JEE Exam  >  JEE Tests  >  JEE Main 2021 March 16 Shift 1 Question Paper & Solutions - JEE MCQ

JEE Main 2021 March 16 Shift 1 Question Paper & Solutions - JEE MCQ


Test Description

30 Questions MCQ Test - JEE Main 2021 March 16 Shift 1 Question Paper & Solutions

JEE Main 2021 March 16 Shift 1 Question Paper & Solutions for JEE 2025 is part of JEE preparation. The JEE Main 2021 March 16 Shift 1 Question Paper & Solutions questions and answers have been prepared according to the JEE exam syllabus.The JEE Main 2021 March 16 Shift 1 Question Paper & Solutions MCQs are made for JEE 2025 Exam. Find important definitions, questions, notes, meanings, examples, exercises, MCQs and online tests for JEE Main 2021 March 16 Shift 1 Question Paper & Solutions below.
Solutions of JEE Main 2021 March 16 Shift 1 Question Paper & Solutions questions in English are available as part of our course for JEE & JEE Main 2021 March 16 Shift 1 Question Paper & Solutions solutions in Hindi for JEE course. Download more important topics, notes, lectures and mock test series for JEE Exam by signing up for free. Attempt JEE Main 2021 March 16 Shift 1 Question Paper & Solutions | 90 questions in 180 minutes | Mock test for JEE preparation | Free important questions MCQ to study for JEE Exam | Download free PDF with solutions
JEE Main 2021 March 16 Shift 1 Question Paper & Solutions - Question 1

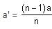
One main scale division of a vernier calliper is 'a' cm and nth division of the vernier scale coincides with (n - 1)th division of the main scale. The least count of the callipers in mm is:

Detailed Solution for JEE Main 2021 March 16 Shift 1 Question Paper & Solutions - Question 1

(n - 1)a = n(a')

∴ L.C. = 1 MSD - 1 VSD
= (a - a') cm

JEE Main 2021 March 16 Shift 1 Question Paper & Solutions - Question 2

For changing the capacitance of a given parallel plate capacitor, a dielectric material of dielectric constant K is used, which has the same area as the plates of the capacitor. The thickness of the dielectric slab is 3/4d, where 'd' is the separation between the plates of parallel plate capacitor. The new capacitance (C') in terms of original capacitance (C0) is given by the following relation:

Detailed Solution for JEE Main 2021 March 16 Shift 1 Question Paper & Solutions - Question 2



C' = C1 and C2 in series

JEE Main 2021 March 16 Shift 1 Question Paper & Solutions - Question 3

A block of mass m slides along a floor while a force of magnitude F is applied to it at an angle θ as shown in figure. The coefficient of kinetic friction is μK . Then the block's acceleration 'a' is given by: (g is acceleration due to gravity)

Detailed Solution for JEE Main 2021 March 16 Shift 1 Question Paper & Solutions - Question 3

N = mg - f sinθ
F cosθ - μN = ma
F cosθ - μ(mg - F sinθ) = ma

JEE Main 2021 March 16 Shift 1 Question Paper & Solutions - Question 4

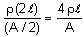
The pressure acting on a submarine is 3 × 105 Pa at a certain depth. If the depth is doubled, the percentage increase in the pressure acting on the submarine would be: (Assume that atmospheric pressure is 1 × 105 Pa, density of water is 103 kg m-3, g = 10 ms-2)

Detailed Solution for JEE Main 2021 March 16 Shift 1 Question Paper & Solutions - Question 4

P1 = ρgd + P0 = 3 × 105 Pa
∴ ρgd  = 2 × 105 Pa
P2 = 2ρgd + P0
= 4 × 105 + 105 = 5 × 105 Pa
% increase =   × 100

JEE Main 2021 March 16 Shift 1 Question Paper & Solutions - Question 5

The angle of deviation through a prism is minimum when:

(A) Incident ray and emergent ray are symmetric to the prism.
(B) The refracted ray inside the prism becomes parallel to its base.
(C) Angle of incidence is equal to the angle of emergence.
(D) Angle of emergence is double the angle of incidence.
Choose the correct answer from the options given below:

Detailed Solution for JEE Main 2021 March 16 Shift 1 Question Paper & Solutions - Question 5

Deviation is minimum in a prism when i = e, r1 = r2 and ray (2) is parallel to base of prism.

JEE Main 2021 March 16 Shift 1 Question Paper & Solutions - Question 6

A plane electromagnetic wave of frequency 500 MHz is travelling in vacuum along y-direction. At a particular point in space and time,  . The value of electric field at this point is:
(speed of light = 3 × 108 ms-1) 
 are unit vectors along x, y and z directions.

