18
Eight Employees: P, Q, R, S, T, U, V and W

Designations: Executive Director, Director, VP, AVP, Senior Manager, Manager, Team Lead, and Associate

1) Q is either the Senior Manager or Manager in the company.

2) P is a senior to V who is senior to U.

3) There are two designations between T and U.

4) R is four posts senior to V.

5) P is junior to at least two members in the company.

6) S is senior to W and an equal number of persons are senior to S and junior to W.

As the above conditions are not satisfied in case 2 and case 3, they will get canceled.

So, three persons are senior to T.

Hence, the correct option is (A).

IBPS RRB Clerk Prelims Mock Test - 3 - Question 19

Directions: Read the following information carefully and answer the questions that follow:

There are eight employees - P, Q, R, S, T, U, V, and W in a company at different designations - Executive Director, Director, VP, AVP, Senior Manager, Manager, Team Lead, and Associate in descending level of seniority. Q is either the Senior Manager or Manager in the company. P is a senior to V who is senior to U. There are two designations between T and U. R is four posts senior to V. P is junior to at least two members in the company. S is senior to W and an equal number of persons are senior to S and junior to W.

Q. What is the designation of V in the company?

Detailed Solution for IBPS RRB Clerk Prelims Mock Test - 3 - Question 19
Eight Employees: P, Q, R, S, T, U, V and W

Designations: Executive Director, Director, VP, AVP, Senior Manager, Manager, Team Lead, and Associate

1) Q is either the Senior Manager or Manager in the company.

2) P is a senior to V who is senior to U.

3) There are two designations between T and U.

4) R is four posts senior to V.

5) P is junior to at least two members in the company.

6) S is senior to W and an equal number of persons are senior to S and junior to W.

As the above conditions are not satisfied in case 2 and case 3, they will get canceled.

So, V is the Manager in the company.

Hence, the correct option is (C).

IBPS RRB Clerk Prelims Mock Test - 3 - Question 20

If, in the number “5874623178”, odd digits are increased by “2” and even digits are decreased by “1”, then which of the following digits are repeated more than twice?

Detailed Solution for IBPS RRB Clerk Prelims Mock Test - 3 - Question 20
Given number: 5874623178

After applying condition: 7793515397

IBPS RRB Clerk Prelims Mock Test - 3 - Question 21

Study the following information carefully and answer the questions given below.

In a certain code language,

“District Demanded Argument Society” is written as “vh tm hn fz”

“Ratify District Policy Shifted” is written as “bs vf np hn”

“Demanded Rupture Tenure Ratify” is written as “dh fz np hm”

“Shifted Managed Rhetoric Rupture” is written as “vf mh gh dh”

Q. Which of the following is the code for the word “Rupture” in the given code language?

Detailed Solution for IBPS RRB Clerk Prelims Mock Test - 3 - Question 21

IBPS RRB Clerk Prelims Mock Test - 3 - Question 22

Study the following information carefully and answer the questions given below.

In a certain code language,

“District Demanded Argument Society” is written as “vh tm hn fz”

“Ratify District Policy Shifted” is written as “bs vf np hn”

“Demanded Rupture Tenure Ratify” is written as “dh fz np hm”

“Shifted Managed Rhetoric Rupture” is written as “vf mh gh dh”

Q. Which of the following may be the code for the phrase “Tenure Society” in the given code language?

Detailed Solution for IBPS RRB Clerk Prelims Mock Test - 3 - Question 22

IBPS RRB Clerk Prelims Mock Test - 3 - Question 23

Study the following information carefully and answer the questions given below.

In a certain code language,

“District Demanded Argument Society” is written as “vh tm hn fz”

“Ratify District Policy Shifted” is written as “bs vf np hn”

“Demanded Rupture Tenure Ratify” is written as “dh fz np hm”

“Shifted Managed Rhetoric Rupture” is written as “vf mh gh dh”

Q. Which of the following may be the code for the phrase “Managed District Policy” in the given code language?

Detailed Solution for IBPS RRB Clerk Prelims Mock Test - 3 - Question 23

IBPS RRB Clerk Prelims Mock Test - 3 - Question 24

Direction: Read the following information carefully and answer the question which follow:

There is a colony in which there is a pool and 9 houses are built around that pool. There are nine people, A, B, C, D, E, F, G, H and I who live in this colony and there are different colours of gates of these nine houses – Red, Blue, Green, Yellow, Orange, White, Black, Pink and Brown.

F whose gate is Pink colour is second to the left of D whose house gate is Blue colour. B’s house is third to the right of I whose house gate’s colour is White. Two houses whose gates’ colours are red and pink are together. G’s house gate’s colour is Brown and is third to the right of B whose house gate is Green colour. C and I are immediate neighbours of E whose house gate is Orange colour. D’s house is immediately right to G’s house. A’s house gate is Yellow colour.

