JEE Exam  >  JEE Tests  >  JEE Main 2017 Question Paper with Solutions - JEE MCQ

JEE Main 2017 Question Paper with Solutions - JEE MCQ


Test Description

30 Questions MCQ Test - JEE Main 2017 Question Paper with Solutions

JEE Main 2017 Question Paper with Solutions for JEE 2025 is part of JEE preparation. The JEE Main 2017 Question Paper with Solutions questions and answers have been prepared according to the JEE exam syllabus.The JEE Main 2017 Question Paper with Solutions MCQs are made for JEE 2025 Exam. Find important definitions, questions, notes, meanings, examples, exercises, MCQs and online tests for JEE Main 2017 Question Paper with Solutions below.
Solutions of JEE Main 2017 Question Paper with Solutions questions in English are available as part of our course for JEE & JEE Main 2017 Question Paper with Solutions solutions in Hindi for JEE course. Download more important topics, notes, lectures and mock test series for JEE Exam by signing up for free. Attempt JEE Main 2017 Question Paper with Solutions | 90 questions in 180 minutes | Mock test for JEE preparation | Free important questions MCQ to study for JEE Exam | Download free PDF with solutions
JEE Main 2017 Question Paper with Solutions - Question 1

A particle is executing simple harmonic motion with a time period T. AT time t = 0, it is at its position of equilibrium. The kinetic energy-time graph of the particle will look like

Detailed Solution for JEE Main 2017 Question Paper with Solutions - Question 1


Time taken to reach the extreme position from equilibrium position is T/4.
Velocity is maximum at equilibrium position and zero at extreme position.


(m is the mass of particle and v is the velocity of particle


Hence graph of K.E. v/s time is square cos function

JEE Main 2017 Question Paper with Solutions - Question 2

The temperature of an open room of volume 30 m3 increases from 17°C to 27°C due to sunshine. The atmospheric pressure in the room remains 1 × 105 Pa. If ni and nf are the number of molecules in the room before and after heating, then nf – ni will be :-

Detailed Solution for JEE Main 2017 Question Paper with Solutions - Question 2

Using ideal gas equation
PV = NRT
(N is number of moles)
P0V0 = NiR x 290  ...... (1)
[Ti = 273 + 17 = 290 K]
After heating
P0V0 = NfR x 300 ...... (2)
[Tf = 273 + 27 = 300 K]
from equation (1) and (2)

difference in number of moles 
Hence nf - ni is

putting P = 105 PA and V0 = 30 m3
Number of molecules nf - ni = - 2.5 x 1025

JEE Main 2017 Question Paper with Solutions - Question 3

Which of the following statements is false ?

Detailed Solution for JEE Main 2017 Question Paper with Solutions - Question 3


On balancing condition



On balancing condition
 .... (2)
As we see both equation (1) & (2) are same. So 4th statement is false.

JEE Main 2017 Question Paper with Solutions - Question 4

The following observations were taken for determining surface tensiton T of water by capillary method : Diameter of capilary, D = 1.25 × 10–2 m rise of water, h = 1.45 × 10–2 m
Using g = 9.80 m/s2 and the simplified relation  N/m, the possible error in surface tension is closest to :

Detailed Solution for JEE Main 2017 Question Paper with Solutions - Question 4



JEE Main 2017 Question Paper with Solutions - Question 5

In amplitude modulation , sinusoidal carrier frequency used is denoted by ωc and the signal frequency is denoted by ωm. The bandwidth (Δωm) of the signal is such that Δωm << ωc. Which of the following frequencies is not contained in the modulated wave ?

Detailed Solution for JEE Main 2017 Question Paper with Solutions - Question 5

Three frequencies are contained

JEE Main 2017 Question Paper with Solutions - Question 6

A diverging lens with magnitude of focal length 25 cm is placed at a distance of 15 cm from a converging lens of magnitude of focal length 20 cm. A beam of parallel light falls on the diverging lens. The final image formed is :

Detailed Solution for JEE Main 2017 Question Paper with Solutions - Question 6

As parallel beam incident on diverging lens if forms virtual image at v1 = –25 cm from the diverging lense which works as a object for the converging lense (f = 20 cm)

So for converging lens u = –40 cm, f = 20 cm

V = 40 cm from converging lenses.

JEE Main 2017 Question Paper with Solutions - Question 7

The moment of inertia of a uniform cylinder of length l and radius R about its perpendicular bisector is I. What is the ratio l/R such that the moment of inertia is minimum ?

