Direction: Read the information carefully and answer the questions given below.
Eight students M, N, O, P, Q, R, S and T are sitting around a circular table such that 3 persons are facing towards the centre and rest are facing away from the centre but not necessarily in the same order. There are two persons gap between O and T and both are facing opposite direction. P sits third to the right of O. Q sits opposite to T and facing the same direction as T. M is neither the neighbour of T nor P. There are three persons gap between M and P and both are facing opposite direction to each other. M is facing opposite direction as Q is facing. There are three persons gap between N and S and both are facing away from the centre. R is sitting second to the right of N and both the neighbours of R facing opposite to the R. R is facing towards the centre.
Q. Who is sitting third to the right of N?
Direction: Read the information carefully and answer the questions given below.
Eight students M, N, O, P, Q, R, S and T are sitting around a circular table such that 3 persons are facing towards the centre and rest are facing away from the centre but not necessarily in the same order.
There are two persons gap between O and T and both are facing opposite direction. P sits third to the right of O. Q sits opposite to T and facing the same direction as T. M is neither the neighbour of T nor P. There are three persons gap between M and P and both are facing opposite direction to each other. M is facing opposite direction as Q is facing. There are three persons gap between N and S and both are facing away from the centre. R is sitting second to the right of N and both the neighbours of R facing opposite to the R. R is facing towards the centre.
Q. Who is sitting opposite to O?
Direction: Read the information carefully and answer the questions given below.
Eight students M, N, O, P, Q, R, S and T are sitting around a circular table such that 3 persons are facing towards the centre and rest are facing away from the centre but not necessarily in the same order.
There are two persons gap between O and T and both are facing opposite direction. P sits third to the right of O. Q sits opposite to T and facing the same direction as T. M is neither the neighbour of T nor P. There are three persons gap between M and P and both are facing opposite direction to each other. M is facing opposite direction as Q is facing. There are three persons gap between N and S and both are facing away from the centre. R is sitting second to the right of N and both the neighbours of R facing opposite to the R. R is facing towards the centre.
Q. If N is related to R in the same way T is related to P then Q is related to which person?
Direction: Read the information carefully and answer the questions given below.
Eight students M, N, O, P, Q, R, S and T are sitting around a circular table such that 3 persons are facing towards the centre and rest are facing away from the centre but not necessarily in the same order.
There are two persons gap between O and T and both are facing opposite direction. P sits third to the right of O. Q sits opposite to T and facing the same direction as T. M is neither the neighbour of T nor P. There are three persons gap between M and P and both are facing opposite direction to each other. M is facing opposite direction as Q is facing. There are three persons gap between N and S and both are facing away from the centre. R is sitting second to the right of N and both the neighbours of R facing opposite to the R. R is facing towards the centre.
Q. Q is sitting in which direction from T?
Direction: Read the information carefully and answer the questions given below.
Eight students M, N, O, P, Q, R, S and T are sitting around a circular table such that 3 persons are facing towards the centre and rest are facing away from the centre but not necessarily in the same order.
There are two persons gap between O and T and both are facing opposite direction. P sits third to the right of O. Q sits opposite to T and facing the same direction as T. M is neither the neighbour of T nor P. There are three persons gap between M and P and both are facing opposite direction to each other. M is facing opposite direction as Q is facing. There are three persons gap between N and S and both are facing away from the centre. R is sitting second to the right of N and both the neighbours of R facing opposite to the R. R is facing towards the centre.
Q. Who is sitting second to the left of M?
Direction: Study the following information carefully and answer the question given below.
A word and number arrangement machine when given an input line of words and number rearranges them following a particular rule in each step. The following is an illustration of input and rearrangement. (All the numbers are two-digit numbers.)
Input: gate 20 86 just not 71 for 67 38 bake sun 55
Step I: bake gate 20 just not 71 for 67 38 sun 55 86
Step II: for bake gate 20 just not 67 38 sun 55 86 71
Step III: gate for bake 20 just not 38 sun 55 86 71 67
Step IV: just gate for bake 20 not 38 sun 86 71 67 55
Step V: not just gate for bake 20 sun 86 71 67 55 38
Step VI: sun not just gate for bake 86 71 67 55 38 20
Step VI is the final steps of the above input.
As per the rules followed in the above steps, find out in each of the following questions the appropriate step for the given input.
Input: 31 rise gem 15 92 47 aim big 25 does 56 not 85 63 with moon.
Q. How many steps will be required to complete the rearrangement?
Direction: Study the following information carefully and answer the question given below.
A word and number arrangement machine when given an input line of words and number rearranges them following a particular rule in each step. The following is an illustration of input and rearrangement. (All the numbers are two-digit numbers.)