Q. Whose house is immediately right to a person whose gate colour is Yellow?

Detailed Solution for IBPS RRB Clerk Prelims Mock Test - 3 - Question 24
Persons: A, B, C, D, E, F, G, H and I.

House gate’s colours: Red, Blue, Green, Yellow, Orange, White, Black, Pink and Brown.

1) B’s house is third to the right of I whose house gate’s colour is White.

2) G’s house gate’s colour is Brown and is third to the right of B whose house gate is Green colour.

3) C and I are immediate neighbours of E whose house gate is Orange colour.

4) D’s house is immediately right to G’s house.

5) Two houses whose gates’ colours are red and pink are together.

6) A’s house gate is Yellow colour.

7) F whose gate is Pink colour is second to the left of D whose house gate is Blue colour.

Therefore, I’s house is immediately right to a person whose gate colour is Yellow.

Hence, the correct option is (E).

IBPS RRB Clerk Prelims Mock Test - 3 - Question 25

Direction: Read the following information carefully and answer the question which follow:

There is a colony in which there is a pool and 9 houses are built around that pool. There are nine people, A, B, C, D, E, F, G, H and I who live in this colony and there are different colours of gates of these nine houses – Red, Blue, Green, Yellow, Orange, White, Black, Pink and Brown.

F whose gate is Pink colour is second to the left of D whose house gate is Blue colour. B’s house is third to the right of I whose house gate’s colour is White. Two houses whose gates’ colours are red and pink are together. G’s house gate’s colour is Brown and is third to the right of B whose house gate is Green colour. C and I are immediate neighbours of E whose house gate is Orange colour. D’s house is immediately right to G’s house. A’s house gate is Yellow colour.

Q. What is the colour of H’s house gate?

Detailed Solution for IBPS RRB Clerk Prelims Mock Test - 3 - Question 25
Persons: A, B, C, D, E, F, G, H and I.

House gate’s colours: Red, Blue, Green, Yellow, Orange, White, Black, Pink and Brown.

1) B’s house is third to the right of I whose house gate’s colour is White.

2) G’s house gate’s colour is Brown and is third to the right of B whose house gate is Green colour.

3) C and I are immediate neighbours of E whose house gate is Orange colour.

4) D’s house is immediately right to G’s house.

5) Two houses whose gates’ colours are red and pink are together.

6) A’s house gate is Yellow colour.

7) F whose gate is Pink colour is second to the left of D whose house gate is Blue colour.

Therefore, the colour of H’s house gate is Red.

Hence, the correct option is (A).

IBPS RRB Clerk Prelims Mock Test - 3 - Question 26

Direction: Read the following information carefully and answer the question which follow:

There is a colony in which there is a pool and 9 houses are built around that pool. There are nine people, A, B, C, D, E, F, G, H and I who live in this colony and there are different colours of gates of these nine houses – Red, Blue, Green, Yellow, Orange, White, Black, Pink and Brown.

F whose gate is Pink colour is second to the left of D whose house gate is Blue colour. B’s house is third to the right of I whose house gate’s colour is White. Two houses whose gates’ colours are red and pink are together. G’s house gate’s colour is Brown and is third to the right of B whose house gate is Green colour. C and I are immediate neighbours of E whose house gate is Orange colour. D’s house is immediately right to G’s house. A’s house gate is Yellow colour.

Q. How many houses are between the houses of C and H?

Detailed Solution for IBPS RRB Clerk Prelims Mock Test - 3 - Question 26
Persons: A, B, C, D, E, F, G, H and I.

House gate’s colours: Red, Blue, Green, Yellow, Orange, White, Black, Pink and Brown.

1) B’s house is third to the right of I whose house gate’s colour is White.

2) G’s house gate’s colour is Brown and is third to the right of B whose house gate is Green colour.

3) C and I are immediate neighbours of E whose house gate is Orange colour.

4) D’s house is immediately right to G’s house.

5) Two houses whose gates’ colours are red and pink are together.

6) A’s house gate is Yellow colour.

7) F whose gate is Pink colour is second to the left of D whose house gate is Blue colour.

Therefore, there is one house between the houses of C and H.

Hence, the correct option is (D).

IBPS RRB Clerk Prelims Mock Test - 3 - Question 27

Direction: Read the following information carefully and answer the question which follow:

There is a colony in which there is a pool and 9 houses are built around that pool. There are nine people, A, B, C, D, E, F, G, H and I who live in this colony and there are different colours of gates of these nine houses – Red, Blue, Green, Yellow, Orange, White, Black, Pink and Brown.