Detailed Solution for JEE Main 2021 March 16 Shift 1 Question Paper & Solutions - Question 6

f = 5 × 108 Hz
EM wave is travelling towards +.

JEE Main 2021 March 16 Shift 1 Question Paper & Solutions - Question 7

The maximum and minimum distances of a comet from the Sun are 1.6 × 1012 m and 8.0 × 1010 m, respectively. If the speed of the comet at the nearest point is 6 × 104 m/s, the speed at the farthest point is:

Detailed Solution for JEE Main 2021 March 16 Shift 1 Question Paper & Solutions - Question 7

By angular momentum conservation,
mv1r1 = mv2r2

= 3000 m/s
= 3 × 103 m/s

JEE Main 2021 March 16 Shift 1 Question Paper & Solutions - Question 8

A bar magnet of length 14 cm is placed in the magnetic meridian with its north pole pointing towards the geographic north pole. A neutral point is obtained at a distance of 18 cm from the centre of the magnet. If BH = 0.4G, the magnetic moment of the magnet is (1 G = 10-4 T)

Detailed Solution for JEE Main 2021 March 16 Shift 1 Question Paper & Solutions - Question 8


i.e. 
= = 0.4 × 10-4
⇒ 
= 0.4 × 10-4

M = m × 14 cm = m × 14/100

= 4 × 10-4 × 7203.82 = 2.88 J/T

JEE Main 2021 March 16 Shift 1 Question Paper & Solutions - Question 9

The volume V of an enclosure contains a mixture of three gases, 16 g of oxygen, 28 g of nitrogen and 44 g of carbon dioxide at absolute temperature T. Consider R as universal gas constant. The pressure of the mixture of gases is:

Detailed Solution for JEE Main 2021 March 16 Shift 1 Question Paper & Solutions - Question 9

PV = (n1 + n2 + n3)RT

JEE Main 2021 March 16 Shift 1 Question Paper & Solutions - Question 10

In thermodynamics, heat and work are:

Detailed Solution for JEE Main 2021 March 16 Shift 1 Question Paper & Solutions - Question 10

Heat and work are treated as path functions in thermodynamics.
ΔQ = ΔU + ΔW
Since work done by gas depends on the type of process, i.e. path, and ΔU depends just on the initial and final states, ΔQ, i.e. heat, also has to depend on path.

JEE Main 2021 March 16 Shift 1 Question Paper & Solutions - Question 11

Four equal masses m each are placed at the corners of a square of length (l) as shown in the figure. The moment of inertia of the system about an axis passing through A and parallel to DB would be:

Detailed Solution for JEE Main 2021 March 16 Shift 1 Question Paper & Solutions - Question 11

Moment of inertia of point mass = mass × (perpendicular distance from axis)2

Moment of inertia

JEE Main 2021 March 16 Shift 1 Question Paper & Solutions - Question 12

A conducting wire of length 'l', area of cross-section A and electric resistivity ρ is connected between the terminals of a battery. A potential difference V is developed between its ends, causing an electric current.
If the length of the wire of the same material is doubled and the area of cross-section is halved, the resultant current would be:

Detailed Solution for JEE Main 2021 March 16 Shift 1 Question Paper & Solutions - Question 12

As per the question,

Resistance = 
⇒ Current = V/R

JEE Main 2021 March 16 Shift 1 Question Paper & Solutions - Question 13

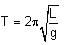
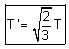
Time period of a simple pendulum is T inside a lift when the lift is stationary. If the lift moves upwards with an acceleration g/2, the time period of pendulum will be:

Detailed Solution for JEE Main 2021 March 16 Shift 1 Question Paper & Solutions - Question 13

When the lift is stationary

When the lift is moving upwards:
⇒ Pseudo force acts downwards.

⇒ New time period,

JEE Main 2021 March 16 Shift 1 Question Paper & Solutions - Question 14

The velocity-displacement graph describing the motion of a bicycle is shown in the figure.

The acceleration-displacement graph of the bicycle's motion is best described by:

Detailed Solution for JEE Main 2021 March 16 Shift 1 Question Paper & Solutions - Question 14

For 0 ≤ x ≤ 200,
v = mx + C


⇒  Straight line till x = 200
For x > 200,
v = constant
⇒ a = 0

Hence, the most appropriate option will be (1); otherwise it would be BONUS.

