JEE Exam  >  JEE Tests  >  JEE Main 2020 January 7 Shift 1 Question Paper & Solutions - JEE MCQ

JEE Main 2020 January 7 Shift 1 Question Paper & Solutions - JEE MCQ


Test Description

30 Questions MCQ Test - JEE Main 2020 January 7 Shift 1 Question Paper & Solutions

JEE Main 2020 January 7 Shift 1 Question Paper & Solutions for JEE 2025 is part of JEE preparation. The JEE Main 2020 January 7 Shift 1 Question Paper & Solutions questions and answers have been prepared according to the JEE exam syllabus.The JEE Main 2020 January 7 Shift 1 Question Paper & Solutions MCQs are made for JEE 2025 Exam. Find important definitions, questions, notes, meanings, examples, exercises, MCQs and online tests for JEE Main 2020 January 7 Shift 1 Question Paper & Solutions below.
Solutions of JEE Main 2020 January 7 Shift 1 Question Paper & Solutions questions in English are available as part of our course for JEE & JEE Main 2020 January 7 Shift 1 Question Paper & Solutions solutions in Hindi for JEE course. Download more important topics, notes, lectures and mock test series for JEE Exam by signing up for free. Attempt JEE Main 2020 January 7 Shift 1 Question Paper & Solutions | 75 questions in 180 minutes | Mock test for JEE preparation | Free important questions MCQ to study for JEE Exam | Download free PDF with solutions
JEE Main 2020 January 7 Shift 1 Question Paper & Solutions - Question 1

A 60 HP electric motor lifts an elevator having a maximum total load capacity of 2,000 kg. If the frictional force on the elevator is 4,000 N, then the speed of the elevator at full load is close to
(1 HP = 746 W, g = 10 ms-2)

Detailed Solution for JEE Main 2020 January 7 Shift 1 Question Paper & Solutions - Question 1

The elevator moves upward. Hence, frictional force (F) opposes the motion downward.
So, net force acting on elevator = mg + F
Fnet = (2,000 × 10 + 4,000) = 24,000 N
Using power = Fnet × Speed

JEE Main 2020 January 7 Shift 1 Question Paper & Solutions - Question 2

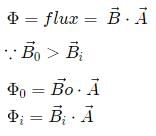
Consider a circular coil of wire carrying constant current I, forming a magnetic dipole. The magnetic flux through an infinite plane that contains the circular coil and excludes the circular coil area is given by ϕi. The magnetic flux through the area of the circular coil area is given by ϕ0. Which of the following options is correct?

Detailed Solution for JEE Main 2020 January 7 Shift 1 Question Paper & Solutions - Question 2

The magnetic field in the region of the circular coil area is maximum than in the area of plane excluding the circular coil. 

Magnetic field B in the circular region is more than outside 

JEE Main 2020 January 7 Shift 1 Question Paper & Solutions - Question 3

A polariser - analyser set is adjusted such that the intensity of light coming out of the analyser is just 10% of the original intensity. Assuming that the polariser - analyser set does not absorb any light, the angle by which the analyser needs to be rotated further to reduce the output intensity to be zero, is

Detailed Solution for JEE Main 2020 January 7 Shift 1 Question Paper & Solutions - Question 3

Output intensity is given by I = I0 cos2 ()
Initial output intensity = 10% of Io  

Final output intensity = 0
New angle = 90°
The angle by which the analyser needs to be rotated further is 90° - θ = 18.4°

JEE Main 2020 January 7 Shift 1 Question Paper & Solutions - Question 4

A long solenoid of radius R carries a time (t) - dependent current I(t) = I0t(1 - t). A ring of radius 2R is placed co-axially near its middle. During the time interval 0 ≤ t ≤ 1, the induced current (IR) and the induced EMF(VR) in the ring change as

Detailed Solution for JEE Main 2020 January 7 Shift 1 Question Paper & Solutions - Question 4

B = μnl0(t)(1 - t)
Using B0 = μnl0
So, B = B0t(1 - t)
Considering solenoid as an ideal solenoid, extended up to infinity and ring as its centre.