F whose gate is Pink colour is second to the left of D whose house gate is Blue colour. B’s house is third to the right of I whose house gate’s colour is White. Two houses whose gates’ colours are red and pink are together. G’s house gate’s colour is Brown and is third to the right of B whose house gate is Green colour. C and I are immediate neighbours of E whose house gate is Orange colour. D’s house is immediately right to G’s house. A’s house gate is Yellow colour.

Q. Which among the following is the correct pair?

Detailed Solution for IBPS RRB Clerk Prelims Mock Test - 3 - Question 27
Persons: A, B, C, D, E, F, G, H and I.

House gate’s colours: Red, Blue, Green, Yellow, Orange, White, Black, Pink and Brown.

1) B’s house is third to the right of I whose house gate’s colour is White.

2) G’s house gate’s colour is Brown and is third to the right of B whose house gate is Green colour.

3) C and I are immediate neighbours of E whose house gate is Orange colour.

4) D’s house is immediately right to G’s house.

5) Two houses whose gates’ colours are red and pink are together.

6) A’s house gate is Yellow colour.

7) F whose gate is Pink colour is second to the left of D whose house gate is Blue colour.

Therefore, “E – Orange” is the correct pair.

Hence, the correct option is (D).

IBPS RRB Clerk Prelims Mock Test - 3 - Question 28

Direction: Read the following information carefully and answer the question which follow:

There is a colony in which there is a pool and 9 houses are built around that pool. There are nine people, A, B, C, D, E, F, G, H and I who live in this colony and there are different colours of gates of these nine houses – Red, Blue, Green, Yellow, Orange, White, Black, Pink and Brown.

F whose gate is Pink colour is second to the left of D whose house gate is Blue colour. B’s house is third to the right of I whose house gate’s colour is White. Two houses whose gates’ colours are red and pink are together. G’s house gate’s colour is Brown and is third to the right of B whose house gate is Green colour. C and I are immediate neighbours of E whose house gate is Orange colour. D’s house is immediately right to G’s house. A’s house gate is Yellow colour.

Q. Whose house gate is Black colour?

Detailed Solution for IBPS RRB Clerk Prelims Mock Test - 3 - Question 28
Persons: A, B, C, D, E, F, G, H and I.

House gate’s colours: Red, Blue, Green, Yellow, Orange, White, Black, Pink and Brown.

1) B’s house is third to the right of I whose house gate’s colour is White.

2) G’s house gate’s colour is Brown and is third to the right of B whose house gate is Green colour.

3) C and I are immediate neighbours of E whose house gate is Orange colour.

4) D’s house is immediately right to G’s house.

5) Two houses whose gates’ colours are red and pink are together.

6) A’s house gate is Yellow colour.

7) F whose gate is Pink colour is second to the left of D whose house gate is Blue colour.

Therefore, C’s house gate colour is Black colour.

Hence, the correct option is (B).

IBPS RRB Clerk Prelims Mock Test - 3 - Question 29

Direction: Follow the given series to answer the question.

J U & 5 R 3 I 7 @ & M I 6 R 2 F S @ I M $ 9 L 7 1 6 A # 9 B Z $

How many such symbols are there in the above arrangement, each of which is immediately preceded by a symbol and immediately followed by a letter?

Detailed Solution for IBPS RRB Clerk Prelims Mock Test - 3 - Question 29
Given series is

J U & 5 R 3 I 7 @ & M I 6 R 2 F S @ I M $ 9 L 7 1 6 A # 9 B Z $

After finding such symbols are there in the above arrangement, each of which is immediately preceded by a symbol and immediately followed by a letter, we get

J U & 5 R 3 I 7 @ & M I 6 R 2 F S @ I M $ 9 L 7 1 6 A # 9 B Z $

So, there is only one such symbol.

Hence, the correct option is (B).

IBPS RRB Clerk Prelims Mock Test - 3 - Question 30

Direction: Study the following information carefully to answer the given question:

Z © H M $ 9 H I 2 E & @ S U V 5 ¥ 3 R O © I T 4 3 % 4 $ L 2 N €

Which of the following is the seventh to the left of the tenth element from the left end of the above arrangement?

Detailed Solution for IBPS RRB Clerk Prelims Mock Test - 3 - Question 30
Left Side Z © H M $ 9 H I 2 E & @ S U V 5 ¥ 3 R O © I T 4 3 % 4 $ L 2 N € Right Side

Tips And Tricks: Left - Left = Left

10th from the left - 7th from the left = 3rd from the left

Clearly, 3rd from the left end element is H.

Hence, the correct option is (E).

View more questions
Information about IBPS RRB Clerk Prelims Mock Test - 3 Page
In this test you can find the Exam questions for IBPS RRB Clerk Prelims Mock Test - 3 solved & explained in the simplest way possible. Besides giving Questions and answers for IBPS RRB Clerk Prelims Mock Test - 3, EduRev gives you an ample number of Online tests for practice
Download as PDF