JEE Main 2021 March 16 Shift 1 Question Paper & Solutions - Question 15

A 25 m long antenna is mounted on an antenna tower. The height of the antenna tower is 75 m. The wavelength (in metres) of the signal transmitted by this antenna would be:

Detailed Solution for JEE Main 2021 March 16 Shift 1 Question Paper & Solutions - Question 15

Length of the antenna = 25 m
 = λ / 4
⇒ λ = 100m

JEE Main 2021 March 16 Shift 1 Question Paper & Solutions - Question 16

For an electromagnetic wave travelling in free space, the relation between average energy densities due to electric (Ue) and magnetic (Um) fields is:

Detailed Solution for JEE Main 2021 March 16 Shift 1 Question Paper & Solutions - Question 16

In EMW, average energy density due to electric (Ue) and magnetic (Um) fields is same.

JEE Main 2021 March 16 Shift 1 Question Paper & Solutions - Question 17

An RC circuit as shown in the figure is driven by an AC source generating a square wave. The output wave pattern monitored by CRO would look close to:

Detailed Solution for JEE Main 2021 March 16 Shift 1 Question Paper & Solutions - Question 17


For t1 - t2, Charging graph
For t2 - t3, Discharging graph

JEE Main 2021 March 16 Shift 1 Question Paper & Solutions - Question 18

The stopping potential in the context of photoelectric effect depends on the following property of incident electromagnetic radiation:

Detailed Solution for JEE Main 2021 March 16 Shift 1 Question Paper & Solutions - Question 18

Stopping potential changes linearly with frequency of the incident radiation.

JEE Main 2021 March 16 Shift 1 Question Paper & Solutions - Question 19

A block of 200 g mass moves with a uniform speed in a horizontal circular groove, with vertical side walls of radius 20 cm. If the block takes 40 s to complete one round, the normal force by the side walls of the groove is:

Detailed Solution for JEE Main 2021 March 16 Shift 1 Question Paper & Solutions - Question 19

N = mω2R

Given: m = 0.2 kg, T = 40 S, R = 0.2 m
Put these values in equation (1).
N = 9.859 × 10-4 N

JEE Main 2021 March 16 Shift 1 Question Paper & Solutions - Question 20

A conducting bar of length L is free to slide on two parallel conducting rails as shown in the figure.

Two resistors R1 and R2 are connected across the ends of the rails. There is a uniform magnetic field  pointing into the page. An external agent pulls the bar to the left at a constant speed v.
The correct statement about the directions of induced currents I1 and I2 flowing through R1 and R2 respectively is:

Detailed Solution for JEE Main 2021 March 16 Shift 1 Question Paper & Solutions - Question 20


Here, the motion of rod is towards the left side and due to this motion, induced current will produced. The rod is moving perpendicular to the magnetic field and according to Fleming's right hand rule, the direction of current in the rod will be downwards. This downward current will break and go into resistances R1 and R2.

*Answer can only contain numeric values
JEE Main 2021 March 16 Shift 1 Question Paper & Solutions - Question 21

In the figure given, the electric current flowing through the 5 kΩ resistor is 'x' mA.

The value of x, to the nearest integer, is ________.


Detailed Solution for JEE Main 2021 March 16 Shift 1 Question Paper & Solutions - Question 21




= 3 mA

*Answer can only contain numeric values
JEE Main 2021 March 16 Shift 1 Question Paper & Solutions - Question 22

A fringe width of 6 mm was produced for two slits separated by 1 mm apart. The screen is placed 10 m away. The wavelength of light used is 'x' nm. The value of 'x', to the nearest integer, is ______.


Detailed Solution for JEE Main 2021 March 16 Shift 1 Question Paper & Solutions - Question 22


λ = 6 × 10-7 m = 600 × 10-9 m
λ = 600 nm

*Answer can only contain numeric values
JEE Main 2021 March 16 Shift 1 Question Paper & Solutions - Question 23

Consider a 20 kg uniform circular disk of radius 0.2 m. It is pin supported at its centre and is at rest initially. The disk is acted upon by a constant force F = 20 N through a massless string wrapped around its periphery as shown in the figure.

Suppose the disk makes n number of revolutions to attain an angular speed of 50 rad s-1. The value of n, to the nearest integer, is __________. [Given: In one complete revolution, the disk rotates by 6.28 rad.]


Detailed Solution for JEE Main 2021 March 16 Shift 1 Question Paper & Solutions - Question 23


Δθ = 125 rad
Number of revolutions = 125/π ≈ 20

*Answer can only contain numeric values
JEE Main 2021 March 16 Shift 1 Question Paper & Solutions - Question 24

The first three spectral lines of H-atom in the Balmer series are given λ12 and λ3. Considering the Bohr atomic model, the wavelengths of first and third spectral lines λ1 / λ3 are related by a factor of approximately 'x' × 10-1. The value of x, to the nearest integer, is __________.