ϕ = BAS = B0t(1 - t)AS 


Since induced emf is changing, so current will also be changing because i = e/R
Since direction of emf is changing, so direction of current is also changing.
It will be zero at t = 0.5 sec

JEE Main 2020 January 7 Shift 1 Question Paper & Solutions - Question 5

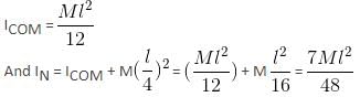
The radius of gyration of a uniform rod of length ℓ, about an axis passing through a point ℓ/4 away from the centre of the rod and perpendicular to it, is

Detailed Solution for JEE Main 2020 January 7 Shift 1 Question Paper & Solutions - Question 5


Moment of inertia of rod about an axis perpendicular through COM,

Radius of gyration,

JEE Main 2020 January 7 Shift 1 Question Paper & Solutions - Question 6

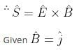
2 infinite planes, each with uniform surface charge density +σ, are kept in such a way that the angle between them is 30°. The electric field in the region shown between them is given by

Detailed Solution for JEE Main 2020 January 7 Shift 1 Question Paper & Solutions - Question 6

Assuming sheet to be non-conducting,

So,  where y and x are corresponding unit vectors.

JEE Main 2020 January 7 Shift 1 Question Paper & Solutions - Question 7

2 moles of an  ideal gas with CP/CV = 5/3 are mixed with 3 moles of another ideal gas with CP/CV = 4/3. The value of CP/CV for the mixture is? (Answer upto 2 decimal places)

Detailed Solution for JEE Main 2020 January 7 Shift 1 Question Paper & Solutions - Question 7

For ideal gas,
Cp - C, = R
For first case,

For second case,

JEE Main 2020 January 7 Shift 1 Question Paper & Solutions - Question 8

Speed of a transverse wave on a straight wire (mass 6.0 g, length 60 cm and area of cross-section 1.0 mm2) is 90 ms-1. If the Young's modulus of wire is 16 × 1011 Nm-2, then the extension of wire over its natural length is______.

Detailed Solution for JEE Main 2020 January 7 Shift 1 Question Paper & Solutions - Question 8

The linear mass density,

JEE Main 2020 January 7 Shift 1 Question Paper & Solutions - Question 9

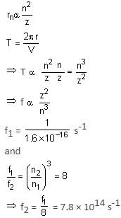
The time period of revolution of electron in its ground state orbit in a hydrogen atom is 1.6 × 10-16 s. The frequency of revolution of the electron in its first excited state (in s-1) is

Detailed Solution for JEE Main 2020 January 7 Shift 1 Question Paper & Solutions - Question 9

Velocity of the nth orbit,

Radius of the nth orbit,

JEE Main 2020 January 7 Shift 1 Question Paper & Solutions - Question 10

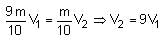
A satellite of mass m is launched vertically upwards with an initial speed u from the surface of the Earth. After it reaches height R (R = radius of the Earth), it ejects a rocket of mass m/10, so that subsequently, the satellite moves in a circular orbit. The kinetic energy of the rocket is
(G is the gravitational constant, M is the mass of the Earth)

Detailed Solution for JEE Main 2020 January 7 Shift 1 Question Paper & Solutions - Question 10

Before the rocket ejection,

Applying energy conservation,

After the rocket rejection,

Applying momentum conservation,
Along y-axis

Along x-axis

And since V1 = Vorbital 
So, kinetic energy of the rocket

JEE Main 2020 January 7 Shift 1 Question Paper & Solutions - Question 11

If we need a magnification of 375 from a compound microscope of tube length 150 mm and an objective of focal length 5 mm, then the focal length of the eye-piece should be close to

Detailed Solution for JEE Main 2020 January 7 Shift 1 Question Paper & Solutions - Question 11

The magnification is given by

⇒  fe = 22 mm

JEE Main 2020 January 7 Shift 1 Question Paper & Solutions - Question 12


As shown in the given figure, a bob of mass m is tied by a massless string whose other end portion is wound on a fly wheel (disc) of radius r and mass m. When released from rest, the bob starts falling vertically. When it has covered a distance of h, the angular speed of the wheel will be

Detailed Solution for JEE Main 2020 January 7 Shift 1 Question Paper & Solutions - Question 12

mg - T = ma

JEE Main 2020 January 7 Shift 1 Question Paper & Solutions - Question 13

Which of the following gives a reversible operation?