Detailed Solution for JEE Main 2017 Question Paper with Solutions - Question 7


or   .....(1)]
Also m = πR2ℓρ
⇒  Put inequation (1)

For maxima & minima

⇒ 
or 
⇒ 
or 

JEE Main 2017 Question Paper with Solutions - Question 8

An electron beam is accelerated by a potential difference V to hit a metallic target to produce X-rays. It produces continuous as well as characteristic X - rays. If λmin is the smallest possible wavelength of X-ray in the spectrum, the variation of log λmin with log V is correctly represented in :

Detailed Solution for JEE Main 2017 Question Paper with Solutions - Question 8



It is a straight line with –ve slope.

JEE Main 2017 Question Paper with Solutions - Question 9

A radioactive nucleus A with a half life  T, decays into a nucleus B. At t = 0, there is no nucleus B. At sometime t, the ratio of the number of B to that of A is 0.3. Then, t is given by :

Detailed Solution for JEE Main 2017 Question Paper with Solutions - Question 9


also let initially there are total N0 number of nuclei



JEE Main 2017 Question Paper with Solutions - Question 10

An electric dipole has a fixed dipole moment  which makes angle q with respect to x-axis. When subjected to an electric field  it experiences a torque  When subjected to another electric field  it experiences torque  . The angle q is :

Detailed Solution for JEE Main 2017 Question Paper with Solutions - Question 10



JEE Main 2017 Question Paper with Solutions - Question 11

In a common emitter amplifier circuit using an n-p-n transistor, the phase difference between the input and the output voltages will be :

Detailed Solution for JEE Main 2017 Question Paper with Solutions - Question 11

In common emitter amplifier circuit input and out put voltage are out of phase. When input voltage is increased then ib is increased, ic also increases so voltage drop across Rc is increased. However increase in voltage across RC is in opposite sense.

JEE Main 2017 Question Paper with Solutions - Question 12

Cp and Cv are specific heats at constant pressure and constant volume respectively. It is observed that Cp – Cv = a for hydrogen gas Cp – Cv = b for nitrogen gas The correct relation between a and b is :

Detailed Solution for JEE Main 2017 Question Paper with Solutions - Question 12

CP – CV = R
where CP and CV are molar specific heat capacities As per the question
a = R/2 
b = R/28
a = 14 b

JEE Main 2017 Question Paper with Solutions - Question 13

A copper ball of mass 100 gm is at a temperature T. It is dropped in a copper calorimeter of mass 100 gm, filled with 170 gm of water at room temperature. Subsequently, the temperature of the system is found to be 75°C. T is given by : (Given : room temperature = 30° C, specific heat of copper = 0.1 cal/gm°C

Detailed Solution for JEE Main 2017 Question Paper with Solutions - Question 13

Heat given = Heat taken
(100) (0.1)(T - 75) = (100)(0.1)(45) + (170)(1)(45)
10(T - 75) = 450 + 7650 = 3100
T-75 = 810
T = 885°C

JEE Main 2017 Question Paper with Solutions - Question 14

A body of mass m = 10–2 kg is moving in a medium and experiences a frictional force F = –kv2. Its intial speed is v= 10 ms–1. If, after 10 s, its energy is  the value of k will be:-

Detailed Solution for JEE Main 2017 Question Paper with Solutions - Question 14


JEE Main 2017 Question Paper with Solutions - Question 15

When a current of 5 mA is passed through a galvanometer having a coil of resistance 15 Ω, it shows full scale deflection. The value of the resistance to be put in series with the galvanometer to convert it into to voltmeter of range 0 -10 V is:

Detailed Solution for JEE Main 2017 Question Paper with Solutions - Question 15

10 = (5 × 10–3) (15 + R)
r = 1985 Ω

JEE Main 2017 Question Paper with Solutions - Question 16

A slender uniform rod of mass M and length ℓ is pivoted at one end so that it can rotate in a vertical plane (see figure). There is negligible friction at the pivot. The free end is held vertically above the pivot and then released. The angular acceleration of the rod when it makes an angle θ with the vertical is :

Detailed Solution for JEE Main 2017 Question Paper with Solutions - Question 16


JEE Main 2017 Question Paper with Solutions - Question 17

Some energy levels of a molecule are shown in the figure. The ratio of the wavelengths r = λ12, is given by :

Detailed Solution for JEE Main 2017 Question Paper with Solutions - Question 17


 

 

JEE Main 2017 Question Paper with Solutions - Question 18

A man grows into a giant such that his linear dimensions increase by a factor of 9. Assuming that his density remains same, the stress in the leg will change by a factor of :

Detailed Solution for JEE Main 2017 Question Paper with Solutions - Question 18


JEE Main 2017 Question Paper with Solutions - Question 19

In a coil of resistance 100 Ω, a current is induced by changing the magnetic flux through it as shown in the figure. The magnitude of change in flux through the coil is :