Input: gate 20 86 just not 71 for 67 38 bake sun 55
Step I: bake gate 20 just not 71 for 67 38 sun 55 86
Step II: for bake gate 20 just not 67 38 sun 55 86 71
Step III: gate for bake 20 just not 38 sun 55 86 71 67
Step IV: just gate for bake 20 not 38 sun 86 71 67 55
Step V: not just gate for bake 20 sun 86 71 67 55 38
Step VI: sun not just gate for bake 86 71 67 55 38 20
Step VI is the final steps of the above input.
As per the rules followed in the above steps, find out in each of the following questions the appropriate step for the given input.
Input: 31 rise gem 15 92 47 aim big 25 does 56 not 85 63 with moon.
Q. Which word/number would be at seventh position from the left of step IV?
Direction: Study the following information carefully and answer the question given below.
A word and number arrangement machine when given an input line of words and number rearranges them following a particular rule in each step. The following is an illustration of input and rearrangement. (All the numbers are two-digit numbers.)
Input: gate 20 86 just not 71 for 67 38 bake sun 55
Step I: bake gate 20 just not 71 for 67 38 sun 55 86
Step II: for bake gate 20 just not 67 38 sun 55 86 71
Step III: gate for bake 20 just not 38 sun 55 86 71 67
Step IV: just gate for bake 20 not 38 sun 86 71 67 55
Step V: not just gate for bake 20 sun 86 71 67 55 38
Step VI: sun not just gate for bake 86 71 67 55 38 20
Step VI is the final steps of the above input.
As per the rules followed in the above steps, find out in each of the following questions the appropriate step for the given input.
Input: 31 rise gem 15 92 47 aim big 25 does 56 not 85 63 with moon.
Q. Which step number is the following output?
Rise not moon gem does big aim 15 with 92 85 63 56 47 31 25
Direction: Study the following information carefully and answer the question given below.
A word and number arrangement machine when given an input line of words and number rearranges them following a particular rule in each step. The following is an illustration of input and rearrangement. (All the numbers are two-digit numbers.)
Input: gate 20 86 just not 71 for 67 38 bake sun 55
Step I: bake gate 20 just not 71 for 67 38 sun 55 86
Step II: for bake gate 20 just not 67 38 sun 55 86 71
Step III: gate for bake 20 just not 38 sun 55 86 71 67
Step IV: just gate for bake 20 not 38 sun 86 71 67 55
Step V: not just gate for bake 20 sun 86 71 67 55 38
Step VI: sun not just gate for bake 86 71 67 55 38 20
Step VI is the final steps of the above input.
As per the rules followed in the above steps, find out in each of the following questions the appropriate step for the given input.
Input: 31 rise gem 15 92 47 aim big 25 does 56 not 85 63 with moon.
Q. Which of the following represents the position of ‘92’ in step VI?
(e)Seventh from the left
Direction: Study the following information carefully and answer the question given below.
A word and number arrangement machine when given an input line of words and number rearranges them following a particular rule in each step. The following is an illustration of input and rearrangement. (All the numbers are two-digit numbers.)
Input: gate 20 86 just not 71 for 67 38 bake sun 55
Step I: bake gate 20 just not 71 for 67 38 sun 55 86
Step II: for bake gate 20 just not 67 38 sun 55 86 71
Step III: gate for bake 20 just not 38 sun 55 86 71 67
Step IV: just gate for bake 20 not 38 sun 86 71 67 55
Step V: not just gate for bake 20 sun 86 71 67 55 38
Step VI: sun not just gate for bake 86 71 67 55 38 20
Step VI is the final steps of the above input.
As per the rules followed in the above steps, find out in each of the following questions the appropriate step for the given input.
Input: 31 rise gem 15 92 47 aim big 25 does 56 not 85 63 with moon.
Q. Which word/number would be at the fifth position from the right in the last step?
Direction: Study the following information carefully to answer the given questions:
If 'A + B' means 'A is the father of B'
If 'A $ B' means 'A is the mother of B'
If 'A % B' means 'A is the brother of B'
If 'A & B' means 'A is the sister of B'
If 'A # B' means 'A is the daughter of B'
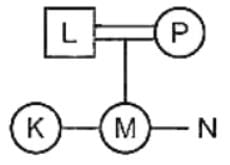
Q. In the following expression: 'K # L + M & N ? P'. What should come in the place of the question mark (?), to establish that ‘N is the daughter of P’?
Direction: Study the following information carefully to answer the given questions:
If 'A + B' means 'A is the father of B'
If 'A $ B' means 'A is the mother of B'
If 'A % B' means 'A is the brother of B'
If 'A & B' means 'A is the sister of B'
If 'A # B' means 'A is the daughter of B'
Q. Which of the following options is true if the expression 'P % Q + R $ S # T + U' is definitely true?
Each of the following questions consists of a statement followed by two arguments I and II.