Detailed Solution for JEE Main 2020 January 7 Shift 1 Question Paper & Solutions - Question 13

For reversible operation, NOT gate is used. If an input is A, then output =
The following circuit represents the NOT gate.

JEE Main 2020 January 7 Shift 1 Question Paper & Solutions - Question 14

The current I1 (in A) flowing through 1Ω resistor in the following circuit is

Detailed Solution for JEE Main 2020 January 7 Shift 1 Question Paper & Solutions - Question 14



Current in AB = (VAB/RAB) = (1/2.5) = 0.4 A
I1 = I2
I1 + I2 = 0.4
I, = 0.4/2 = 0.2 A

JEE Main 2020 January 7 Shift 1 Question Paper & Solutions - Question 15

An LCR circuit behaves like a damped harmonic oscillator. Comparing it with a physical spring-mass damped oscillator having damping constant 'b', the correct equivalence would be

Detailed Solution for JEE Main 2020 January 7 Shift 1 Question Paper & Solutions - Question 15

For the spring-mass damping system, the governing equation is given by

For an LCR damped oscillator, the equation is

Comparing (1) and (2),

So, the answer is option (3).

JEE Main 2020 January 7 Shift 1 Question Paper & Solutions - Question 16

3 point particles of masses 1.0 kg, 1.5 kg and 2.5 kg are placed at 3 corners of a right angle triangle of sides 4.0 cm, 3.0 cm and 5.0 cm as shown in the figure. The centre of mass of the system is at a point

Detailed Solution for JEE Main 2020 January 7 Shift 1 Question Paper & Solutions - Question 16


Let m1 = 1 kg, m2 = 1.5 kg and m3 = 2.5 kg
x1 = 0, x2 = 3, x3 = 0 and y1 = 0, y2 = 0, y3 = 4

Let point A be the origin and mass m1 = 1.0 kg be at origin.

So, centre of mass of the system is at (0.9, 2).
So, 0.9 cm right and 2.0 cm above 1 kg mass

JEE Main 2020 January 7 Shift 1 Question Paper & Solutions - Question 17

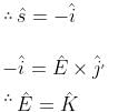
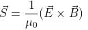
If the magnetic field in a plane electromagnetic wave is given by  = 3 × 10-8 sin (1.6 × 103x + 48 × 1010t)  T, then what will be the expression for electric field?

Detailed Solution for JEE Main 2020 January 7 Shift 1 Question Paper & Solutions - Question 17

We know |E| = |B| × |C|
where E and B are the amplitude of electric and magnetic field intensities in an electromagnetic wave.
Given |B| = 3 × 10-8
∴ |E| = |B| × |C| = 3 × 10-8 × 3 × 10. = 9
Pointing vector of the wave is given by 


We also have B = B0 sin(kx + wt)
From the argument of sin, we say that the wave travels in the negative x direction.

∴ E = |E| sin(kx + wt) = 9 sin(1.6 × 103x + 48 × 1010t)  V/m

JEE Main 2020 January 7 Shift 1 Question Paper & Solutions - Question 18

Visible light of wavelength 6,000 × 10-8 cm falls normally on a single slit and produces a diffraction pattern. It is found that the second diffraction minimum is at 60° from the central maximum. If the first minimum is produced at θ1, then  is close to

Detailed Solution for JEE Main 2020 January 7 Shift 1 Question Paper & Solutions - Question 18

d sin θ = Path difference = 2λ
So,
d sin 60 = 2λ

For first minima,

JEE Main 2020 January 7 Shift 1 Question Paper & Solutions - Question 19

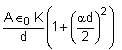
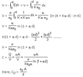
A parallel plate capacitor has plates of area A separated by distance 'd' between them. It is filled with a dielectric which has a dielectric constant that varies as k(x) = K(1 + αx), where 'x' is the distance measured from one of the plates. If (α d) << 1, then the total capacitance of the system is best given by the expression