Detailed Solution for JEE Main 2017 Question Paper with Solutions - Question 19



JEE Main 2017 Question Paper with Solutions - Question 20

In a Young's double slit experiment, slits are separated by 0.5 mm, and the screen is placed 150 cm away. A beam of light consisting of two wavelengths, 650 nm and 520 nm, is used to obtain interference fringes on the screen. The least distance from the common central maximum to the point where the bright fringes due to both the wavelengths coincide is :

Detailed Solution for JEE Main 2017 Question Paper with Solutions - Question 20


JEE Main 2017 Question Paper with Solutions - Question 21

A magnetic needle of magnetic moment 6.7 × 1 0 –2 Am2 and moment of inertia 7.5 × 10–6 kg m2 is performing simple harmonic oscillations in a magnetic field of 0.01 T. Time taken for 10 complete oscillations is : 

Detailed Solution for JEE Main 2017 Question Paper with Solutions - Question 21


By substituting value in the formula T = .665 sec for 10 oscillation, time taken will be Time = 10 T = 6.65 sec 

JEE Main 2017 Question Paper with Solutions - Question 22

The variation of acceleration due to gravity g with distance d from centre of the earth is best represented by (R = Earth's radius):

Detailed Solution for JEE Main 2017 Question Paper with Solutions - Question 22

  inside the Earth (straight line)
  out side the Earth
where M is Mass of E arth

JEE Main 2017 Question Paper with Solutions - Question 23

In the above circuit the current in each resistance is :

Detailed Solution for JEE Main 2017 Question Paper with Solutions - Question 23


Taking voltage of point A as = 0
Then voltage at other points can be written as shown in figure
Hence voltage across all resistance is zero.
Hence current = 0

JEE Main 2017 Question Paper with Solutions - Question 24

A particle A of mass m and initial velocity v collides with a particle B of mass (m/2) which is at rest. The collision is head on, and elastic. The ratio of the de–Broglie wavelengths λA to λB after the collision is :

Detailed Solution for JEE Main 2017 Question Paper with Solutions - Question 24


By conservation of linear momentum

2v = 2v1 + v2 .......(1)
by law of collision


u = v2 - v1 ......(2)
By equation (1) and (2)

JEE Main 2017 Question Paper with Solutions - Question 25

An external pressure P is applied on a cube at 0°C so that it is equally compressed from all sides. K is the bulk modulus of the material of the cube and a is its coefficient of linear expansion. Suppose we want to bring the cube to its original size by heating. The temperature should be raised by

Detailed Solution for JEE Main 2017 Question Paper with Solutions - Question 25



JEE Main 2017 Question Paper with Solutions - Question 26

A time dependent force F = 6t acts on a particle of mass 1 kg. If the particle starts from rest, the work done by the force during the first 1 sec. will be :

Detailed Solution for JEE Main 2017 Question Paper with Solutions - Question 26



JEE Main 2017 Question Paper with Solutions - Question 27

An observer is moving with half the speed of light towards a stationary microwave source emitting waves at frequency 10 GHz. What is the frequency of the microwave measured by the observer? (speed of light = 3 × 108 ms–1)

Detailed Solution for JEE Main 2017 Question Paper with Solutions - Question 27

Doppler effect in light (speed of observer is not very small compare to speed of light)

JEE Main 2017 Question Paper with Solutions - Question 28

In the given circuit diagram when the current reaches steady state in the circuit, the charge on the capacitor of capacitance C will be :

Detailed Solution for JEE Main 2017 Question Paper with Solutions - Question 28

It steady state, current through AB = 0

JEE Main 2017 Question Paper with Solutions - Question 29

A capacitance of 2 μF is required in an electrical circuit across a potential difference of 1.0 kV. A large number of 1 μF capacitors are available which can withstand a potential difference of not more than 300 V. The minimum number of capacitors required to achieve this is :

Detailed Solution for JEE Main 2017 Question Paper with Solutions - Question 29

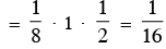
To hold 1 KV potential difference minimum four capacitors are required in series 
So for Ceq to be 2μF, 8 parallel combinations are required.

⇒ Minimum no. of capacitors = 8 × 4 = 32

JEE Main 2017 Question Paper with Solutions - Question 30

A body is t hrown vertically upwards. Which one of the following graphs correctly represent the velocity vs time?

Detailed Solution for JEE Main 2017 Question Paper with Solutions - Question 30

Velocity at any time t is given by

⇒ straight line with negative slope

View more questions
Information about JEE Main 2017 Question Paper with Solutions Page
In this test you can find the Exam questions for JEE Main 2017 Question Paper with Solutions solved & explained in the simplest way possible. Besides giving Questions and answers for JEE Main 2017 Question Paper with Solutions, EduRev gives you an ample number of Online tests for practice
Download as PDF