Give answer:
(A) If only argument I is strong
(B) If only argument II is strong
(C) If either I or II is strong
(D) If neither I nor II is strong and
(E) If both I and II are strong.
Statement:
Chief Justice of India remarks about the ‘burden’ being placed on the judiciary firmly brought the spotlight back on to the issue of judicial delays and backlogs in India.
Arguments:
I. Yes, there is need of more judges to clear the pending cases.
II. No, the cases are kept pending for years as because of the lack of evidences produced.
Each of the following questions consists of a statement followed by two arguments I and II.
Give answer:
(A) If only argument I is strong
(B) If only argument II is strong
(C) If either I or II is strong
(D) If neither I nor II is strong and
(E) If both I and II are strong.
Statement:
Should all the ongoing construction project banned in the city X?
Arguments:
I. Yes, due to these ongoing construction project the air pollution levels in city X are unacceptably high.
II. No, there are other factors to which contribute to the pollution of city X.
Read the following information carefully and answer the questions given below:
Some persons are sitting in a linear row and all of them are facing in the south direction. Only three persons sit between Q and C. Only two persons sit between C and F. E is not an immediate neighbour of C. D is third to the right of Q. More than three persons sit between Q and A, and A sits to the right of Q. There is no immediate neighbour of A and C. Less than five persons sit between G and D, and A sits to the left of G. Less than two persons sit between D and A. Less than two persons sit between E and the person who sits on the left extreme end, and no less than 13 persons sit between G and E. More than 3 persons sit between G and D. F sits immediate left of E.
Q. Which of the following is not correct?
Read the following information carefully and answer the questions given below:
Some persons are sitting in a linear row and all of them are facing in the south direction. Only three persons sit between Q and C. Only two persons sit between C and F. E is not an immediate neighbour of C. D is third to the right of Q. More than three persons sit between Q and A, and A sits to the right of Q. There is no immediate neighbour of A and C. Less than five persons sit between G and D, and A sits to the left of G. Less than two persons sit between D and A. Less than two persons sit between E and the person who sits on the left extreme end, and no less than 13 persons sit between G and E. More than 3 persons sit between G and D. F sits immediate left of E.
Q. How many persons are present in this arrangement?
Read the following information carefully and answer the questions given below:
Some persons are sitting in a linear row and all of them are facing in the south direction. Only three persons sit between Q and C. Only two persons sit between C and F. E is not an immediate neighbour of C. D is third to the right of Q. More than three persons sit between Q and A, and A sits to the right of Q. There is no immediate neighbour of A and C. Less than five persons sit between G and D, and A sits to the left of G. Less than two persons sit between D and A. Less than two persons sit between E and the person who sits on the left extreme end, and no less than 13 persons sit between G and E. More than 3 persons sit between G and D. F sits immediate left of E.
Q. How many persons are present between D and E?
Read the following information carefully and answer the questions given below:
Some persons are sitting in a linear row and all of them are facing in the south direction. Only three persons sit between Q and C. Only two persons sit between C and F. E is not an immediate neighbour of C. D is third to the right of Q. More than three persons sit between Q and A, and A sits to the right of Q. There is no immediate neighbour of A and C. Less than five persons sit between G and D, and A sits to the left of G. Less than two persons sit between D and A. Less than two persons sit between E and the person who sits on the left extreme end, and no less than 13 persons sit between G and E. More than 3 persons sit between G and D. F sits immediate left of E.
Q. Who among the following sits on the extreme left end?
Read the following information carefully and answer the questions given below:
Some persons are sitting in a linear row and all of them are facing in the south direction. Only three persons sit between Q and C. Only two persons sit between C and F. E is not an immediate neighbour of C. D is third to the right of Q. More than three persons sit between Q and A, and A sits to the right of Q. There is no immediate neighbour of A and C. Less than five persons sit between G and D, and A sits to the left of G. Less than two persons sit between D and A. Less than two persons sit between E and the person who sits on the left extreme end, and no less than 13 persons sit between G and E. More than 3 persons sit between G and D. F sits immediate left of E.
Q. If B sits second to the right of C, then how many persons sit between B and A?
(e)Three
Read the following information carefully and answer the questions given below:
Some persons are sitting in a linear row and all of them are facing in the south direction. Only three persons sit between Q and C. Only two persons sit between C and F. E is not an immediate neighbour of C. D is third to the right of Q. More than three persons sit between Q and A, and A sits to the right of Q. There is no immediate neighbour of A and C. Less than five persons sit between G and D, and A sits to the left of G. Less than two persons sit between D and A. Less than two persons sit between E and the person who sits on the left extreme end, and no less than 13 persons sit between G and E. More than 3 persons sit between G and D. F sits immediate left of E.