Detailed Solution for JEE Main 2021 March 16 Shift 1 Question Paper & Solutions - Question 24

For 1st line,

For 3rd line,

(ii) + (i):

= 1.512 = 15.12 × 10-1
∴ x  ≈ 15

*Answer can only contain numeric values
JEE Main 2021 March 16 Shift 1 Question Paper & Solutions - Question 25

The value of power dissipated across the zener diode (Vz = 15 V) connected in the circuit as shown in the figure is x × 10-1 Watt.

The value of x, to the nearest integer, is ________.


Detailed Solution for JEE Main 2021 March 16 Shift 1 Question Paper & Solutions - Question 25


Voltage across RS = 22 - 15 = 7 V
Current through RS = I = 7/35 = 1/5A
Current through 90 Ω = I2 = 15/90 = 1/6A
Current through zener diode = 1/5 - 1/6 = 1/30A
Power through zener diode
P = VI
P = 15 x 1/30 = 0.5 Watt
P = 5 × 10-1 Watt

*Answer can only contain numeric values
JEE Main 2021 March 16 Shift 1 Question Paper & Solutions - Question 26

A sinusoidal voltage of peak value 250 V is applied to a series LCR circuit, in which R = 8 Ω, L = 24 mH and C = 60μF. The value of power dissipated at resonant condition is 'x' kW. The value of x, to the nearest integer, is ________.


Detailed Solution for JEE Main 2021 March 16 Shift 1 Question Paper & Solutions - Question 26

At resonance power (P),

= 3906.25 W
≈ 4 kW

*Answer can only contain numeric values
JEE Main 2021 March 16 Shift 1 Question Paper & Solutions - Question 27

In the logic circuit shown in the figure, if inputs A and B are 0 to 1 respectively, the output at Y would be 'x'. The value of x is ________.


Detailed Solution for JEE Main 2021 March 16 Shift 1 Question Paper & Solutions - Question 27

*Answer can only contain numeric values
JEE Main 2021 March 16 Shift 1 Question Paper & Solutions - Question 28

The resistance R = V/I , where V = (50 ± 2) V and I = (20 ± 0.2) A. The percentage error in R is x%. The value of 'x', to the nearest integer, is ___________.


Detailed Solution for JEE Main 2021 March 16 Shift 1 Question Paper & Solutions - Question 28


% error in R = 4 + 1
% error in R = 5%

*Answer can only contain numeric values
JEE Main 2021 March 16 Shift 1 Question Paper & Solutions - Question 29

Consider a frame that is made up of two thin massless rods AB and AC as shown in the figure.
A vertical force  of magnitude 100 N is applied at point A of the frame.

Suppose the force is  resolved parallel to the arms AB and AC of the frame. The magnitude of the resolved component along the arm AC is xN. The value of x, to the nearest integer, is _________.
[Given: sin (35°) = 0.573, cos (35°) = 0.819 sin (110°) = 0.939, cos (110°) = -0.342]


Detailed Solution for JEE Main 2021 March 16 Shift 1 Question Paper & Solutions - Question 29


Component along AC
= 100 cos 35°N
= 100 × 0.819 N
= 81.9 N
≈ 82 N

*Answer can only contain numeric values
JEE Main 2021 March 16 Shift 1 Question Paper & Solutions - Question 30

A ball of mass 10 kg moving with a velocity 10√3ms-1 along X-axis hits another ball of mass 20 kg which is at rest. After collision, the first ball comes to rest and the second one disintegrates into two equal pieces. One of the pieces starts moving along Y-axis at a speed of 10 m/s. The second piece starts moving at a speed of 20 m/s at an angle θ (degree) with respect to X-axis.
The configuration of pieces after collision is shown in the figure. The value of θ, to the nearest integer, is ________.


Detailed Solution for JEE Main 2021 March 16 Shift 1 Question Paper & Solutions - Question 30

Before Collision:

After Collision:

From conservation of momentum along X-axis;

10 × 10√3 = 200 cosθ
cosθ = √3/2
θ = 30°

View more questions
Information about JEE Main 2021 March 16 Shift 1 Question Paper & Solutions Page
In this test you can find the Exam questions for JEE Main 2021 March 16 Shift 1 Question Paper & Solutions solved & explained in the simplest way possible. Besides giving Questions and answers for JEE Main 2021 March 16 Shift 1 Question Paper & Solutions, EduRev gives you an ample number of Online tests for practice
Download as PDF