Detailed Solution for JEE Main 2020 January 7 Shift 1 Question Paper & Solutions - Question 19

If K is filled between the plates, then

Given, K = K0 + K0 α x

JEE Main 2020 January 7 Shift 1 Question Paper & Solutions - Question 20

A litre of dry air at STP expands adiabatically to a volume of 3 litres. If γ = 1.40, then the work done by air is
(31.4 = 4.6555)
[Take air to be an ideal gas] (Answer upto 1 decimal place)

Detailed Solution for JEE Main 2020 January 7 Shift 1 Question Paper & Solutions - Question 20


At STP, pressure = P1 = 1,00,000 Pascal
Volume = V1 = 1 litre (As given in question)
So,

= 90.5 Joule (Approx.)

*Answer can only contain numeric values
JEE Main 2020 January 7 Shift 1 Question Paper & Solutions - Question 21

A non-isotropic solid metal cube has coefficients of linear expansion as 5 × 10-5/°C along the x-axis and 5 × 10-6/°C along the y and the z-axis. If the coefficient of volume expansion of the solid is C × 10-6/°C, then the value of C is


Detailed Solution for JEE Main 2020 January 7 Shift 1 Question Paper & Solutions - Question 21

As it is a cube, so all its sides are equal. Let the length of cube be L.
Given, αx = 5 × 10-5/°C and = αy = 5 × 10-6/°C = αz 
Let the coefficient of volume expansion be γ.
After increase in temperature, increase in volume of cube = L3 × γ ..... (1)
Or, increase in volume of cube = L3(1 + αx)(1 + αy)(1 + αz) ..... (2)
From equations (1) and (2), we get
γL3 = L3(1 + αx)(1 + αy)(1 + αz)

⇒ γ = (5 × 10-5 + 5 × 10-6 + 5 × 10-6)
⇒ γ = 6 × 10-5/°C
From question,
γ = C × 10-6/°C
So, C = 60

*Answer can only contain numeric values
JEE Main 2020 January 7 Shift 1 Question Paper & Solutions - Question 22

A particle (m = 1 kg) slides down a frictionless track (AOC) starting from rest at a point A (height 2 m). After reaching C, the particle continues to move freely in air as a projectile. When it reaches its highest point P (height 1 m), the kinetic energy of the particle (in J) is....
(Answer in Nearest Integer)
(Figure drawn is schematic and not to scale, take g = 10 ms–2)


Detailed Solution for JEE Main 2020 January 7 Shift 1 Question Paper & Solutions - Question 22

*Answer can only contain numeric values
JEE Main 2020 January 7 Shift 1 Question Paper & Solutions - Question 23

A Carnot engine operates between two reservoirs of temperatures 900 K and 300 K. The engine performs 1,200 J of work per cycle. The heat energy (in J) delivered by the engine to the low temperature reservoir, in a cycle, is


Detailed Solution for JEE Main 2020 January 7 Shift 1 Question Paper & Solutions - Question 23


Given, W = 1,200 J

So, W = Q1 - Q2
⇒ Q2 = Q1 - W = 1,800 - 1,200 = 600 J

*Answer can only contain numeric values
JEE Main 2020 January 7 Shift 1 Question Paper & Solutions - Question 24

A beam of electromagnetic radiation of intensity 6.4 × 10-5 W/cm2 is comprised of wavelength, λ = 310 nm. It falls normally on a metal (work function ϕ = 2eV) of surface area of 1 cm2. If one in 103 photons ejects an electron, then total number of electrons ejected in 1s is 10x. (hc = 1,240 eVnm, 1 eV = 1.6 × 10-19 J). Then, x is


Detailed Solution for JEE Main 2020 January 7 Shift 1 Question Paper & Solutions - Question 24