Q. Who among the following are immediate neighbours of each other?
Directions: Study the following information carefully and answer the questions based on it.
There are 7 movies – Piku, Mulk, Article 15, Avengers, Tamasha, Andhadhun, and Raanjhanaawill release in different months of the year but not necessarily in the same order. No movie will release in the month before April and the month after October.
Movie Tamashawill release 3 months before Article 15. Two movies will release between the Andhadhun and Raanjhanaa. Piku will releases after the release of Mulk. No movie will release before Andhadhun. Avengers will not release before Piku. Only two movies will be released after article 15.
Q. Which movie will release in May?
Directions: Study the following information carefully and answer the questions based on it.
There are 7 movies – Piku, Mulk, Article 15, Avengers, Tamasha, Andhadhun, and Raanjhanaawill release in different months of the year but not necessarily in the same order. No movie will release in the month before April and the month after October.
Movie Tamashawill release 3 months before Article 15. Two movies will release between the Andhadhun and Raanjhanaa. Piku will releases after the release of Mulk. No movie will release before Andhadhun. Avengers will not release before Piku. Only two movies will be released after article 15.
Q. In which month Piku will be released?
Directions: Study the following information carefully and answer the questions based on it.
There are 7 movies – Piku, Mulk, Article 15, Avengers, Tamasha, Andhadhun, and Raanjhanaawill release in different months of the year but not necessarily in the same order. No movie will release in the month before April and the month after October.
Movie Tamashawill release 3 months before Article 15. Two movies will release between the Andhadhun and Raanjhanaa. Piku will releases after the release of Mulk. No movie will release before Andhadhun. Avengers will not release before Piku. Only two movies will be released after article 15.
Q. Which of the following combination is correct?
Directions: Study the following information carefully and answer the questions based on it.
There are 7 movies – Piku, Mulk, Article 15, Avengers, Tamasha, Andhadhun, and Raanjhanaawill release in different months of the year but not necessarily in the same order. No movie will release in the month before April and the month after October.
Movie Tamashawill release 3 months before Article 15. Two movies will release between the Andhadhun and Raanjhanaa. Piku will releases after the release of Mulk. No movie will release before Andhadhun. Avengers will not release before Piku. Only two movies will be released after article 15.
Q. How many movies will release after Raanjhanaa?
Directions: Study the following information carefully and answer the questions based on it.
There are 7 movies – Piku, Mulk, Article 15, Avengers, Tamasha, Andhadhun, and Raanjhanaawill release in different months of the year but not necessarily in the same order. No movie will release in the month before April and the month after October.
Movie Tamashawill release 3 months before Article 15. Two movies will release between the Andhadhun and Raanjhanaa. Piku will releases after the release of Mulk. No movie will release before Andhadhun. Avengers will not release before Piku. Only two movies will be released after article 15.
Q. How many movies will release in between Piku and Avengers?
Direction: Study the following information carefully to answer the given questions:
M O P 6 9 2 R Q A 4 E N U 1 G F 2 3 L T 1 S 5 H Y 4 D Z 6 I J 1
Q. Which element is tenth to the left of eighteenth element from the right end?
Direction: Study the following information carefully to answer the given questions:
M O P 6 9 2 R Q A 4 E N U 1 G F 2 3 L T 1 S 5 H Y 4 D Z 6 I J 1
Q. How many such consonants are there in the above arrangement which is immediately preceded by vowel and followed by a number?
Direction: Study the following information carefully to answer the given questions:
M O P 6 9 2 R Q A 4 E N U 1 G F 2 3 L T 1 S 5 H Y 4 D Z 6 I J 1
Q. What will be the product of the tenth element from the left and the seventh element from right?
Direction: Study the following information carefully to answer the given questions:
M O P 6 9 2 R Q A 4 E N U 1 G F 2 3 L T 1 S 5 H Y 4 D Z 6 I J 1
Q. If all the vowels are dropped then which element will be eleventh from the right end?
Read the following information carefully and answer the question given below-
Eight friends i.e. J, K, L, M, A, B, C and D are going for admission in a coaching institute in the different month of the same year viz. March, April, June and August. In each month, they are going coaching for the admission either on 14th or 23rd of the month. Not more than two candidates have been taken admission in the same month.
A’s enrolled on 14th of the month which has only 30 days. Only three candidates have to enroll between A and C. J and C enrolled neither on the same day nor in the same month. J does not enroll in the month of April. Only two candidates have enrolled dates between J’s and M’s. B’ and M’s enroll dates are same but in different months. K has enrolled on one of the days before B enrolled. Only one person is enrolling between K and L. Less than four candidates have to enroll between L’s and D’s enroll dates.
Q. Who among the following enrolled on 23rd April?