Energy in 1 second = 6.4 × 10-5 × 1 × 1 = 6.4 × 10-5 Joule

*Answer can only contain numeric values
JEE Main 2020 January 7 Shift 1 Question Paper & Solutions - Question 25

A loop ABCDEFA of straight edges has 6 corner points A(0, 0, 0), B(5, 0, 0), C(5, 5, 0), D(0, 5, 0), E(0, 5, 5) and F(0, 0, 5). The magnetic field in this region is T. The quantity of flux through the loop ABCDEFA (in Wb) is


Detailed Solution for JEE Main 2020 January 7 Shift 1 Question Paper & Solutions - Question 25


Total area vector = Area of ABCD + Area of DEFA =  
Total magnetic flux 
= (75 + 100) Wb = 175 Wb

JEE Main 2020 January 7 Shift 1 Question Paper & Solutions - Question 26

At 35°C, the vapour pressure of CS2 is 512 mm Hg and that of acetone is 344 mm Hg. A solution of CS2 in acetone has a total vapour pressure of 600 mm Hg. The false statement amongst the following is:

Detailed Solution for JEE Main 2020 January 7 Shift 1 Question Paper & Solutions - Question 26

Since the total pressure of the mixture is greater than the vapour pressures of both the components, carbon disulphide (CS2) and acetone (CH3-CO-CH,) form a non-ideal solution with positive deviation from Raoult's law.
The dipole dipole interactions between the acetone molecules decrease in a solution in CS2.
ΔH > 0
ΔV > 0
Hence, when 100 mL of CS2 and 100 mL of acetone are mixed, the mixture will have a volume greater than 200 mL.
Therefore, option (2) is incorrect.

JEE Main 2020 January 7 Shift 1 Question Paper & Solutions - Question 27

1-Methyl ethylene oxide when treated with an excess of HBr produces:

Detailed Solution for JEE Main 2020 January 7 Shift 1 Question Paper & Solutions - Question 27

The ring opening will take place via formation of a more stable carbocation and in the excess of HBr, 2,3-dibromopropane will be formed as the final product.

JEE Main 2020 January 7 Shift 1 Question Paper & Solutions - Question 28

Consider the following reaction:

The product 'X' is used

Detailed Solution for JEE Main 2020 January 7 Shift 1 Question Paper & Solutions - Question 28


Methyl orange is used in acid base titration as an indicator.

JEE Main 2020 January 7 Shift 1 Question Paper & Solutions - Question 29

A solution of m-chloroaniline, m-chlorophenol and m-chlorobenzoic acid in ethyl acetate was extracted initially with a saturated solution of NaHCO3 to give fraction A. The leftover organic phase was extracted with dilute NaOH solution to give fraction B. The final organic layer was labelled as fraction C. Fractions A, B and C respectively contain:

Detailed Solution for JEE Main 2020 January 7 Shift 1 Question Paper & Solutions - Question 29

The reactions occur as follows:

Among m-chloroaniline, m-chlorophenol and m-chlorobenzoic acid, only m-chlorobenzoic acid will react with NaHCO3
​∴ fraction A is m-chlorobenzoic acid.
Among left over m-chloroaniline and m-chlorophenol, only chlorophenol will react with NaOH
∴ Fraction B is m-chlorophenol. Only left over is m-chloroaniline
∴ Fraction A, B and C are respectively: m-chlorobenzoic acid, m-chlorophenol and m-chloroaniline.

JEE Main 2020 January 7 Shift 1 Question Paper & Solutions - Question 30

The purest form(s) of commercial iron is/are

Detailed Solution for JEE Main 2020 January 7 Shift 1 Question Paper & Solutions - Question 30

Wrought iron is the purest form of iron with a very low carbon (less than 0.08%).

View more questions
Information about JEE Main 2020 January 7 Shift 1 Question Paper & Solutions Page
In this test you can find the Exam questions for JEE Main 2020 January 7 Shift 1 Question Paper & Solutions solved & explained in the simplest way possible. Besides giving Questions and answers for JEE Main 2020 January 7 Shift 1 Question Paper & Solutions, EduRev gives you an ample number of Online tests for practice
Download as PDF